# read in the data
gensex <- readr::read_csv("data/gensex_messy.csv")Tutorial 06: Correlation
Setting Up
As usual, we will need some data to work with. We’ll be using a dataset measuring participants perceptions of various aspects of their gender identity. We’ll also use a nifty new package called GGally which will help is create some very cool plots.
Task 1
Load packages and data
- Load
tidyverseand theGGallypackages. - Run the codechunk below to read in the data stored in
data/gensex_messy.csv, saving it asgensex.
Data preparation
As usual, before beginning any analysis, we will want to take a look at our data to make sure it’s clean and correct before we proceed. The main reason is that you can generate rs all day easily, but if you don’t know what the variables you are correlating actually mean, that doesn’t do you much good!
Codebook
| Variable | Type | Description |
|---|---|---|
| duration | Continuous | Time spent completing the questionnaire, in seconds |
| age | Continuous | Participant age in years |
| gender | Categorical | Participant gender |
| gender_comfortable | Continuous | How comfortable participants are with their response to gender; Likert 1 - 9, high score = more comfortable |
| gender_masc | Continuous | How masculine participants feel they are; Likert 1 - 9, high score = more masculine |
| gender_fem | Continuous | How feminine participants feel they are; Likert 1 - 9, high score = more feminine |
| gender_stability | Continuous | How stable participants perceive their gender identity to be; Likert 1 - 9, high score = more stable |
| sexual_strength | Continuous | How strongly participants experience sexual attraction; Likert 1 - 9, high score = more strongly |
| sexual_freq | Continuous | How frequently participants experience sexual attraction; Likert 1 - 9, high score = more frequently |
| sexual_gender | Continuous | Sexual preference for genders; Likert 1 - 9, 1 = women, 5 = no preference/no gender, 9 = men |
| romantic_strength | Continuous | How strongly participants experience romantic/emotional attraction; Likert 1 - 9, high score = more strongly |
| romantic_freq | Continuous | How frequently participants experience romantic/emotional attraction; Likert 1 - 9, high score = more frequently |
| romantic_gender | Continuous | Romantic/emotional preference for genders; Likert 1 - 9, 1 = women, 5 = no preference/no gender, 9 = men |
For our practice today, let’s investigate ratings of gender identity. We started this with ratings of masculinity and femininity in the lecture, so some of this should be familiar.
Task 2
Select the relevant columns
- Change the
gensextibble so that it only contains variables to do with ratings of gender identity. (but not thegendervariable, because it is categorical.) - Use the codebook above to find each variable, and make sure you understand how each variable was measured.
Correlation Matrices
Basic Matrix with cor()
To start, we can get a very basic correlation matrix very quickly with the function cor() from the stats package, which is automatically loaded. It isn’t very pretty, but it will get us a rough and ready correlation matrix quickly.
Task 3
Produce a simple correlation matrix and explore it
- Create a correlation matrix of all four variables by piping the
gensexdataset into thecor()function. - If you’ve done the previous step, you’ll notice that there are a lot of NA values in this table. Why do you think this is? What can we do about it? Look at the
gensexdata to figure out why the correlation matrix contains NAs. - Produce a correlation matrix that doesn’t have any NAs in it.
Below is a a correlation matrix that you should have created in the previous task, minimally formatted so it’s a little easier to work with:
| gender_comfortable | gender_masc | gender_fem | gender_stability | |
|---|---|---|---|---|
| gender_comfortable | 1.00 | -0.31 | 0.17 | 0.61 |
| gender_masc | -0.31 | 1.00 | -0.76 | -0.28 |
| gender_fem | 0.17 | -0.76 | 1.00 | 0.18 |
| gender_stability | 0.61 | -0.28 | 0.18 | 1.00 |
The row and column names tell us which variables are being correlated with each other. Let’s take the first row. The row is labelled “gender_comfortable”. Therefore, all of the values in that row will show us how strongly the variable gender_comfortable correlates with the variables that are listed as columns. Let’s look at each column in the first row.
For column labelled “gender_comfortable”, the first value is 1. When we create a correlation matrix, R will produce a correlation of each variable with every other variable, including with itself. gender_comfortable will correlate perfectly with gender_comfortable , which is why the value in this cell is 1 (this is the largest possible value for any correlation).
Second column, still in the first row, is labelled “gender_masc”. We see a correlation of -0.31, which means that the relationship between gender_comfortable and gender_masc is negative - participants who score high on masculine gender perception tend to score lower on their gender comfort. Given that correlation is a value between 0 and 1 (when ignoring the sign), we’d say that this is a moderately strong relationship.
Third column shows small positive relationship (0.17) between gender comfort and perception of femininity, and the final column shows a strong positive relationship (0.61) between gender stability and gender comfort.
We can do this for each row of the matrix to get a full idea of what’s going on. Notice that all values are represented in the matrix twice - again, R is correlating everything with everything which means that we get a correlation of gender_comfortable with gender_masc, and also of gender_masc with gender_comfortable. The diagonal of 1s is like a mirror. So if you’re finding the matrix above quite overwhelming, we can delete the half above (or below) the diagonal and still get all of the information we need:
| gender_comfortable | gender_masc | gender_fem | gender_stability | |
|---|---|---|---|---|
| gender_comfortable | 1 | |||
| gender_masc | -0.30 | 1 | ||
| gender_fem | 0.17 | -0.75 | 1 | |
| gender_stability | 0.61 | -0.27 | 0.18 | 1 |
This is all nice and well, but it seems life and awful lot of space to fill with repetitive information. Let’s use the space a little more effectively by adding some visual representation of our data.
Snazzy Matrix with GGally
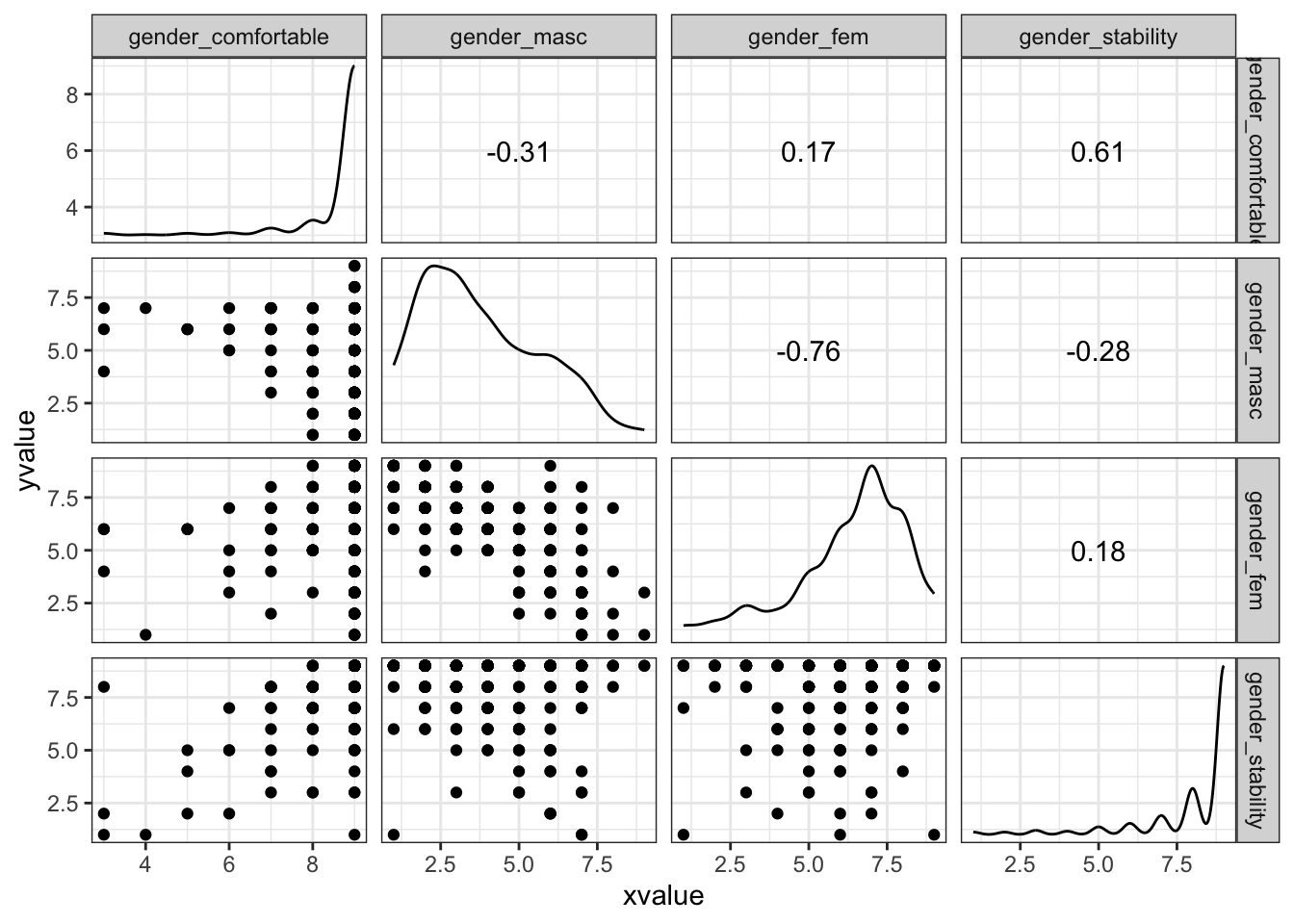
The GGally package contains a very useful function called ggscatmat(), which we can use to help us better understand the relationships between our variables. It outputs a correlation matrix like the one we saw above, but mixed in with some really useful plots.
Task 4
Produce a nice correlation matrix:
- Pipe all the dataset into the
ggscatmat()function from theGGallypackage - Have a look at the output.
- Add a theme to this plot in the same way you would for any other ggplot object.
This plot has a lot going on, but don’t worry! That’s just because there’s a lot of useful information here. Let’s focus on one bit at a time.
First, we can see that we have our four variable names listed along the top of the plot, and then the same four names along the side. Where those columns and rows intersect, some cells of the plot contain numbers, some contain dots, and some contain lines. Let’s look first at the lines, which are all on the diagonal.
We saw before that cor() gave us 1s on the diagonal, representing each variable correlated with itself. Here, instead of 1s (which aren’t very helpful or interesting), we actually have a smoothed histogram of each variable (in other words, a density plot). From the shapes that mostly slope dramatically up to the right, we can see that low ratings are uncommon, and high ratings very common. The exceptions are the two variables asking about gender identity (gender_masc and gender_fem), which have means on the low and high ends of the scale respectively.
Next, let’s look at the numbers. You might recognise these values from cor() above. These are the correlation coefficients for each pair of variables. To figure out which variables are involved in the correlation, go up to the column name and along to the row name.
Finally, we have the dots. These are scatterplots of each pair of variables. Again, to find which variables are in each plot, look at the column name and the row name.
So, each unique pair of variables has a scatterplot and a correlation coefficient; and each individual variable has a histogram along the diagonal. Like I said - snazzy!
Correlation Tests
The output we’ve produced so far tells us a lot of useful information, but we still haven’t actually tested any hypotheses. In the lecture we also talked about reporting significance, degrees of freedom, and CIs, which we can’t get easily from this output.
We can use function correlation which is from the package also called correlation to run some hypothesis tests quickly.
Task 5
Perform a correlation test by following these steps:
- Open the help documentation for the
correlation::correlation()function. - Use this function to calculate the correlations and hypotheses tests between the pairs of variables in
gensex. Save the result into an object calledgen_cor. - Stop and look at the values that the output of
gen_corhas given you. Based on what you have learned from the lecture, write down what you think this value of r means, and how you could interpret it for these variables.
If you’ve completed the code in your notebook, you should see that the output now looks a little different, but the numbers under the “r” column exactly match the correlation values from the matrix we produced earlier. The Parameter1 and Parameter2 columns contain information about which pair of variables is being correlated (much like the row and column names in the matrix). What’s more, we’re now also getting:
95% confidence intervals for the correlation r
The test statistic and degrees of freedom, under
t(303)The p-value, representing the hypothesis test. This value tells us whether the test is statistically significant.
Although we might conclude from this result that gender comfort and gender stability tend to change in the same way, that does not mean they are causally related. Our results do not necessarily mean that if you are more comfortable with your gender identity, that will cause you also have a more stable identity, or vice versa. It should be clear from the previous statement that there’s no way to establish which of these two might be the cause and which the effect in any case. What our results do suggest is that when gender identity is more stable, there tends to be a higher degree of comfort with that identity, to a degree that is unlikely to occur if there is in fact no real relationship at all between gender stability and comfort.
On the other hand, this doesn’t mean that these two things can’t have an influence on each other. They certainly may! The key point is that two things can be correlated without having any kind of causal relationship, and that correlation alone doesn’t provide any evidence one way or the other. However, if two things do have a causal relationship, they will also almost certainly be correlated as well.
Formatting Results
If you’re only reporting a couple of correlations, then a matrix and a report in text is enough. Other times, like in out case, we have quite a few correlations, so a table might be more appropriate. Let’s have a bit of fun formatting our results with knitr.
Task 6
Format the gen_cor object using the following guidelines
- Pipe the object in
knitr::kable()andkableExtra::kable_styling(). - Round everything to 2 decimal places
- Set informative names
- Set an informative caption
Reporting
If we want to highlight the result of a single correlation, it’s better to report it in text rather than just relying on a table. Let’s imagine that one of the key correlations of interest is the one between how comfortable participants are with their gender identity gender_comfortable and how stable they perceive it to be gender_stability.
Results like this correlation test, that have a small number of values to report, are often reported in brackets in the text of your report. This takes the general form:
(name_of_estimate(degrees_of_freedom) = value_of_estimate, p = exact_p, 95% CI [lower_bound, upper_bound])
To get these values, let’s look again at the results that we already saved in the object gen_cor.
Task 7
Report the results of your analysis
- Call the name of the object
gen_corto see the displayed output. - Use the general format above and the values in the output to type out the result of the correlation analysis.
- To complete our report, we should describe in words what this result means. We essentially include the statistical result as a citation to give evidence for our claim. Have a go writing out a report of this statistical analysis. Include a verbal description of the variables involved, what the analysis tells you, and the statistical results.
You should never have any raw (unformatted) code or output in a formal report! Always report results in the text, in a figure, or in a formatted table.
That’s looking pretty slick! This is exactly the sort of thing you would expect to see in a journal article.
Recap
Whew, well done! You’re welcome - and encouraged! - to keep working with the gensex data to practice what we’ve learned today.
In sum, we’ve covered:
How to prepare and visualise data for correlation
How to run the analysis, read the output, and store it in an object
How to report and interpret the statistical results of these tests in real-world terms
Remember, if you get stuck or you have questions, post them on Discord, or bring them to practicals or to drop-ins.
Good job!
That’s all for today. See you soon!
ChallengR
This task is a ChallengR, which are always optional, and will never be assessed - they’re only there to inspire you to try new things! If you solve this task successfully, you can earn a bonus 2500 Kahoot Points. You can use those points to earn bragging rights and, more importantly, shiny stickers. (See the Games and Awards page on Canvas.)
There are no solutions in this document for this ChallengR task. If you get stuck, ask us for help in your practicals or at the Help Desk, and we’ll be happy to point you in the right direction.
Effective data wrangling with tidyselect
Let’s practice correlations, although this time around, we want to be a little more selective about which correlations we run.
Read in a new dataset called scales_tib and briefly explore it.
scales_tib <- readr::read_csv("data/scales_df.csv")| id | cas_into_41 | stai_then | stars_she | youre_slipping_52 | stai_charter | cas_happened_27 | stars_as | youre_who | stars_he_7 | youre_him_58 | cas_is | keep_to | youre_then | stars_johnson | youre_the_53 | cas_by | stai_the | youre_owes | youre_slipping_54 | cas_before | stai_his_24 | stars_harry | stars_paying | stai_he | stai_what_25 | keep_i | keep_beyond | stars_he_2 | keep_activity | youre_harry | stai_good | keep_slipping | cas_into_38 | cas_johnson | stai_his_23 | cas_man | youre_to | stai_brownstone | cas_without_37 | stars_any | youre_awesome | stars_customer_4 | cas_to | stars_customer_10 | keep_away | cas_then | cas_happened_39 | keep_mainland | stai_what_18 | youre_the_59 | stai_beyond | youre_depicts | stars_good | stai_johnson_26 | stai_his_15 | stai_airplane | cas_without_29 | cas_economic | youre_brownstone | stai_johnson_21 | keep_coding | cas_harry | cas_mr. | cas_who | youre_him_63 |
|---|---|---|---|---|---|---|---|---|---|---|---|---|---|---|---|---|---|---|---|---|---|---|---|---|---|---|---|---|---|---|---|---|---|---|---|---|---|---|---|---|---|---|---|---|---|---|---|---|---|---|---|---|---|---|---|---|---|---|---|---|---|---|---|---|---|
| 65958 | 29.991729 | 20.669696 | 12.871758 | 25.104969 | 27.016915 | 57.259782 | 23.171456 | 13.873021 | 22.512541 | 5.835990 | 25.181188 | 13.452122 | 18.661403 | 22.879269 | 21.39058 | 37.280279 | 28.72968 | 18.165642 | 20.407373 | 53.118018 | 15.839546 | 22.341382 | 40.053545 | 33.1081651 | 16.870836 | 30.559174 | 28.779726 | 37.385236 | 24.121582 | 11.2281049 | 32.377603 | 9.654841 | 29.233528 | 36.5975852 | 25.340008 | 22.323576 | 24.893018 | 30.906990 | 23.427054 | 28.669119 | 14.394558 | 29.259529 | 41.650652 | 36.432132 | 39.773596 | 38.774693 | 33.494906 | 29.643386 | 27.589883 | 16.849494 | 12.1039570 | 13.0272138 | 25.012268 | 31.094946 | 21.584560 | 16.542086 | 32.401645 | 46.511599 | 8.659315 | 23.314421 | 17.8419379 | 42.219011 | 44.552990 | 41.208042 | 22.482667 |
| 60001 | 18.432437 | 50.844439 | 41.422065 | 28.738449 | 37.442862 | 21.796148 | 33.095557 | 24.264302 | 30.079100 | 24.872309 | 16.476563 | 25.290816 | 21.128041 | 29.297651 | 19.69811 | 20.015608 | 39.10478 | 29.815247 | 30.829375 | 22.344432 | 38.360469 | 29.302390 | 26.294501 | 32.0665481 | 38.307917 | 24.336903 | 23.850526 | 34.278065 | 35.121849 | 30.7887164 | 28.070791 | 25.941902 | 21.596195 | 26.7642315 | 30.004022 | 22.046763 | 38.418523 | 41.707848 | 16.526428 | 33.569081 | 35.698285 | 32.457597 | 30.497669 | 17.504987 | 19.311606 | 33.562911 | 16.470665 | 29.704743 | 43.550624 | 30.842182 | 37.1287137 | 19.5848609 | 31.260960 | 35.204801 | 38.074587 | 50.608144 | 39.349553 | 22.838320 | 26.405307 | 28.759184 | 32.0753279 | 15.008380 | 5.859851 | 24.607098 | 15.793784 |
| 43477 | 28.358898 | 43.076577 | 19.747563 | 14.782402 | 32.144173 | 25.479523 | 31.821414 | 28.014599 | 44.368655 | 27.461541 | 23.552966 | 19.731015 | 41.350575 | 24.916383 | 31.20056 | 24.385985 | 38.55296 | 18.262774 | 22.816933 | 35.954460 | 28.418334 | 33.779845 | 17.316725 | 35.4861056 | 27.707102 | 19.581929 | 27.179467 | 36.252059 | 16.667759 | 23.1988392 | 38.411186 | 30.033590 | 20.325258 | 28.6531056 | 31.691883 | 21.531915 | 24.460557 | 47.234789 | 24.090226 | 49.016856 | 34.032336 | 33.860374 | 18.531740 | 28.785000 | 22.751311 | 21.289259 | 23.867779 | 26.595931 | 30.728741 | 22.813661 | 29.7598351 | 21.3990072 | 22.495354 | 34.277547 | 35.077414 | 28.031136 | 30.114356 | 30.305727 | 33.759578 | 35.162721 | 35.9286631 | 28.046979 | 26.346016 | 24.573498 | 29.211982 |
| 51692 | 34.330982 | 35.593887 | 40.445230 | 28.023412 | 37.202786 | 28.258898 | 36.781837 | 30.104349 | 34.514970 | 33.455165 | 40.066247 | 40.299803 | 31.273231 | 27.501320 | 20.34121 | 34.200814 | 31.71157 | 34.199765 | 31.032159 | 32.092631 | 26.718330 | 33.048951 | 33.025348 | 26.9894784 | 31.166513 | 36.307345 | 20.655322 | 46.248688 | 35.026741 | 32.9802856 | 40.710961 | 38.458704 | 32.473020 | 36.6494580 | 23.367096 | 39.764100 | 30.175470 | 34.374571 | 34.364772 | 31.238235 | 34.791324 | 17.536793 | 29.602870 | 28.222298 | 40.037620 | 40.032143 | 39.154441 | 34.104804 | 33.740651 | 29.443674 | 26.2221184 | 32.9921143 | 27.050040 | 25.864255 | 38.901692 | 33.097420 | 41.241778 | 28.044968 | 41.379310 | 34.182531 | 36.7877349 | 28.249667 | 34.196222 | 26.817121 | 26.689086 |
| 33548 | 12.639704 | 30.857199 | 37.325904 | 16.035130 | 38.804632 | 27.146690 | 28.767115 | 37.462605 | 39.944851 | 30.958754 | 28.563410 | 39.345744 | 40.819204 | 29.461896 | 30.72998 | 26.537242 | 38.59666 | 40.464133 | 34.180774 | 43.188680 | 30.593921 | 35.794978 | 41.931621 | 25.4839549 | 34.306067 | 30.510962 | 23.516355 | 49.056472 | 29.219551 | 24.0935640 | 35.747244 | 35.136025 | 18.985149 | 17.3007499 | 44.077960 | 26.637638 | 22.001042 | 40.057407 | 22.343187 | 40.395821 | 31.192050 | 29.010356 | 29.224160 | 31.829567 | 36.129570 | 19.903506 | 31.702992 | 37.386477 | 23.193663 | 28.922793 | 37.6990970 | 30.3313240 | 42.159011 | 25.848415 | 38.525137 | 38.816961 | 25.951208 | 5.554548 | 36.301369 | 49.667483 | 32.8589768 | 23.455641 | 30.003212 | 20.841394 | 37.508310 |
| 42129 | 39.513543 | 28.080627 | 20.631143 | 32.034721 | 25.117091 | 48.580339 | 23.476507 | 30.596334 | 34.903445 | 35.213448 | 42.172516 | 22.565425 | 42.816860 | 36.402593 | 35.94213 | 44.982394 | 19.92735 | 37.096856 | 23.545065 | 35.201755 | 16.519334 | 15.058570 | 20.287012 | 22.4583158 | 28.121533 | 24.237546 | 27.990350 | 24.771402 | 26.491805 | 25.7901911 | 33.126835 | 21.028307 | 24.428367 | 34.4858231 | 33.509642 | 37.555492 | 30.336732 | 35.978704 | 28.282408 | 27.965807 | 16.910176 | 24.595489 | 33.215477 | 29.726108 | 25.442122 | 40.600388 | 27.599311 | 22.192342 | 27.358759 | 42.717372 | 24.7032022 | 24.5196205 | 33.715056 | 31.766472 | 17.303384 | 21.409491 | 36.401894 | 44.956059 | 40.740069 | 30.653270 | 19.3207262 | 36.184243 | 45.134286 | 34.374169 | 25.206591 |
| 54217 | 33.368314 | 39.658363 | 28.249489 | 29.129484 | 35.675096 | 24.446580 | 26.013347 | 30.038080 | 16.879655 | 26.717751 | 23.445159 | 30.599422 | 19.200374 | 24.301894 | 35.24595 | 14.936379 | 35.11589 | 44.052785 | 26.705869 | 29.763102 | 41.384854 | 27.176319 | 31.688313 | 45.5502718 | 39.006655 | 30.134396 | 30.515674 | 25.152948 | 25.325934 | 26.1830316 | 37.525132 | 44.885877 | 25.693632 | 31.1922510 | 49.985414 | 43.873983 | 44.838327 | 34.545148 | 40.657547 | 33.183746 | 28.460340 | 32.688926 | 17.452696 | 21.105530 | 23.943211 | 26.741938 | 37.297334 | 33.825213 | 42.174887 | 37.868357 | 47.6779437 | 41.9808986 | 37.925643 | 33.035644 | 41.152018 | 45.108229 | 31.694446 | 30.551303 | 27.172158 | 29.276554 | 27.8698614 | 31.277166 | 39.041158 | 32.258580 | 38.053027 |
| 85631 | 41.402645 | 31.636086 | 26.865201 | 38.404553 | 27.538473 | 28.862344 | 34.961405 | 30.847614 | 19.408684 | 13.539835 | 42.823012 | 32.979247 | 27.392879 | 16.147454 | 42.85713 | 25.196891 | 41.81545 | 28.672609 | 33.891330 | 43.245757 | 22.847996 | 17.380071 | 22.197745 | 23.1074046 | 31.295919 | 13.689552 | 34.270538 | 18.985479 | 23.670793 | 38.8745034 | 52.211998 | 30.340190 | 32.143538 | 39.2432710 | 42.221473 | 33.588508 | 30.475181 | 26.172573 | 40.442496 | 34.345946 | 29.405530 | 24.643523 | 17.759980 | 30.615191 | 46.600111 | 39.105207 | 47.655684 | 51.445874 | 38.009079 | 23.951733 | 12.7023854 | 36.8562518 | 36.432336 | 26.151053 | 24.690196 | 34.425941 | 26.347839 | 49.306393 | 31.543775 | 32.630473 | 24.4249430 | 38.600684 | 30.654922 | 24.594466 | 32.968390 |
| 38857 | 34.866949 | 19.884209 | 33.848248 | 14.793857 | 31.814176 | 32.137645 | 34.066599 | 10.701811 | 29.791801 | 24.855710 | 39.126949 | 46.723170 | 40.220517 | 22.685132 | 23.96365 | 32.851010 | 24.84106 | 26.315575 | 29.195649 | 30.110220 | 20.381771 | 27.971499 | 17.465646 | 17.9221702 | 27.036066 | 39.688187 | 28.254491 | 24.118689 | 24.785205 | 32.8465171 | 12.335719 | 38.276930 | 35.439430 | 23.6597047 | 29.617940 | 30.145278 | 16.772807 | 22.313780 | 17.649736 | 28.142604 | 42.664037 | 24.967961 | 36.587972 | 26.589867 | 45.105794 | 33.758598 | 46.584689 | 28.296255 | 28.264436 | 31.558698 | 25.4924596 | 15.9262016 | 24.894816 | 34.976961 | 20.147011 | 43.505221 | 42.076741 | 38.306351 | 19.108616 | 32.039829 | 40.5735827 | 39.494381 | 26.540520 | 28.170457 | 31.298957 |
| 88988 | 24.692184 | 22.370135 | 40.772816 | 18.985531 | 21.691153 | 17.366433 | 23.317383 | 30.011300 | 34.502317 | 30.791475 | 21.360583 | 26.401695 | 27.020049 | 32.285154 | 26.36254 | 28.332201 | 38.54227 | 21.031937 | 22.470053 | 18.897459 | 21.829654 | 34.850590 | 29.384088 | 14.8193172 | 31.128118 | 37.048361 | 32.100947 | 26.848680 | 20.383746 | 34.2409558 | 25.128723 | 28.148906 | 23.832935 | 30.3623103 | 35.963451 | 28.234558 | 19.446996 | 33.748800 | 38.058477 | 30.693438 | 9.674319 | 16.351146 | 28.312818 | 27.197115 | 46.100759 | 28.432384 | 18.524835 | 26.209463 | 13.291233 | 16.362530 | 22.4561591 | 18.1170506 | 27.115484 | 26.468111 | 33.730489 | 26.442336 | 25.341759 | 25.552543 | 15.626695 | 30.563714 | 21.3436899 | 12.607037 | 25.326469 | 18.311320 | 9.787889 |
| 64026 | 28.316848 | 29.499531 | 34.228336 | 30.714263 | 28.207971 | 31.103566 | 25.008222 | 37.751251 | 18.558009 | 33.710245 | 20.002761 | 19.841513 | 25.974659 | 38.807035 | 22.82838 | 24.613321 | 37.47870 | 37.489433 | 26.431326 | 42.426007 | 35.040370 | 38.892155 | 38.930807 | 27.2598739 | 22.587069 | 33.548822 | 25.411425 | 44.685225 | 16.537312 | 26.8486782 | 27.432907 | 32.760302 | 39.448214 | 30.2187136 | 42.994992 | 31.955479 | 39.194272 | 32.169794 | 40.918221 | 43.614891 | 40.279048 | 17.707455 | 34.466070 | 37.956512 | 43.769687 | 42.471630 | 39.765465 | 22.973601 | 30.776826 | 28.293456 | 29.9873349 | 26.8768336 | 21.218798 | 32.359263 | 23.568843 | 35.566227 | 34.235089 | 40.489041 | 15.661512 | 25.998775 | 34.6696652 | 29.713446 | 25.909688 | 31.152994 | 33.306669 |
| 36366 | 36.745003 | 16.905329 | 36.208879 | 24.961144 | 33.801299 | 54.295249 | 37.332282 | 26.040299 | 34.325485 | 25.769177 | 29.524269 | 47.266150 | 20.629789 | 24.655399 | 15.11885 | 34.358159 | 27.87074 | 17.565031 | 7.202623 | 34.539433 | 23.719074 | 41.766707 | 11.886340 | 15.7522176 | 28.141118 | 40.982457 | 54.203128 | 31.257315 | 58.519944 | 18.6623554 | 24.590630 | 47.185826 | 45.471988 | 45.5107857 | 17.712934 | 43.269491 | 28.048049 | 32.993165 | 47.298003 | 18.300202 | 21.394836 | 35.690130 | 36.474964 | 29.385476 | 37.262438 | 38.633857 | 24.516174 | 47.447938 | 19.797487 | 13.894191 | 22.4868942 | 15.4077387 | 31.838879 | 16.434260 | 20.966960 | 22.873459 | 40.813171 | 42.633534 | 18.515973 | 34.676848 | 19.1210857 | 46.118705 | 41.696106 | 34.275641 | 24.555951 |
| 52569 | 41.801132 | 33.338276 | 31.461089 | 17.609430 | 38.522511 | 25.215553 | 43.047880 | 27.611237 | 46.097621 | 35.954074 | 23.529746 | 43.340008 | 11.057170 | 35.866378 | 32.76687 | 21.839758 | 37.40079 | 12.395586 | 20.709732 | 24.188145 | 26.132293 | 51.635977 | 42.495556 | 21.4142289 | 23.401195 | 32.108627 | 20.368116 | 42.057866 | 20.155210 | 30.6010018 | 32.058063 | 32.684305 | 31.137342 | 28.6382873 | 30.809343 | 33.360766 | 20.461740 | 22.584551 | 37.112098 | 33.732179 | 21.567472 | 43.748210 | 35.214717 | 34.954306 | 36.162591 | 45.628755 | 34.870944 | 36.493368 | 36.742737 | 14.728163 | 22.7959501 | 21.4749440 | 38.544754 | 39.674647 | 30.054371 | 29.440890 | 36.243778 | 30.292421 | 22.315336 | 35.162265 | 20.5937491 | 32.648014 | 43.717439 | 34.029511 | 33.390107 |
| 68112 | 29.725757 | 16.405514 | 22.411580 | 11.776786 | 20.502706 | 26.911400 | 45.240840 | 28.314027 | 26.072872 | 25.243446 | 19.848036 | 27.455874 | 17.754483 | 31.174103 | 20.28521 | 33.189693 | 26.18405 | 42.483472 | 21.031144 | 27.110745 | 19.568146 | 40.375838 | 42.438307 | 37.4574658 | 22.357013 | 39.924870 | 19.424602 | 26.277695 | 45.158647 | 33.1249915 | 37.952385 | 30.628785 | 32.975166 | 20.9550420 | 18.681670 | 22.133519 | 28.052326 | 21.247404 | 20.768763 | 32.365184 | 8.400864 | 29.238757 | 28.297171 | 41.212496 | 25.435062 | 25.431708 | 32.526108 | 40.347371 | 26.470323 | 25.849737 | 26.2863356 | 36.9583262 | 33.913620 | 37.730845 | 32.053739 | 21.898169 | 30.545504 | 26.723577 | 27.581131 | 23.771614 | 9.8079615 | 38.844409 | 31.951472 | 27.377856 | 23.128842 |
| 77214 | 27.107855 | 19.880081 | 22.262695 | 42.486950 | 14.755233 | 42.782383 | 28.147862 | 43.338067 | 39.696127 | 39.132726 | 28.867895 | 25.209103 | 25.066395 | 42.019156 | 41.30707 | 34.663266 | 46.50679 | 40.960344 | 34.023879 | 42.089531 | 27.826000 | 31.325306 | 33.127351 | 17.5564339 | 18.587387 | 42.972761 | 27.630874 | 39.508184 | 14.144415 | 42.6706798 | 23.125044 | 22.760303 | 23.492979 | 30.3428464 | 28.971001 | 21.123722 | 38.255445 | 28.543931 | 37.567216 | 37.311894 | 26.215833 | 19.889632 | 21.127795 | 29.928311 | 33.768786 | 26.486863 | 39.243496 | 30.431406 | 21.863388 | 31.192655 | 16.1813430 | 31.0689670 | 24.475417 | 20.028637 | 34.107585 | 17.117493 | 35.836911 | 31.644092 | 30.321914 | 6.930000 | 23.7487274 | 29.411491 | 46.369310 | 21.706645 | 28.714443 |
| 92599 | 37.909740 | 31.438873 | 27.948621 | 29.798725 | 27.600996 | 40.773797 | 29.421462 | 35.710805 | 23.498664 | 33.669511 | 16.244911 | 29.953034 | 51.164483 | 35.765541 | 22.42112 | 32.800058 | 33.00986 | 32.847085 | 34.914949 | 30.702320 | 25.567334 | 36.432673 | 39.479714 | 34.7922943 | 32.025257 | 27.654690 | 28.136868 | 26.011128 | 14.451815 | 26.2019016 | 23.209240 | 32.484929 | 21.597566 | 38.6305014 | 30.841222 | 24.525312 | 19.337789 | 39.237716 | 36.469991 | 31.936187 | 37.808318 | 40.886153 | 27.984486 | 28.936700 | 29.284786 | 26.675033 | 33.487281 | 20.143841 | 24.458648 | 28.388632 | 34.7779749 | 46.6666864 | 22.385988 | 37.825822 | 42.336788 | 36.923647 | 33.298508 | 29.359322 | 35.505939 | 9.210952 | 38.7120802 | 32.764599 | 41.671928 | 51.413736 | 24.614652 |
| 62711 | 31.922016 | 13.984916 | 10.125764 | 30.014946 | 36.723239 | 31.925203 | 30.307634 | 24.914695 | 22.864120 | 28.483369 | 34.622184 | 23.639801 | 36.860028 | 24.927236 | 43.68764 | 30.551397 | 33.52200 | 17.948909 | 30.907076 | 39.176822 | 44.255531 | 27.380536 | 23.913379 | 35.6291305 | 46.680058 | 17.649540 | 34.154765 | 14.403542 | 18.064507 | 22.8301475 | 46.319257 | 31.450181 | 36.589266 | 28.0846428 | 37.123990 | 33.216096 | 9.422845 | 37.005990 | 23.185971 | 21.838576 | 25.177735 | 26.802760 | 35.012746 | 27.630223 | 29.532247 | 11.982281 | 37.228034 | 26.471083 | 27.635859 | 24.240175 | 27.4453829 | 40.3571612 | 33.411055 | 35.264212 | 35.171913 | 29.575375 | 28.011153 | 18.987635 | 41.468767 | 26.511718 | 23.0002718 | 36.190626 | 40.389838 | 31.468679 | 25.058847 |
| 84041 | 23.592387 | 32.502094 | 25.922493 | 23.554810 | 23.328498 | 43.423625 | 39.999169 | 18.360270 | 35.180684 | 29.065739 | 27.180882 | 25.499830 | 23.602526 | 24.787826 | 20.15262 | 22.500752 | 10.37516 | 26.677011 | 16.008361 | 36.160665 | 24.992578 | 27.457162 | 22.748296 | 21.2387328 | 22.416538 | 16.177005 | 37.025939 | 18.908993 | 22.889236 | 27.5708745 | 22.462327 | 37.059913 | 35.046821 | 30.3659412 | 17.746839 | 49.652791 | 20.878093 | 18.656158 | 24.254015 | 36.103836 | 16.898274 | 28.398573 | 38.511456 | 27.731892 | 16.497176 | 28.167290 | 27.744727 | 30.700989 | 19.544923 | 20.551416 | 22.5660533 | 16.1611390 | 28.769084 | 41.292890 | 23.130983 | 29.296076 | 34.667534 | 43.109916 | 13.240666 | 12.899718 | 11.9973939 | 37.545508 | 39.639435 | 31.982059 | 38.191457 |
| 46697 | 34.365640 | 23.217810 | 17.720289 | 26.070937 | 30.886526 | 40.579743 | 32.146758 | 21.319840 | 32.411024 | 15.760213 | 42.478534 | 43.808943 | 30.315777 | 25.041184 | 29.31657 | 34.041340 | 35.12983 | 24.923977 | 22.255336 | 37.884257 | 23.555693 | 35.021881 | 35.247547 | 20.0374257 | 31.098024 | 46.798931 | 40.219021 | 33.222177 | 28.732345 | 26.0955658 | 36.422180 | 35.724042 | 51.565122 | 51.9328527 | 28.145351 | 32.121925 | 19.063089 | 34.200036 | 43.073267 | 30.677590 | 8.790282 | 46.493338 | 30.185957 | 32.449269 | 38.818242 | 39.527056 | 40.714094 | 35.117285 | 48.627523 | 29.863203 | 31.3257575 | 17.2179393 | 30.701591 | 26.490517 | 39.498658 | 31.230352 | 37.140430 | 25.924840 | 19.727801 | 31.549074 | 7.9504704 | 45.762394 | 44.756508 | 45.230111 | 28.414532 |
| 62969 | 27.722255 | 34.258102 | 34.425176 | 25.316757 | 22.992198 | 46.888085 | 47.905801 | 19.556028 | 31.615395 | 29.660711 | 42.986689 | 26.287133 | 42.270626 | 29.833900 | 32.24558 | 35.814075 | 55.11047 | 42.726308 | 21.847153 | 44.277248 | 26.780719 | 15.820791 | 26.813950 | 47.2199903 | 30.602697 | 34.091237 | 34.112278 | 35.507873 | 17.350529 | 31.8461710 | 30.250889 | 37.546360 | 40.420916 | 46.1998590 | 51.421758 | 38.680619 | 39.499551 | 55.700581 | 41.678730 | 44.106099 | 43.705946 | 25.176859 | 44.693996 | 25.625889 | 18.259647 | 30.168672 | 46.830708 | 30.393871 | 37.837656 | 31.757845 | 46.9999817 | 49.2878787 | 37.879090 | 34.202095 | 24.374883 | 36.746452 | 43.731435 | 53.744320 | 30.073043 | 45.978742 | 31.0610957 | 40.242193 | 39.000368 | 29.915589 | 34.789339 |
| 69477 | 27.036743 | 26.273199 | 19.585088 | 44.357737 | 36.205498 | 32.911808 | 21.750477 | 40.600000 | 27.606906 | 51.553926 | 41.095032 | 26.456727 | 44.430592 | 21.930457 | 45.65575 | 28.474346 | 29.03246 | 22.755350 | 54.948713 | 46.872048 | 42.856288 | 22.585007 | 22.786156 | 28.8430854 | 26.545143 | 35.079766 | 30.279385 | 8.994651 | 22.871397 | 49.9405305 | 30.818773 | 36.701344 | 25.055167 | 35.2846397 | 30.470765 | 38.576173 | 40.116844 | 26.509461 | 38.104500 | 24.988663 | 29.120107 | 41.327138 | 41.761756 | 17.888575 | 46.169475 | 38.686234 | 54.143304 | 20.026581 | 37.520145 | 34.721128 | 34.0585881 | 38.0500500 | 33.323387 | 33.576270 | 19.905254 | 32.008161 | 29.180777 | 43.308229 | 41.816456 | 35.346010 | 35.2450892 | 38.617681 | 33.009414 | 44.491774 | 46.645586 |
| 28933 | 37.297847 | 26.156120 | 31.826174 | 28.164524 | 20.826416 | 42.844208 | 28.464704 | 26.906155 | 33.934385 | 21.822488 | 36.570313 | 28.214166 | 25.821904 | 23.711376 | 19.01023 | 38.044804 | 25.12456 | 26.211074 | 26.164485 | 38.718609 | 23.749845 | 28.924197 | 29.825999 | 37.2027851 | 30.406939 | 39.909326 | 29.133305 | 38.763847 | 43.070203 | 19.7831660 | 15.557874 | 30.705391 | 38.399252 | 36.3770182 | 30.223419 | 31.944219 | 3.926978 | 26.439269 | 31.581502 | 41.183979 | 17.525682 | 13.168687 | 31.451020 | 31.408665 | 31.550910 | 28.289142 | 39.573108 | 37.332650 | 24.607898 | 21.455567 | 22.1714042 | 16.8515043 | 33.206518 | 26.054835 | 24.581931 | 38.758473 | 47.533236 | 29.112929 | 28.497192 | 21.336892 | 15.2654240 | 29.956327 | 35.553094 | 34.143226 | 24.758097 |
| 39944 | 24.375706 | 40.858353 | 35.444822 | 30.821957 | 25.120665 | 14.714103 | 23.443427 | 21.972726 | 33.814753 | 28.918761 | 24.314066 | 21.436305 | 28.764102 | 36.214615 | 38.51413 | 27.779079 | 34.62698 | 23.664659 | 22.436132 | 37.202443 | 36.862021 | 33.179502 | 33.466939 | 38.8426153 | 42.846150 | 24.139140 | 27.765127 | 25.607824 | 49.986415 | 31.6624276 | 27.876640 | 34.983359 | 41.656491 | 22.7991863 | 33.802423 | 27.596328 | 24.144074 | 46.777577 | 32.015513 | 27.852493 | 20.633896 | 20.422515 | 16.540975 | 26.501378 | 21.110703 | 28.828372 | 19.873610 | 39.559510 | 31.814681 | 24.201111 | 42.9649421 | 28.6294569 | 23.310049 | 18.352360 | 42.843726 | 37.433824 | 19.996858 | 30.159597 | 23.600168 | 33.742380 | 17.1278187 | 18.486014 | 36.840095 | 29.861290 | 24.742826 |
| 31622 | 19.228521 | 40.025121 | 19.774432 | 38.629482 | 26.146697 | 38.828009 | 21.988087 | 42.536206 | 27.023183 | 38.089803 | 35.225702 | 16.998596 | 30.357817 | 38.654846 | 35.07394 | 47.955453 | 34.54893 | 37.576694 | 44.249783 | 27.327385 | 38.368327 | 22.240769 | 30.742582 | 36.6176940 | 36.570382 | 18.993723 | 35.086885 | 31.755505 | 28.326141 | 39.2291488 | 19.216780 | 31.085328 | 29.447104 | 41.7066885 | 28.088524 | 30.132121 | 35.461454 | 39.377337 | 18.191284 | 6.918907 | 31.515001 | 24.744224 | 13.621412 | 44.554516 | 26.421970 | 43.704038 | 28.458163 | 27.424847 | 38.835007 | 27.489045 | 32.6299375 | 25.3911431 | 30.399229 | 21.238785 | 36.002601 | 28.276866 | 28.142719 | 27.321441 | 33.664687 | 28.594509 | 32.1345244 | 31.579554 | 33.567043 | 33.581848 | 48.114148 |
| 56897 | 22.665378 | 28.677185 | 40.311266 | 24.470115 | 26.367437 | 20.821861 | 29.294957 | 18.540055 | 26.429229 | 16.835377 | 7.419180 | 23.129497 | 23.144300 | 39.556094 | 23.13681 | 34.340610 | 36.03849 | 19.437670 | 14.397036 | 18.744947 | 26.717477 | 43.117476 | 30.961965 | 24.5735626 | 37.381861 | 31.008276 | 31.511715 | 24.746513 | 29.204452 | 26.1287014 | 36.013888 | 22.493516 | 15.141343 | 10.2270042 | 27.069064 | 16.914994 | 25.126599 | 41.581261 | 14.000857 | 38.990906 | 26.817819 | 47.375673 | 10.226901 | 29.785087 | 27.366000 | 24.349683 | 5.974861 | 25.630184 | 29.875311 | 28.231395 | 31.5846605 | 11.4018131 | 33.380756 | 26.754829 | 31.357477 | 29.419895 | 15.188667 | 11.082996 | 20.776233 | 18.797027 | 20.2205292 | 28.592381 | 17.366730 | 11.556586 | 24.652839 |
| 92093 | 36.521617 | 25.183743 | 8.607698 | 46.929732 | 22.993391 | 35.810809 | 18.795973 | 35.046381 | 23.162042 | 43.862293 | 46.109047 | 29.396119 | 26.042601 | 23.089596 | 39.94090 | 27.700958 | 41.52423 | 37.368213 | 34.677022 | 29.658005 | 28.295909 | 15.325716 | 11.732119 | 13.2756037 | 34.939641 | 30.102973 | 25.986722 | 30.306285 | 15.717051 | 29.2802174 | 37.514770 | 22.348713 | 26.125057 | 35.5288057 | 23.113545 | 39.885027 | 43.107663 | 30.547898 | 41.983873 | 34.217086 | 37.642521 | 23.797161 | 35.652985 | 18.372629 | 38.278904 | 47.378731 | 32.889685 | 18.260939 | 34.138231 | 41.027850 | 37.1798599 | 32.0537227 | 29.679576 | 32.983842 | 35.853647 | 28.801225 | 35.825544 | 27.887386 | 44.893930 | 22.020396 | 29.3289549 | 37.930352 | 22.672771 | 46.279790 | 46.188074 |
| 26727 | 13.383876 | 30.453696 | 32.315383 | 33.615845 | 21.561889 | 17.302597 | 11.891883 | 24.684523 | 16.427293 | 23.526322 | 22.973355 | 44.403119 | 29.800978 | 34.939692 | 18.33231 | 29.680413 | 38.14888 | 23.956438 | 44.328604 | 27.393397 | 17.401221 | 21.493185 | 23.132821 | 27.6632366 | 24.402126 | 34.038599 | 30.758798 | 20.494410 | 28.152691 | 26.6678970 | 31.605070 | 25.792759 | 18.816900 | 42.3497673 | 40.456044 | 20.844493 | 31.687763 | 27.564214 | 42.266862 | 12.403458 | 28.059446 | 24.762347 | 31.358983 | 29.841329 | 25.521374 | 30.645664 | 27.165295 | 25.001132 | 24.234683 | 11.731628 | 26.4572764 | 42.8938970 | 28.483560 | 35.159071 | 29.637758 | 27.476979 | 33.713511 | 35.867483 | 18.614602 | 30.815155 | 25.1377853 | 30.215776 | 35.631426 | 30.635079 | 25.030463 |
| 41426 | 34.069088 | 29.216876 | 50.385170 | 40.267467 | 25.807474 | 32.806668 | 37.122201 | 37.224268 | 34.955663 | 30.200366 | 38.103056 | 38.709245 | 36.007109 | 44.106191 | 33.93899 | 31.170152 | 30.62237 | 42.924865 | 26.499402 | 29.166308 | 30.676403 | 32.829411 | 41.163870 | 24.7481373 | 31.770504 | 38.705131 | 33.742132 | 56.240151 | 31.565931 | 44.3288395 | 40.075663 | 32.297716 | 38.522948 | 28.0758370 | 18.057980 | 32.179283 | 37.056771 | 22.987925 | 28.722001 | 44.309072 | 18.958545 | 39.842235 | 49.772006 | 30.421132 | 24.489857 | 30.029566 | 41.908475 | 28.047771 | 25.561228 | 24.348180 | 22.7633525 | 35.2092415 | 38.711021 | 29.725343 | 32.313560 | 22.262558 | 37.856603 | 23.412612 | 26.752473 | 25.915903 | 12.1905970 | 30.095761 | 30.972480 | 24.541121 | 31.070035 |
| 74154 | 44.539383 | 32.267537 | 33.353860 | 25.639887 | 34.861192 | 27.017281 | 25.080032 | 17.756848 | 21.454944 | 32.499215 | 43.982081 | 15.195998 | 14.413645 | 16.804120 | 23.42246 | 40.257541 | 29.82393 | 26.135879 | 21.457312 | 38.358248 | 37.815175 | 31.299633 | 30.735720 | 20.3114818 | 24.042081 | 22.345471 | 31.686024 | 23.275692 | 26.638276 | 20.4788027 | 39.474427 | 18.894624 | 39.695475 | 35.5263184 | 42.573684 | 37.271537 | 28.353210 | 25.889874 | 30.823111 | 24.415910 | 22.935095 | 27.823251 | 34.986832 | 39.226607 | 36.911716 | 40.860696 | 34.432269 | 36.144568 | 39.865109 | 16.862753 | 31.2841752 | 26.5293103 | 28.211460 | 24.364642 | 45.925995 | 31.229588 | 26.913594 | 35.136528 | 12.308490 | 33.890893 | 29.1537201 | 45.353821 | 50.134737 | 39.573009 | 28.119328 |
| 24822 | 32.818894 | 37.295598 | 23.741753 | 25.938414 | 37.556444 | 35.802326 | 27.732856 | 16.756138 | 37.063665 | 35.252069 | 42.999789 | 15.860727 | 27.186868 | 28.959560 | 52.70239 | 35.054314 | 43.36319 | 32.934709 | 31.269047 | 39.001060 | 29.923169 | 17.300345 | 27.805735 | 42.0462303 | 36.558278 | 6.984800 | 22.456336 | 40.511302 | 25.015113 | 25.9247354 | 35.247625 | 25.988362 | 33.888270 | 30.5371120 | 37.287728 | 47.094502 | 22.773838 | 34.355734 | 30.494740 | 33.983916 | 27.660278 | 30.902043 | 34.299467 | 35.330522 | 18.554199 | 42.353886 | 46.341844 | 25.149307 | 30.688658 | 37.936805 | 32.4408295 | 28.1318481 | 26.056917 | 26.693750 | 30.792662 | 33.090077 | 40.038848 | 43.871088 | 45.482951 | 35.590598 | 21.8576537 | 39.400182 | 25.793413 | 31.924211 | 25.853955 |
| 59986 | 41.022318 | 35.752300 | 34.195378 | 41.733173 | 31.325035 | 45.582394 | 22.263789 | 31.776404 | 49.161364 | 26.067889 | 30.594299 | 32.322252 | 29.053419 | 21.623218 | 13.30594 | 31.272130 | 25.35522 | 23.084865 | 29.074656 | 32.429435 | 28.618069 | 22.941830 | 24.093351 | 41.3285667 | 31.930366 | 25.205779 | 30.172151 | 23.440717 | 23.727100 | 30.5323029 | 25.474652 | 32.937291 | 33.885175 | 18.0007060 | 39.396779 | 24.491618 | 35.424345 | 21.269112 | 37.214650 | 23.542277 | 50.708384 | 29.911662 | 6.243383 | 34.421292 | 24.802926 | 33.077260 | 32.944507 | 28.391647 | 14.754709 | 25.242010 | 28.7328761 | 23.5293626 | 30.846883 | 33.695275 | 34.787562 | 28.847223 | 20.531260 | 25.354826 | 43.867061 | 19.775062 | 45.4306901 | 26.833375 | 23.073958 | 33.588181 | 34.838566 |
| 53675 | 38.305390 | 32.911234 | 23.326999 | 30.163528 | 35.190848 | 29.397390 | 23.263644 | 33.798717 | 21.480910 | 44.889781 | 23.384101 | 43.362466 | 29.095678 | 37.741934 | 32.52676 | 20.623197 | 29.90544 | 20.948997 | 46.780367 | 30.794333 | 35.155840 | 26.758507 | 24.313769 | 28.7189293 | 48.194520 | 34.981781 | 35.628301 | 30.785902 | 23.146856 | 45.0366020 | 31.605046 | 40.554592 | 27.383180 | 22.7075983 | 47.790519 | 35.205421 | 30.611658 | 21.189150 | 47.729881 | 32.750483 | 38.626166 | 29.715565 | 25.556981 | 37.425936 | 27.023587 | 39.368783 | 32.008543 | 36.134835 | 23.820657 | 20.896183 | 38.8498135 | 36.2216723 | 29.371811 | 33.812119 | 27.622475 | 40.462802 | 27.305167 | 39.086638 | 30.670402 | 21.311025 | 40.5046521 | 18.200835 | 39.752292 | 21.236936 | 36.252729 |
| 54976 | 18.497396 | 26.996658 | 16.497222 | 42.845863 | 24.384424 | 43.090694 | 16.792203 | 20.026580 | 11.319825 | 47.428250 | 43.845658 | 17.613529 | 37.504281 | 13.371990 | 27.99184 | 40.841420 | 33.03648 | 31.092090 | 52.394028 | 41.200770 | 28.960228 | 21.305837 | 5.643192 | 24.6472747 | 28.670061 | 23.343700 | 20.642464 | 5.823530 | 13.839147 | 47.1742079 | 23.257351 | 17.151588 | 27.604593 | 37.1209611 | 34.855531 | 29.934992 | 26.645249 | 24.396811 | 35.347225 | 8.091252 | 40.637758 | 16.571086 | 31.460165 | 8.836544 | 27.553253 | 33.264479 | 44.404281 | 27.346231 | 16.777500 | 43.454787 | 39.0143366 | 42.7859924 | 28.033736 | 33.308887 | 17.916571 | 16.378189 | 29.505230 | 33.103647 | 39.419033 | 38.622718 | 44.3665372 | 29.124045 | 33.527630 | 44.390452 | 46.103881 |
| 46458 | 40.448360 | 23.544912 | 25.784410 | 25.985524 | 34.775364 | 18.316199 | 12.712502 | 27.529131 | 21.610135 | 41.006532 | 32.156084 | 24.770610 | 33.815190 | 18.471964 | 22.50993 | 29.990494 | 34.78332 | 52.906889 | 48.888854 | 27.841297 | 34.610598 | 34.978180 | 37.353131 | 41.0519254 | 12.772548 | 36.559299 | 35.252975 | 18.649277 | 28.742475 | 37.9403042 | 40.011745 | 41.631427 | 38.307348 | 32.7162778 | 18.666752 | 37.688375 | 54.814138 | 26.743860 | 34.736791 | 26.724754 | 35.142063 | 34.118399 | 18.398666 | 26.596133 | 45.469153 | 39.235312 | 32.463069 | 24.254264 | 29.435053 | 50.984958 | 36.5075402 | 37.7604786 | 35.246990 | 17.071164 | 29.340595 | 24.679402 | 20.878912 | 31.455528 | 37.548125 | 22.183178 | 35.0829092 | 21.589471 | 28.448798 | 31.641577 | 36.463862 |
| 40589 | 35.864192 | 12.206068 | 24.359826 | 28.454895 | 21.724177 | 28.631003 | 33.558361 | 40.299282 | 25.085892 | 38.268643 | 34.042299 | 31.259856 | 27.971229 | 17.460471 | 32.83034 | 36.968047 | 33.50087 | 17.003198 | 35.435918 | 22.008559 | 28.862674 | 38.999946 | 37.718353 | 17.5258217 | 26.744714 | 28.724649 | 30.271277 | 27.079200 | 30.536423 | 25.2095042 | 29.729977 | 39.083695 | 38.584912 | 36.0977891 | 24.767487 | 27.292206 | 27.628975 | 20.713582 | 31.207096 | 53.005452 | 10.689328 | 40.217769 | 17.214900 | 38.505678 | 43.592453 | 36.396526 | 26.009682 | 41.626736 | 25.320166 | 38.161481 | 19.8389318 | 19.6180843 | 22.767680 | 23.711535 | 19.131689 | 29.646916 | 36.986762 | 44.691268 | 37.446377 | 20.773433 | 3.9165784 | 45.661731 | 36.046112 | 30.908477 | 25.918163 |
| 62081 | 31.215353 | 36.248398 | 42.011866 | 17.351342 | 35.627727 | 14.454990 | 17.300981 | 28.587659 | 39.232794 | 34.906888 | 26.983106 | 25.381954 | 20.654145 | 15.382749 | 30.90239 | 27.131029 | 32.27949 | 29.586787 | 31.549111 | 19.517321 | 31.264958 | 28.956794 | 34.170938 | 28.8110111 | 33.803244 | 32.568798 | 20.847842 | 29.169679 | 30.973746 | 16.1841182 | 40.045183 | 33.376359 | 16.675397 | 32.8225453 | 23.342758 | 18.375490 | 17.518979 | 24.627468 | 28.384061 | 25.194042 | 42.906427 | 12.374034 | 23.607577 | 32.382431 | 41.401119 | 24.238461 | 19.422128 | 29.738222 | 33.020819 | 31.206907 | 28.8736639 | 26.3946110 | 12.278171 | 27.693211 | 27.259335 | 30.415495 | 26.689820 | 34.667881 | 29.002922 | 40.007238 | 43.1433400 | 36.855346 | 20.451946 | 12.439672 | 33.508764 |
| 35042 | 24.517119 | 38.839956 | 30.250291 | 29.256437 | 34.157442 | 28.045784 | 31.266387 | 29.679026 | 27.178567 | 43.079691 | 43.581366 | 10.065978 | 22.339411 | 28.956402 | 18.65399 | 37.237430 | 28.24179 | 34.778844 | 31.252853 | 36.686613 | 34.582758 | 28.462859 | 32.300511 | 31.5639976 | 32.985066 | 25.735637 | 19.736284 | 28.673434 | 35.233076 | 28.5030733 | 39.033342 | 26.063159 | 42.400046 | 34.6791377 | 16.115029 | 40.892365 | 29.347939 | 22.998115 | 34.867319 | 23.847668 | 23.884062 | 25.159472 | 41.094683 | 35.686332 | 19.862479 | 32.379360 | 31.158342 | 17.648915 | 30.536954 | 24.896633 | 23.6424758 | 23.4757544 | 41.969474 | 37.101441 | 32.538531 | 30.578437 | 47.516001 | 49.458197 | 33.663736 | 31.182760 | 27.6167214 | 31.597706 | 38.791842 | 39.804342 | 33.344334 |
| 25076 | 36.070543 | 24.236264 | 30.368688 | 44.074634 | 28.657882 | 16.360584 | 27.451112 | 35.073567 | 27.196698 | 35.866856 | 22.155592 | 23.804318 | 40.296594 | 33.962500 | 25.35489 | 30.319401 | 25.15578 | 38.523246 | 36.037028 | 40.763064 | 32.994314 | 29.735861 | 30.060056 | 30.4618385 | 23.613284 | 45.292276 | 27.978177 | 22.953698 | 36.711252 | 50.1226779 | 32.502981 | 26.090514 | 14.668114 | 26.3202696 | 31.180557 | 30.875982 | 38.066616 | 37.252134 | 29.567307 | 28.320435 | 18.344290 | 39.142661 | 21.741107 | 11.963845 | 31.674035 | 30.037031 | 30.828806 | 22.542725 | 30.871987 | 39.064969 | 22.3115878 | 49.6045071 | 24.934040 | 42.270224 | 15.664274 | 9.389791 | 25.406146 | 38.024443 | 32.377896 | 31.671272 | 15.0249914 | 21.627953 | 31.575055 | 37.722011 | 35.213292 |
| 34864 | 38.223340 | 20.245267 | 38.143856 | 17.547300 | 22.928831 | 36.261618 | 44.009635 | 41.121711 | 27.928601 | 18.240319 | 23.212554 | 22.340546 | 35.565672 | 22.838936 | 27.58950 | 20.551627 | 36.20887 | 36.146738 | 30.931628 | 14.451026 | 22.810948 | 25.226864 | 27.053268 | 28.9526453 | 20.997376 | 19.861074 | 24.671246 | 19.621573 | 31.936612 | 33.7558640 | 28.440185 | 23.818048 | 35.166708 | 27.6176233 | 25.641647 | 27.855130 | 22.299916 | 23.037585 | 23.915661 | 46.622931 | 31.568686 | 34.889781 | 22.976741 | 18.523869 | 29.261671 | 19.151020 | 37.482420 | 30.717614 | 27.809467 | 23.003303 | 22.7869054 | 38.2480310 | 17.892247 | 27.768308 | 31.362674 | 17.283357 | 40.142837 | 28.350269 | 23.959768 | 45.190836 | 33.6269077 | 32.963438 | 30.825307 | 19.780844 | 49.639221 |
| 63470 | 13.454300 | 45.084474 | 37.938982 | 34.634796 | 18.230967 | 20.951823 | 29.397986 | 38.408927 | 33.822862 | 27.516254 | 22.743836 | 31.430876 | 24.666272 | 29.578175 | 29.36845 | 48.418679 | 47.85222 | 29.785806 | 33.238551 | 15.296022 | 25.089797 | 30.006475 | 37.121277 | 18.5321102 | 32.679123 | 26.927516 | 31.242487 | 23.145381 | 26.267030 | 26.1813716 | 23.803804 | 29.217128 | 24.776812 | 29.1062783 | 16.839119 | 37.333926 | 40.600089 | 29.159267 | 16.796406 | 35.119405 | 29.987812 | 31.686974 | 26.802753 | 13.223644 | 30.868344 | 34.854881 | 27.866159 | 24.961943 | 33.911020 | 17.588253 | 31.1284282 | 37.1887634 | 46.085116 | 19.917472 | 36.171049 | 31.514146 | 24.671057 | 20.093712 | 36.019610 | 30.361570 | 28.0835799 | 11.062798 | 26.631072 | 15.603375 | 31.782179 |
| 32094 | 22.654963 | 37.797477 | 25.348706 | 34.776151 | 39.088242 | 41.218796 | 24.229161 | 24.147258 | 32.348867 | 25.715420 | 37.649082 | 16.058186 | 27.181277 | 21.965266 | 32.51591 | 34.431823 | 41.11599 | 27.669004 | 42.188960 | 22.945118 | 40.042908 | 22.459007 | 9.512808 | 12.3075415 | 39.207803 | 33.501044 | 41.079627 | 20.073101 | 28.635957 | 30.4925004 | 28.881334 | 34.879100 | 31.722127 | 26.1980331 | 36.053322 | 45.773276 | 35.624702 | 30.463637 | 37.551228 | 24.094858 | 35.627158 | 17.255394 | 24.541755 | 21.871607 | 42.117160 | 41.281263 | 35.643901 | 42.500818 | 36.081178 | 25.658636 | 30.9868107 | 41.0558934 | 19.549385 | 34.572948 | 44.931919 | 49.021068 | 29.371896 | 34.138994 | 32.395243 | 44.429807 | 16.8308634 | 37.257338 | 31.602808 | 32.172520 | 21.444445 |
| 38007 | 35.941515 | 36.875039 | 27.181263 | 31.945276 | 39.642074 | 26.946023 | 37.263323 | 40.860777 | 22.393723 | 22.011977 | 25.853447 | 45.300442 | 48.888644 | 34.184168 | 34.37941 | 33.640991 | 33.82061 | 43.038776 | 38.643063 | 29.618048 | 39.591702 | 27.327171 | 30.097215 | 21.5142626 | 37.399928 | 33.921600 | 35.036231 | 28.362879 | 41.220259 | 37.5679362 | 39.329288 | 34.922063 | 35.761232 | 46.6665205 | 48.751961 | 27.755194 | 26.565864 | 43.435731 | 27.747493 | 26.039885 | 44.351962 | 36.520429 | 38.205867 | 38.736553 | 40.785165 | 42.285711 | 33.352090 | 47.606000 | 44.475752 | 41.745923 | 40.7919075 | 40.7506016 | 34.087006 | 35.281841 | 41.791905 | 24.005141 | 32.595538 | 28.768345 | 36.255021 | 33.506781 | 37.2331196 | 28.194462 | 40.893464 | 22.635660 | 41.540685 |
| 89478 | 21.257430 | 16.674108 | 34.591817 | 30.300688 | 5.923597 | 36.289248 | 18.853346 | 28.433292 | 22.739850 | 31.686687 | 26.168971 | 23.069984 | 30.487795 | 18.312463 | 35.79088 | 30.622144 | 18.31699 | 28.814774 | 20.822103 | 29.163168 | 27.719277 | 37.907947 | 32.179737 | 24.5421065 | 29.210726 | 35.040666 | 34.456014 | 44.374828 | 27.586654 | 30.4267990 | 29.391711 | 39.897155 | 34.550209 | 32.1121337 | 5.816845 | 24.322274 | 20.359953 | 16.968543 | 34.378144 | 16.566444 | 28.166390 | 19.419021 | 23.059582 | 50.405601 | 41.918358 | 35.191965 | 40.648856 | 18.080563 | 15.092103 | 28.297449 | 19.8015516 | 19.3972750 | 29.520970 | 3.659440 | 13.797732 | 11.416719 | 49.646898 | 32.107301 | 39.903723 | 10.262486 | 32.3324949 | 39.427107 | 34.787501 | 39.422617 | 32.495320 |
| 32124 | 19.532188 | 39.770469 | 23.623307 | 9.351962 | 35.060861 | 32.876043 | 27.676329 | 23.433493 | 20.430572 | 23.335593 | 33.373206 | 48.071652 | 35.873643 | 23.951991 | 21.26925 | 36.882224 | 32.06437 | 23.273083 | 18.384583 | 29.138200 | 41.880956 | 31.116899 | 23.215248 | 31.5111651 | 39.019177 | 51.770126 | 47.681166 | 33.467658 | 25.869546 | 19.5883181 | 45.541455 | 44.092798 | 32.445315 | 37.7003263 | 34.658192 | 43.996417 | 18.662203 | 29.684622 | 30.294293 | 23.185947 | 25.113423 | 19.960584 | 23.636263 | 27.786282 | 29.825985 | 35.189564 | 40.090527 | 26.267073 | 22.512827 | 15.587617 | 36.5818930 | 25.9774182 | 20.940558 | 38.912004 | 43.733417 | 52.852709 | 20.098640 | 19.991860 | 27.553264 | 37.134462 | 23.8968498 | 25.894455 | 26.460558 | 31.381161 | 17.226674 |
| 34107 | 42.318378 | 23.263599 | 19.729834 | 39.012027 | 16.147367 | 40.006690 | 31.293383 | 40.656754 | 21.963056 | 35.142415 | 32.358223 | 28.695296 | 44.582063 | 11.773794 | 50.20092 | 33.468932 | 14.03623 | 39.470299 | 22.653849 | 26.096089 | 28.428687 | 29.750885 | 19.671620 | 27.8182712 | 15.468592 | 20.660619 | 28.619339 | 17.602367 | 40.630301 | 35.1236386 | 19.323575 | 37.951054 | 35.690753 | 41.2151947 | 34.441290 | 35.865654 | 43.355955 | 16.074446 | 29.301834 | 28.149093 | 21.028333 | 23.346786 | 20.916653 | 10.823538 | 33.120500 | 43.157219 | 31.275924 | 53.235410 | 24.523964 | 35.532359 | 19.9333138 | 48.4503319 | 21.073155 | 19.053835 | 27.848671 | 32.787737 | 23.468633 | 31.351679 | 39.831658 | 20.869543 | -0.4703483 | 31.460810 | 50.735723 | 30.567921 | 57.171377 |
| 69828 | 25.293383 | 17.190124 | 25.015314 | 34.178464 | 27.367098 | 39.435200 | 29.331480 | 25.325968 | 22.530720 | 43.110396 | 37.511348 | 30.031783 | 54.084077 | 25.111356 | 50.10545 | 33.593018 | 33.40209 | 54.984796 | 16.038025 | 36.639843 | 27.738213 | 22.002983 | 18.316836 | 16.5908335 | 19.052831 | 25.689940 | 35.823559 | 32.348284 | 20.682277 | 42.4081394 | 21.261130 | 35.829212 | 33.188741 | 33.0321000 | 23.715592 | 32.102479 | 43.034768 | 15.859132 | 32.527204 | 27.472604 | 20.078816 | 44.032556 | 38.756592 | 32.651755 | 21.357270 | 37.424996 | 29.403149 | 20.963923 | 22.697633 | 36.270696 | 23.0404654 | 34.2096102 | 20.348399 | 38.095672 | 28.589854 | 24.174596 | 30.987217 | 22.218818 | 33.836821 | 20.481800 | 26.1710860 | 36.390979 | 32.094525 | 31.378545 | 46.822241 |
| 60977 | 40.450339 | 33.609388 | 28.364490 | 30.204009 | 34.403683 | 22.532879 | 24.461941 | 28.591322 | 38.637922 | 21.031613 | 43.547866 | 15.149565 | 30.977053 | 25.870997 | 39.45282 | 19.522873 | 44.31277 | 50.081939 | 43.743264 | 31.036514 | 35.938370 | 36.299570 | 36.904955 | 40.3194128 | 33.237018 | 15.282764 | 23.534555 | 38.687287 | 33.345220 | 34.1658625 | 33.561058 | 20.647668 | 31.331335 | 29.9240527 | 44.763970 | 32.725495 | 39.184594 | 37.888337 | 31.769337 | 31.015269 | 17.418414 | 26.577991 | 43.808522 | 26.118120 | 31.919207 | 27.380172 | 29.607592 | 38.092147 | 38.169169 | 41.014192 | 36.7310783 | 26.0186463 | 28.800914 | 37.542422 | 44.032115 | 35.114188 | 23.914869 | 19.643361 | 35.088231 | 34.758847 | 21.0697777 | 29.490249 | 18.447289 | 19.712369 | 51.345656 |
| 73727 | 16.195315 | 18.666548 | 28.004974 | 26.005715 | 36.096728 | 20.144018 | 14.076403 | 19.950747 | 31.497693 | 27.826226 | 29.851845 | 38.630677 | 42.404252 | 12.177349 | 27.31336 | 28.381791 | 29.51506 | 43.850140 | 37.805022 | 20.612373 | 30.850438 | 24.294235 | 24.776293 | 35.5047078 | 28.539904 | 40.964565 | 38.003600 | 10.613945 | 31.710264 | 30.7765410 | 41.735397 | 39.263617 | 34.524816 | 29.2233620 | 37.562530 | 31.688908 | 18.790133 | 29.207810 | 28.680243 | 22.077492 | 38.336023 | 28.850636 | 34.359598 | 20.882891 | 40.111582 | 18.928016 | 29.601870 | 27.617877 | 35.502987 | 44.691079 | 31.0274141 | 29.7318220 | 26.453108 | 32.541350 | 31.568746 | 28.081711 | 29.857503 | 44.226789 | 33.759339 | 34.585196 | 46.9265278 | 34.442701 | 32.033482 | 34.553711 | 28.108331 |
| 77560 | 33.654890 | 38.188546 | 51.959124 | 35.244326 | 48.758558 | 30.119253 | 39.354053 | 38.379534 | 39.187886 | 35.576689 | 29.811298 | 28.141229 | 34.405260 | 35.028734 | 44.29775 | 34.997005 | 28.76488 | 26.056408 | 34.850193 | 47.645947 | 56.015723 | 41.304786 | 36.594723 | 37.9359356 | 48.737625 | 12.547609 | 25.025645 | 38.889755 | 18.014085 | 28.9927212 | 29.145629 | 20.455828 | 41.700941 | 25.7220453 | 36.318160 | 34.951414 | 36.526085 | 28.559368 | 32.214908 | 38.154641 | 46.364074 | 36.968282 | 39.074989 | 44.954201 | 27.000577 | 24.168531 | 28.111062 | 19.644119 | 26.440147 | 38.820057 | 28.5635966 | 26.6297269 | 43.095128 | 43.066627 | 18.172532 | 38.070435 | 35.490581 | 29.758068 | 31.011011 | 30.518414 | 47.4310668 | 35.933873 | 23.002263 | 27.207886 | 42.817357 |
| 57086 | 25.901702 | 28.557222 | 29.602245 | 40.187210 | 29.894963 | 8.518505 | 36.504027 | 19.427721 | 42.802070 | 30.592256 | 34.406978 | 30.760742 | 33.634526 | 29.268951 | 37.62435 | 37.107581 | 32.78214 | 26.332832 | 11.116428 | 36.298224 | 29.715902 | 49.556176 | 17.187019 | 42.9618188 | 21.803509 | 25.115225 | 21.670965 | 15.913205 | 28.166409 | 30.9589350 | 36.426739 | 37.984588 | 37.198588 | 30.6846127 | 30.426942 | 30.717891 | 42.978809 | 25.564015 | 22.178040 | 24.533867 | 39.473721 | 27.195445 | 39.808114 | 48.221913 | 39.469548 | 16.336633 | 45.760883 | 40.914412 | 42.714767 | 20.682623 | 38.5789417 | 21.8990166 | 32.351209 | 26.311445 | 30.678062 | 25.345173 | 24.145533 | 34.214368 | 25.482224 | 50.381434 | 33.9598182 | 20.262031 | 31.810321 | 35.582514 | 26.088901 |
| 35884 | 33.527764 | 14.620105 | 37.558139 | 43.218151 | 38.988712 | 23.894759 | 29.806998 | 45.773048 | 26.291092 | 40.902712 | 37.412653 | 26.264261 | 31.540595 | 26.141640 | 43.19066 | 28.084257 | 28.31418 | 33.052986 | 26.850891 | 34.321986 | 32.497334 | 29.116396 | 22.921972 | 29.2708139 | 10.144554 | 34.427794 | 17.393407 | 20.498752 | 28.929073 | 49.9174893 | 20.631961 | 33.548784 | 45.833997 | 45.1257356 | 28.634295 | 35.740771 | 42.535518 | 26.572217 | 31.653841 | 30.249801 | 32.124713 | 19.737979 | 46.512716 | 29.286137 | 20.097739 | 39.391678 | 38.783168 | 17.182610 | 46.726313 | 43.991618 | 13.8770778 | 40.4690573 | 17.951285 | 36.116042 | 38.712903 | 30.360514 | 28.511972 | 24.703201 | 34.680033 | 27.707873 | 35.2050509 | 49.296380 | 34.495545 | 14.460897 | 45.342111 |
| 61562 | 25.947919 | 32.591113 | 21.928582 | 38.548880 | 23.956828 | 26.674328 | 19.774940 | 28.851025 | 27.501177 | 35.202379 | 21.804324 | 9.636745 | 34.453567 | 23.044540 | 36.10531 | 36.471612 | 34.60680 | 27.248584 | 28.873421 | 24.532055 | 32.937744 | 27.335496 | 28.504771 | 39.6542154 | 31.075046 | 6.333106 | 7.008224 | 28.719478 | 14.616823 | 42.7560013 | 40.457545 | 30.303743 | 33.310858 | 33.8413441 | 48.330625 | 40.134307 | 28.990461 | 38.222349 | 18.738623 | 19.065971 | 25.432293 | 14.544863 | 32.320797 | 14.597518 | 13.786122 | 33.036704 | 38.654271 | 21.791254 | 28.852692 | 37.239368 | 27.6290675 | 31.1456425 | 17.501815 | 33.159621 | 34.555079 | 20.471149 | 23.010588 | 19.466203 | 33.502961 | 32.471844 | 16.3243228 | 25.737734 | 30.243145 | 25.441520 | 25.418643 |
| 50043 | 33.890518 | 22.894188 | 37.419970 | 27.435140 | 34.524739 | 24.508307 | 45.092616 | 8.806062 | 46.270327 | 35.415123 | 24.483559 | 28.356358 | 22.636181 | 35.457416 | 25.19072 | 22.650643 | 24.20442 | 9.687758 | 21.992780 | 17.951680 | 26.441744 | 32.836076 | 28.137316 | 14.5837873 | 17.940663 | 31.034373 | 24.427996 | 37.940754 | 26.789251 | 35.6273080 | 30.197715 | 18.406541 | 36.905715 | 20.4308048 | 32.260145 | 18.688869 | 24.252282 | 21.223191 | 28.794282 | 37.488583 | 40.578365 | 30.877933 | 24.055673 | 30.902816 | 18.859159 | 43.383294 | 34.736156 | 31.086192 | 26.309456 | 22.820376 | 25.2470595 | 29.1010457 | 31.823469 | 9.846747 | 6.704580 | 24.410333 | 23.197741 | 32.368524 | 17.734543 | 34.617672 | 32.8749042 | 18.135316 | 36.449758 | 26.163444 | 26.158142 |
| 36999 | 31.068463 | 12.622292 | 19.942031 | 21.844834 | 20.470897 | 32.657153 | 9.669860 | 27.809262 | 24.996709 | 29.363282 | 44.742156 | 30.269818 | 35.224112 | 17.750816 | 17.43785 | 44.395809 | 24.67348 | 32.546344 | 25.076753 | 35.265601 | 31.006660 | 19.404383 | 12.553800 | 23.8010716 | 7.500674 | 29.543556 | 32.308762 | 25.455890 | 33.655403 | 29.8467355 | 12.835729 | 22.426644 | 37.137730 | 24.5839475 | 22.782964 | 47.833136 | 20.137329 | 20.413360 | 32.029019 | 27.825499 | 23.382699 | 24.728430 | 23.775837 | 25.659244 | 33.123331 | 37.616056 | 51.482503 | 51.289071 | 23.593745 | 16.471687 | 18.0698604 | 31.2959449 | 25.459238 | 21.022735 | 10.042482 | 34.783198 | 37.506050 | 34.484862 | 19.995017 | 33.493732 | 30.8261686 | 25.315914 | 31.325639 | 43.674032 | 26.003962 |
| 39665 | 45.515853 | 31.832211 | 41.173348 | 26.367506 | 28.462629 | 47.940042 | 41.629617 | 24.254694 | 28.526015 | 39.819110 | 57.938875 | 34.749158 | 25.673116 | 27.226137 | 25.69325 | 35.282269 | 12.05981 | 40.427902 | 14.801431 | 39.268158 | 29.025312 | 41.979550 | 36.607927 | 40.5851476 | 27.115336 | 19.024459 | 33.362526 | 35.377898 | 45.201755 | 22.8383367 | 34.117813 | 30.774929 | 32.454093 | 46.4609040 | 39.635967 | 38.864510 | 24.183747 | 37.297823 | 41.252376 | 26.494720 | 33.154451 | 40.156291 | 35.403297 | 35.790127 | 24.192086 | 39.682218 | 42.592508 | 26.402682 | 18.013102 | 19.583248 | 19.1250529 | 18.2012080 | 43.241819 | 31.258992 | 33.439933 | 34.276784 | 44.113070 | 35.785072 | 29.828530 | 30.952328 | 30.8137394 | 52.814867 | 50.402773 | 48.003733 | 23.485657 |
| 38141 | 42.845918 | 33.427129 | 41.641373 | 16.791490 | 35.352275 | 35.119013 | 21.685545 | 54.297032 | 29.526807 | 21.330564 | 26.538078 | 15.589322 | 9.142303 | 34.342361 | 22.67057 | 44.795045 | 37.95201 | 18.775663 | 22.733736 | 31.885631 | 41.568833 | 40.199137 | 28.953146 | 35.7047071 | 32.436078 | 23.991310 | 26.269591 | 20.091182 | 38.807164 | 31.4513389 | 36.249193 | 27.473220 | 37.503546 | 33.4036592 | 26.803836 | 33.912489 | 29.245814 | 42.437337 | 42.347459 | 37.105003 | 47.393358 | 37.201259 | 34.120984 | 34.160133 | 32.237160 | 33.968201 | 32.165175 | 11.704750 | 24.435659 | 25.850860 | 30.9329073 | 26.9611523 | 30.177906 | 33.875107 | 33.599584 | 24.326847 | 31.810750 | 30.502279 | 19.074594 | 38.762275 | 46.7057952 | 35.757320 | 42.859468 | 30.919933 | 19.189366 |
| 51375 | 31.475060 | 23.807754 | 30.213034 | 36.950962 | 19.296467 | 27.582975 | 32.224373 | 30.780825 | 21.004306 | 25.266690 | 19.486092 | 31.746137 | 28.528534 | 28.754396 | 28.77396 | 22.285043 | 24.66335 | 33.881360 | 37.765235 | 23.545352 | 28.948916 | 29.785649 | 15.274367 | 41.4710864 | 26.107132 | 52.604767 | 31.666307 | 25.871631 | 42.361384 | 29.4785505 | 32.922665 | 46.865906 | 30.444597 | 15.7246569 | 15.402125 | 25.569952 | 22.370280 | 30.992024 | 35.744729 | 32.965139 | 24.393640 | 27.640417 | 14.014197 | 17.993283 | 42.790373 | 26.801049 | 21.758122 | 27.718087 | 21.993771 | 30.826726 | 28.9848283 | 19.2551167 | 21.304357 | 29.427135 | 14.266458 | 22.960989 | 18.279678 | 22.936075 | 47.522863 | 25.822165 | 29.4077898 | 30.248511 | 22.409001 | 16.560139 | 37.950218 |
| 63820 | 33.173314 | 6.752331 | 34.556562 | 33.747264 | 20.359150 | 50.365603 | 35.910410 | 46.668039 | 26.327852 | 37.637562 | 35.854369 | 25.063993 | 42.547847 | 17.934318 | 39.83595 | 33.904904 | 16.47571 | 30.668202 | 33.623618 | 28.860785 | 19.561972 | 30.192652 | 48.106356 | 19.9668613 | 16.698569 | 37.447706 | 19.595086 | 28.972980 | 25.768220 | 41.4150201 | 29.334514 | 39.372070 | 44.381201 | 31.5389858 | 21.974750 | 43.174025 | 39.429499 | 17.535735 | 25.142233 | 25.973333 | 35.752485 | 29.410019 | 41.935003 | 38.725547 | 32.827393 | 32.460181 | 40.079983 | 28.075180 | 14.359062 | 61.486651 | 28.8067334 | 39.6348681 | 37.598769 | 12.628233 | 25.181383 | 24.339620 | 27.141028 | 32.890561 | 24.404244 | 30.786803 | 31.3230157 | 26.043967 | 27.967444 | 30.340372 | 39.693519 |
| 47349 | 22.835157 | 32.589978 | 26.995949 | 35.235725 | 26.863965 | 35.604993 | 28.183164 | 30.784003 | 25.182532 | 15.537481 | 37.171490 | 28.184252 | 15.715968 | 37.256467 | 23.78793 | 32.297334 | 44.94790 | 20.292510 | 27.688469 | 25.875423 | 23.846713 | 28.063631 | 32.184828 | 27.0994346 | 44.452326 | 8.137842 | 24.365289 | 26.669597 | 36.207031 | 27.6613723 | 32.831485 | 20.385100 | 37.323109 | 27.6386208 | 21.562831 | 31.516220 | 25.038591 | 37.338155 | 22.111849 | 19.958887 | 38.746029 | 33.908829 | 29.661265 | 32.152642 | 16.909937 | 23.597908 | 39.415787 | 16.402804 | 29.093960 | 11.934111 | 36.9136277 | 30.8173269 | 30.064843 | 40.051059 | 45.503535 | 38.026757 | 24.803368 | 22.510105 | 22.720835 | 20.689600 | 29.4417814 | 26.471215 | 15.805646 | 26.001469 | 20.437557 |
| 91253 | 31.893642 | 33.754970 | 35.883844 | 24.585775 | 36.709302 | 25.440005 | 32.651688 | 39.357842 | 41.417278 | 38.754877 | 27.294621 | 46.432369 | 28.281889 | 33.079881 | 22.54493 | 23.479981 | 31.52339 | 23.168298 | 36.634481 | 51.153685 | 27.935671 | 31.500306 | 33.045394 | 38.9107809 | 30.002141 | 36.673963 | 42.449904 | 28.265345 | 19.142242 | 20.9118039 | 37.266655 | 35.857241 | 34.845493 | 32.8911825 | 25.936007 | 20.384906 | 22.318950 | 40.018014 | 31.619199 | 22.330633 | 18.604566 | 26.705507 | 15.213332 | 41.386539 | 33.330613 | 12.969952 | 33.824357 | 28.915750 | 21.910471 | 28.858051 | 25.2285113 | 19.4410421 | 30.538472 | 25.290878 | 28.439147 | 37.403831 | 30.191968 | 34.743803 | 24.992303 | 29.630196 | 15.4391847 | 38.859576 | 11.921647 | 28.249513 | 26.977771 |
| 92733 | 23.842160 | 54.086836 | 25.844013 | 28.766816 | 49.193848 | 24.448289 | 31.287603 | 51.754247 | 39.669452 | 41.221091 | 26.345877 | 23.694833 | 30.284693 | 36.547194 | 37.54868 | 7.872859 | 42.46658 | 38.593903 | 25.654929 | 21.451075 | 49.400039 | 28.465982 | 11.605342 | 45.4973722 | 53.734782 | 26.943637 | 32.827018 | 6.661229 | 7.751188 | 37.6810958 | 42.095453 | 2.403059 | 52.923573 | 35.6658963 | 38.501305 | 10.817464 | 35.649876 | 33.712323 | 13.220228 | 17.229421 | 42.091743 | 34.364986 | 37.579646 | 13.050463 | 24.635433 | 22.347126 | 14.438909 | 22.797366 | 35.592596 | 58.311491 | 50.7292648 | 45.6519701 | 30.961457 | 46.304499 | 38.350475 | 41.778936 | 28.419522 | 40.021811 | 39.413983 | 43.955074 | 38.2542944 | 27.558229 | 24.713332 | 34.075559 | 41.765856 |
| 26723 | 27.554735 | 26.204386 | 22.506778 | 16.943987 | 20.060597 | 25.862325 | 23.362742 | 24.335926 | 11.079615 | 25.962643 | 30.745746 | 19.679861 | 27.276438 | 24.160823 | 29.54147 | 34.708561 | 24.15656 | 25.922156 | 9.055550 | 38.104866 | 20.619941 | 28.897080 | 20.239564 | 30.2121817 | 28.835264 | 25.654703 | 39.825716 | 24.660983 | 31.872010 | 24.6605386 | 33.942317 | 37.610063 | 26.398571 | 27.7305007 | 28.864559 | 48.161256 | 12.778467 | 28.718356 | 21.151183 | 21.222157 | 23.018627 | 26.029610 | 33.768511 | 18.447079 | 19.955168 | 34.486437 | 33.727944 | 21.943532 | 39.096719 | 12.224638 | 20.3613876 | 14.9482712 | 26.169334 | 36.084314 | 25.034994 | 26.290097 | 24.583699 | 38.344940 | 19.312732 | 31.936274 | 31.2548650 | 34.454827 | 24.948058 | 44.841763 | 31.598941 |
| 90012 | 28.164393 | 41.753167 | 29.114463 | 25.494171 | 32.725980 | 31.391057 | 41.134304 | 34.659207 | 23.147696 | 36.984369 | 31.944031 | 40.648983 | 36.458858 | 29.948009 | 38.72728 | 19.418598 | 34.40389 | 31.332450 | 31.953195 | 32.740546 | 24.864088 | 29.081380 | 29.080383 | 47.3080975 | 50.349814 | 25.329149 | 24.972271 | 33.592534 | 29.664324 | 28.5887318 | 35.879334 | 35.686934 | 38.576226 | 35.3628473 | 35.949151 | 34.385218 | 36.023319 | 34.642145 | 28.005624 | 32.372649 | 23.667059 | 34.694181 | 33.521145 | 22.087976 | 36.236399 | 27.089775 | 15.912299 | 28.024545 | 28.856228 | 36.763690 | 42.7388387 | 35.9859254 | 38.339495 | 36.856061 | 35.201957 | 37.454704 | 32.649823 | 27.604071 | 36.033336 | 37.821689 | 23.2024545 | 32.550039 | 27.384568 | 26.622424 | 22.002918 |
| 34912 | 31.906003 | 36.822714 | 15.130552 | 33.690807 | 27.076246 | 29.085608 | 22.624518 | 34.683939 | 19.974809 | 17.535866 | 22.878380 | 11.199634 | 36.630273 | 18.627572 | 33.02552 | 34.784430 | 35.07488 | 38.442290 | 32.866827 | 25.456362 | 32.042750 | 23.563387 | 13.235739 | 27.7839020 | 26.181716 | 19.354549 | 19.456795 | 23.899875 | 40.094468 | 25.2212859 | 38.594680 | 34.113262 | 37.843425 | 25.9255539 | 38.603472 | 37.575364 | 29.677502 | 35.364156 | 28.065641 | 31.753993 | 26.813121 | 29.567612 | 30.283492 | 28.971344 | 30.037967 | 17.160369 | 26.258508 | 18.847556 | 25.710534 | 25.382827 | 20.8612982 | 18.0974594 | 14.133499 | 44.816430 | 23.472899 | 36.093909 | 35.593535 | 33.617572 | 40.647655 | 38.990874 | 25.8336932 | 31.112326 | 46.068565 | 32.813853 | 31.923218 |
| 75417 | 28.147863 | 36.680623 | 36.313536 | 29.218912 | 42.360778 | 28.470197 | 36.659775 | 11.257725 | 39.337743 | 21.508371 | 27.343839 | 53.445311 | 19.040221 | 33.260719 | 26.20309 | 30.516996 | 40.76065 | 21.916412 | 33.743989 | 25.732698 | 30.564165 | 30.559141 | 30.127191 | 29.7138660 | 34.951535 | 39.873638 | 40.750276 | 21.074819 | 48.393703 | 21.8470244 | 28.362518 | 41.948864 | 31.725179 | 32.8276619 | 29.212967 | 27.091333 | 38.642325 | 23.344340 | 28.849282 | 42.579310 | 29.477428 | 36.841366 | 17.761181 | 45.873187 | 55.123461 | 26.432849 | 27.120590 | 45.596858 | 28.370723 | 16.361854 | 25.2488249 | 28.3307638 | 29.433757 | 33.301856 | 17.742376 | 33.402673 | 27.503416 | 21.161796 | 11.097355 | 37.212431 | 29.9763421 | 29.455237 | 30.615429 | 19.777692 | 13.031382 |
| 70058 | 20.236685 | 30.450365 | 12.688478 | 24.673384 | 28.828398 | 3.400834 | 32.732692 | 34.674796 | 26.762717 | 23.902184 | 25.622306 | 10.166275 | 31.342148 | 32.084672 | 19.28270 | 34.465368 | 25.75583 | 19.124090 | 26.942263 | 13.674274 | 43.476995 | 47.686080 | 34.196110 | 28.4675704 | 12.349625 | 4.020877 | 5.213988 | 27.988319 | 20.913897 | 24.5229792 | 36.242168 | 3.487786 | 16.381092 | 15.1434879 | 23.488481 | -2.468246 | 38.904343 | 35.616653 | 14.828276 | 45.403096 | 20.922962 | 47.488665 | 16.180648 | 24.283243 | 3.900157 | 16.882118 | 10.973033 | 25.011593 | 25.886352 | 36.428273 | 11.4751688 | 30.3565442 | 25.406201 | 38.353801 | 35.582088 | 26.611004 | 15.153183 | 38.507740 | 33.812216 | 48.931224 | 16.1076691 | 26.181277 | 12.906938 | 16.726282 | 18.022622 |
| 26748 | 29.892790 | 19.248550 | 24.047421 | 19.887159 | 33.251667 | 32.356899 | 40.135021 | 24.720102 | 21.735041 | 22.185525 | 35.413236 | 22.516038 | 20.420424 | 19.555297 | 38.81104 | 29.205931 | 10.97348 | 27.021553 | 21.736206 | 21.404610 | 13.949293 | 21.314724 | 22.605298 | 9.7793548 | 29.209509 | 33.716760 | 38.980579 | 23.613550 | 39.655971 | 24.1209350 | 18.846427 | 37.613247 | 34.649732 | 41.5620150 | 19.351709 | 35.663067 | 17.957975 | 17.632724 | 27.323495 | 17.310156 | 32.475447 | 26.946446 | 27.860761 | 11.865795 | 41.693693 | 33.754878 | 32.614296 | 31.768061 | 30.179496 | 33.091768 | 26.2253075 | 28.1012719 | 25.904204 | 18.115025 | 26.544141 | 2.169620 | 30.199177 | 19.893753 | 22.623465 | 16.768115 | 33.6733872 | 25.395426 | 25.629165 | 30.986084 | 31.468888 |
| 87034 | 47.311795 | 30.987193 | 27.867476 | 43.187089 | 32.597544 | 39.563903 | 12.842927 | 27.359986 | 25.560146 | 32.899180 | 54.645419 | 51.702636 | 25.259278 | 39.601729 | 24.82994 | 53.419881 | 31.46479 | 33.277369 | 24.798521 | 35.351324 | 44.125765 | 17.313156 | 32.564352 | 25.7672330 | 35.486715 | 38.924375 | 37.019152 | 32.171303 | 35.476054 | 21.8416263 | 33.510792 | 39.409658 | 40.603508 | 34.0420965 | 30.110124 | 46.130897 | 25.975758 | 38.273793 | 29.668193 | 39.190308 | 28.098840 | 28.086773 | 36.730888 | 32.935778 | 45.449708 | 34.567419 | 41.647079 | 38.017164 | 41.351655 | 33.324555 | 25.5686525 | 30.3214800 | 27.737061 | 36.213248 | 37.005383 | 37.909069 | 53.867906 | 41.907951 | 20.294396 | 36.631925 | 27.9831578 | 43.308993 | 33.351932 | 45.330364 | 25.326538 |
| 61164 | 39.003820 | 36.929693 | 45.103357 | 43.576281 | 41.554204 | 31.619977 | 33.998043 | 22.464760 | 42.873836 | 21.932812 | 30.004804 | 30.084201 | 25.266988 | 31.101927 | 32.72143 | 26.130436 | 48.11060 | 35.519365 | 17.613169 | 27.686037 | 35.271143 | 34.420727 | 22.830976 | 21.3362604 | 45.716291 | 38.071618 | 24.904394 | 46.929465 | 19.713325 | 36.7849349 | 32.932964 | 16.072033 | 27.929240 | 36.3841022 | 25.766703 | 42.941475 | 28.077905 | 32.274284 | 32.337694 | 38.354534 | 36.598297 | 20.780776 | 42.731482 | 46.954379 | 18.952236 | 24.795762 | 31.638695 | 31.855938 | 35.487206 | 28.097248 | 39.8368221 | 29.7082265 | 24.622173 | 37.880159 | 35.657345 | 32.134032 | 37.982095 | 30.310347 | 15.610802 | 41.995853 | 36.7197743 | 30.931422 | 34.499044 | 40.970548 | 18.611036 |
| 84789 | 23.464137 | 42.686373 | 30.482467 | 49.933824 | 46.356684 | 16.607774 | 34.975973 | 32.826413 | 32.922284 | 34.301103 | 19.425620 | 17.564474 | 25.440828 | 36.688914 | 32.06077 | 18.280174 | 40.96223 | 34.520630 | 28.513214 | 8.593701 | 33.937912 | 34.373033 | 39.507709 | 39.4903027 | 27.641839 | 31.148829 | 18.374725 | 24.726876 | 17.504018 | 34.6576020 | 35.706630 | 18.991019 | 8.387391 | 8.5280971 | 21.871498 | 5.415014 | 33.851219 | 34.093854 | 13.809601 | 34.016737 | 38.045630 | 34.899502 | 14.280564 | 44.257255 | 26.701978 | 18.543089 | 8.697687 | 16.543349 | 31.801149 | 36.380260 | 32.1146770 | 37.0724504 | 25.465690 | 37.466871 | 25.002600 | 34.032665 | 25.613978 | 16.351572 | 25.665743 | 21.654759 | 37.9922076 | 20.673148 | 42.482697 | 26.013263 | 38.872601 |
| 73958 | 42.994393 | 42.066113 | 36.793292 | 46.604260 | 43.648116 | 25.339531 | 17.421742 | 29.730571 | 25.034716 | 21.137593 | 38.243558 | 26.106788 | 37.488267 | 32.765998 | 31.94365 | 47.268710 | 36.47141 | 11.921174 | 21.435377 | 33.494611 | 43.308124 | 27.916331 | 20.237638 | 41.1050377 | 68.532338 | 32.886694 | 22.312610 | 19.673279 | 34.780668 | 29.0740164 | 42.906508 | 32.500457 | 61.670829 | 53.4712061 | 34.419177 | 48.247952 | 27.523884 | 42.418898 | 39.075546 | 21.844296 | 36.287840 | 33.181928 | 40.398661 | 28.818335 | 39.174837 | 44.898921 | 34.517846 | 30.980354 | 45.054763 | 23.790371 | 36.0523674 | 42.7439872 | 27.374732 | 51.182208 | 51.848493 | 30.704184 | 47.219946 | 45.352078 | 18.785096 | 41.426717 | 33.6253885 | 39.834362 | 38.690720 | 50.219472 | 25.457597 |
| 40169 | 27.820940 | 34.165252 | 27.283133 | 16.103601 | 31.068174 | 15.686212 | 37.675178 | 20.550618 | 30.828660 | 24.598820 | 35.854245 | 33.627857 | 38.460207 | 16.284429 | 20.79670 | 22.650320 | 35.13426 | 33.866447 | 35.743427 | 36.490822 | 32.805669 | 18.758709 | 32.488483 | 30.9175516 | 28.803857 | 24.919558 | 9.048174 | 24.016172 | 31.947977 | 26.1852559 | 22.814363 | 45.872908 | 33.758009 | 23.2897333 | 33.632009 | 22.973040 | 24.903811 | 27.624940 | 22.759742 | 17.415210 | 34.917236 | 26.606294 | 38.685440 | 32.532849 | 22.208870 | 40.112730 | 32.068495 | 23.458057 | 32.520079 | 40.126391 | 25.9586266 | 29.5516417 | 13.462084 | 29.327826 | 29.602259 | 29.308496 | 28.518006 | 37.968984 | 16.039133 | 39.593732 | 41.1508296 | 40.013717 | 31.587806 | 32.783618 | 34.967019 |
| 49179 | 23.466907 | 14.287178 | 42.647778 | 46.290306 | 23.604036 | 30.276037 | 36.600100 | 42.273355 | 27.210808 | 41.395233 | 41.224831 | 31.334937 | 33.181331 | 42.964665 | 50.42719 | 24.110167 | 15.51288 | 56.857366 | 37.215788 | 26.320446 | 29.401770 | 37.498324 | 27.227847 | 29.0118877 | 37.640917 | 15.039578 | 36.371364 | 27.574781 | 36.865691 | 35.9106921 | 28.523829 | 11.381055 | 15.997799 | 12.5698337 | 24.366673 | 26.436213 | 43.623235 | 25.045335 | 30.110187 | 23.750129 | 11.983835 | 37.631327 | 22.960784 | 26.011143 | 28.486070 | 25.625219 | 17.795456 | 40.154752 | 20.329668 | 42.219842 | 25.6325152 | 51.4621032 | 33.330765 | 29.029623 | 17.832066 | 28.214747 | 14.107760 | 30.286986 | 32.837643 | 21.033781 | 17.4288857 | 15.500084 | 24.819194 | 24.570863 | 46.671608 |
| 29714 | 29.831304 | 34.264686 | 32.353666 | 2.608843 | 37.991960 | 23.497440 | 25.158217 | 11.643902 | 27.780088 | 29.287293 | 18.745548 | 30.704055 | 23.989949 | 29.530394 | 25.83836 | 19.564852 | 36.83710 | 33.571590 | 27.955494 | 16.291994 | 27.627215 | 36.834879 | 40.143538 | 31.7620088 | 32.348584 | 31.373815 | 37.296661 | 41.268370 | 30.618229 | 29.3950618 | 50.930766 | 37.982496 | 22.938776 | 25.6780212 | 31.091282 | 26.848559 | 33.922102 | 29.629886 | 24.291609 | 40.740075 | 18.105121 | 22.508814 | 22.174920 | 41.489972 | 28.653060 | 27.552907 | 18.510115 | 36.009159 | 35.364011 | 36.293509 | 27.3347696 | 16.9399668 | 21.177417 | 36.242693 | 45.238860 | 26.371811 | 25.540216 | 11.207223 | 26.736268 | 25.781430 | 10.5195570 | 18.565498 | 19.484558 | 17.662627 | 21.196196 |
| 35188 | 40.483807 | 41.428987 | 20.311263 | 29.453724 | 28.700773 | 40.797567 | 37.281824 | 29.560885 | 35.809846 | 16.855522 | 36.332692 | 36.196853 | 22.582313 | 28.739895 | 21.51283 | 42.729951 | 35.59451 | 35.626573 | 14.643047 | 19.082273 | 35.505024 | 43.049321 | 36.256383 | 42.5202734 | 18.072115 | 23.631930 | 42.619265 | 34.873139 | 40.302946 | 17.3682409 | 36.704587 | 33.251838 | 33.946504 | 34.1789896 | 37.065143 | 33.239470 | 27.152227 | 28.497485 | 27.601866 | 28.401634 | 17.553095 | 33.742868 | 32.327394 | 41.867415 | 33.955222 | 30.986775 | 38.205691 | 29.022495 | 32.929961 | 31.089308 | 45.1526209 | 27.9752497 | 38.894028 | 35.872217 | 36.314938 | 41.517358 | 19.379562 | 18.468547 | 32.579304 | 28.268075 | 15.5658140 | 29.238686 | 19.259449 | 48.609542 | 19.666444 |
| 47506 | 35.202875 | 37.824663 | 26.599764 | 40.473330 | 33.090284 | 45.720820 | 37.577406 | 20.479488 | 26.241447 | 32.092950 | 28.568397 | 41.003051 | 33.071992 | 30.040815 | 35.71927 | 31.047909 | 22.72052 | 38.480570 | 29.766064 | 51.653490 | 26.748509 | 40.556786 | 38.387594 | 31.9595004 | 43.863002 | 34.852064 | 36.165348 | 40.776781 | 26.284539 | 28.4543643 | 38.674823 | 24.630689 | 37.696001 | 51.2259717 | 33.056333 | 33.378243 | 29.794474 | 28.266266 | 29.416688 | 23.266652 | 21.932670 | 30.560343 | 25.037269 | 37.842954 | 21.660333 | 44.164259 | 26.981587 | 26.402531 | 30.590172 | 34.369214 | 34.2568361 | 34.7673110 | 22.278027 | 26.129903 | 25.808287 | 37.506680 | 8.297164 | 37.342742 | 16.691189 | 36.168598 | 38.6703525 | 52.091000 | 32.134488 | 42.596541 | 32.651101 |
| 61250 | 37.344635 | 40.788365 | 52.581968 | 34.401620 | 23.807178 | 44.871697 | 57.536212 | 36.967569 | 39.545667 | 16.195088 | 25.438284 | 22.746997 | 19.777032 | 45.347673 | 16.06153 | 34.276918 | 46.39168 | 33.304327 | 25.717482 | 32.043403 | 37.259979 | 43.330675 | 50.871040 | 26.9857531 | 39.119136 | 33.900031 | 19.583075 | 53.521423 | 37.395824 | 32.5800555 | 21.301967 | 31.931010 | 35.442277 | 31.5081668 | 27.511874 | 27.352595 | 36.552651 | 38.392133 | 35.756433 | 41.096780 | 44.152700 | 58.438167 | 32.509574 | 42.571762 | 35.367305 | 25.204073 | 31.560633 | 16.208537 | 41.050449 | 33.459643 | 43.2219354 | 41.5162145 | 42.819704 | 26.956371 | 25.271615 | 39.236673 | 38.604644 | 39.781551 | 20.771898 | 40.443662 | 46.8011927 | 32.654517 | 39.641616 | 36.361749 | 24.647614 |
| 70891 | 30.679360 | 43.166351 | 43.475660 | 42.074152 | 48.496921 | 29.547368 | 36.824852 | 34.308155 | 22.907115 | 40.251220 | 27.512938 | 29.517858 | 27.000837 | 15.676399 | 33.87700 | 32.123817 | 32.70491 | 17.616998 | 44.687065 | 29.239083 | 31.831488 | 30.015622 | 1.780545 | 36.7129783 | 42.091783 | 32.499716 | 31.228184 | 35.189614 | 28.734403 | 32.5055565 | 41.542499 | 34.271760 | 35.456477 | 23.2892603 | 33.716489 | 40.909178 | 36.030287 | 46.481613 | 16.435168 | 4.088956 | 41.952869 | 26.471600 | 39.268284 | 31.657177 | 33.772501 | 28.374259 | 37.830436 | 20.673195 | 36.991892 | 39.743668 | 27.5704946 | 31.1371330 | 10.022009 | 36.321152 | 41.448124 | 25.676275 | 35.469268 | 38.929738 | 22.150431 | 36.120501 | 45.6141154 | 14.957971 | 41.312477 | 28.534627 | 31.088951 |
| 83996 | 29.437586 | 29.818945 | 25.834555 | 27.770607 | 15.674753 | 20.180137 | 34.387840 | 24.556306 | 28.834761 | 20.861436 | 55.806195 | 31.069804 | 31.627021 | 38.714681 | 21.24887 | 41.280791 | 27.38609 | 14.047034 | 33.708250 | 14.990785 | 24.709054 | 32.391006 | 26.809283 | 24.9004192 | 24.986768 | 26.131522 | 20.721477 | 32.785435 | 16.428730 | 28.3068866 | 24.290892 | 28.583953 | 31.548696 | 44.4347821 | 31.338923 | 26.713217 | 25.414070 | 28.536413 | 21.266420 | 37.733223 | 23.268881 | 35.745119 | 23.739806 | 29.159608 | 22.644950 | 28.741795 | 33.046295 | 30.315849 | 20.668314 | 6.834885 | 23.4093791 | 25.9332326 | 36.621821 | 20.658254 | 28.846212 | 37.065510 | 51.408980 | 44.098349 | 18.518922 | 19.701760 | 24.9532407 | 23.769591 | 27.984769 | 31.898194 | 27.787883 |
| 28139 | 22.249620 | 48.665613 | 48.462280 | 38.144719 | 28.524243 | 20.764707 | 42.266133 | 28.312763 | 31.737297 | 39.779674 | 27.234325 | 34.043471 | 22.749302 | 31.450462 | 34.01602 | 21.907301 | 44.17044 | 46.921127 | 19.174098 | 12.537628 | 38.520309 | 28.504746 | 41.741372 | 23.1071356 | 34.971311 | 33.287488 | 36.843736 | 42.984251 | 39.918877 | 29.1428663 | 34.156287 | 39.569514 | 20.350806 | 14.1568086 | 37.666218 | 21.423507 | 20.702326 | 28.632938 | 20.747264 | 43.100170 | 38.195094 | 35.412790 | 25.649006 | 26.678006 | 39.349939 | 12.368297 | 33.445502 | 35.479590 | 29.421518 | 24.803872 | 42.8508581 | 35.6753946 | 37.688333 | 36.370694 | 38.823020 | 24.860142 | 15.131472 | 24.420005 | 22.752527 | 43.442854 | 39.7418392 | 35.817603 | 13.144325 | 22.088844 | 23.601883 |
| 92745 | 36.809941 | 48.612558 | 22.627348 | 42.905582 | 43.612002 | 31.302134 | 30.774657 | 33.025036 | 33.387181 | 24.955697 | 39.953774 | 32.132994 | 44.479167 | 14.353310 | 22.31857 | 23.845210 | 33.15311 | 35.601537 | 30.300631 | 30.357566 | 35.868263 | 16.103948 | 28.863969 | 37.4280303 | 39.114216 | 22.421749 | 29.397288 | 34.349871 | 36.571741 | 45.5298509 | 35.989091 | 35.329786 | 52.733695 | 41.2051922 | 41.924593 | 15.553750 | 26.713478 | 45.823603 | 48.744214 | 16.684895 | 30.772559 | 30.490312 | 35.712277 | 43.459833 | 37.370820 | 21.003313 | 35.373495 | 39.561832 | 38.322696 | 37.547795 | 36.7728159 | 25.0340020 | 30.315551 | 42.014526 | 39.819782 | 46.079171 | 34.753007 | 37.770305 | 40.852522 | 30.338127 | 26.9932434 | 28.019489 | 32.385634 | 31.514665 | 28.807246 |
| 43068 | 20.945763 | 21.199020 | 29.116002 | 25.324966 | 30.385914 | 30.439534 | 31.507654 | 20.846132 | 39.584842 | 22.996250 | 36.465346 | 23.503989 | 37.523495 | 31.169420 | 18.84755 | 40.510163 | 32.25431 | 42.695205 | 39.037668 | 32.110748 | 40.531731 | 27.736591 | 30.437874 | 37.2930733 | 42.900008 | 31.424580 | 29.847548 | 22.485611 | 38.989401 | 33.6664693 | 18.406085 | 37.977684 | 27.936688 | 27.9139184 | 37.666694 | 42.188802 | 13.263537 | 28.134376 | 19.167990 | 39.020181 | 35.518673 | 34.931635 | 17.067264 | 21.706575 | 31.781036 | 42.830067 | 37.091616 | 33.982762 | 31.437501 | 36.215066 | 23.2029573 | 21.0567564 | 45.973427 | 37.876911 | 29.897728 | 38.827052 | 29.429451 | 14.997497 | 21.454915 | 50.452629 | 30.8224959 | 31.877557 | 34.621776 | 30.687445 | 24.924634 |
| 52923 | 25.828930 | 38.635028 | 42.570301 | 17.887107 | 24.634933 | 30.990006 | 31.720546 | 24.370313 | 23.567903 | 17.744902 | 33.589951 | 33.659358 | 31.614090 | 31.640219 | 22.45807 | 19.491175 | 15.39871 | 22.134690 | 36.466971 | 15.447316 | 36.586372 | 36.695050 | 42.969932 | 28.6770398 | 43.850585 | 32.891787 | 26.967592 | 25.043971 | 26.181500 | 28.4452675 | 19.826881 | 37.963697 | 29.969860 | 41.0076984 | 26.121415 | 39.496692 | 31.841099 | 28.469181 | 29.807095 | 35.383831 | 35.036455 | 19.514923 | 29.010177 | 28.233210 | 33.150438 | 28.555170 | 25.746701 | 35.377902 | 22.365736 | 23.876175 | 27.5212870 | 25.1903849 | 45.759731 | 45.339976 | 36.193833 | 26.146260 | 41.432154 | 29.400326 | 22.979804 | 19.760338 | 30.1188860 | 30.794332 | 14.460122 | 29.996022 | 31.707385 |
| 31058 | 40.284179 | 33.834789 | 30.563554 | 25.880878 | 39.504477 | 37.246017 | 32.533621 | 41.566779 | 38.277453 | 40.173859 | 28.286874 | 17.636852 | 22.660834 | 37.000613 | 31.94154 | 33.154936 | 24.67986 | 21.099287 | 23.348775 | 12.839250 | 50.512570 | 18.654666 | 26.245709 | 45.9318719 | 29.446010 | 27.385416 | 38.282640 | 29.903955 | 18.433287 | 27.9319927 | 31.538720 | 15.846599 | 34.255854 | 26.9252313 | 36.141678 | 32.076508 | 37.399241 | 36.908366 | 24.333777 | 42.939577 | 31.284815 | 43.320056 | 46.538013 | 39.567867 | 30.957825 | 20.678436 | 28.651971 | 18.454981 | 24.227885 | 28.000173 | 37.6669580 | 28.7772515 | 33.876760 | 31.104155 | 39.675000 | 19.631944 | 28.821260 | 31.790832 | 26.890526 | 24.810780 | 34.2662436 | 48.927307 | 30.326754 | 31.108438 | 25.301541 |
| 93384 | 14.586772 | 20.907035 | 26.493230 | 31.075418 | 35.671464 | 29.463505 | 30.300276 | 34.134936 | 13.823137 | 29.790960 | 37.868479 | 22.058309 | 32.417089 | 33.851448 | 42.68782 | 30.972726 | 14.96644 | 37.389446 | 30.283320 | 35.655529 | 30.920619 | 25.324772 | 21.368430 | 33.0961784 | 30.465936 | 36.966675 | 36.741622 | 23.128848 | 35.000331 | 30.9915546 | 27.204124 | 21.467466 | 47.980906 | 18.4079674 | 44.907281 | 30.252973 | 45.804457 | 37.455638 | 26.711099 | 29.813854 | 17.961718 | 29.953997 | 19.701641 | 23.128487 | 28.529887 | 9.861781 | 38.493589 | 36.416165 | 17.093982 | 37.595926 | 34.7137418 | 26.9580594 | 21.528143 | 37.329467 | 6.591501 | 18.342845 | 20.025027 | 23.899799 | 17.046652 | 16.246343 | 19.8534449 | 31.296943 | 21.474211 | 39.859316 | 32.019459 |
| 39336 | 33.993349 | 46.372954 | 30.306264 | 34.177521 | 28.352601 | 47.133731 | 29.005161 | 26.607879 | 36.957765 | 37.197555 | 29.917767 | 27.468664 | 30.067800 | 30.326401 | 13.69355 | 34.122845 | 22.26389 | 37.088414 | 39.823400 | 37.773124 | 30.697420 | 37.618388 | 31.401352 | 13.9911780 | 24.272368 | 35.929965 | 41.299062 | 37.599261 | 30.857918 | 25.0049222 | 20.134425 | 19.546588 | 25.084688 | 32.0392778 | 23.317099 | 33.925308 | 30.883148 | 31.971091 | 29.457899 | 40.906707 | 43.880743 | 30.693270 | 40.934006 | 25.743597 | 33.879765 | 23.149539 | 37.637198 | 23.871488 | 27.497598 | 21.172729 | 30.2692390 | 26.5571767 | 28.698163 | 35.695696 | 31.341378 | 19.352877 | 33.597948 | 40.773491 | 34.463357 | 27.705673 | 40.2087628 | 26.475049 | 48.857817 | 35.435304 | 24.032269 |
| 53346 | 35.375932 | 24.811484 | 26.544278 | 34.825528 | 18.623441 | 21.124436 | 18.686788 | 27.159355 | 27.326224 | 39.840528 | 33.473322 | 25.557765 | 34.876838 | 34.798034 | 37.23278 | 30.163750 | 32.37859 | 41.988919 | 39.448726 | 28.617832 | 30.808982 | 25.896501 | 37.938489 | 33.3778272 | 29.431678 | 24.119673 | 28.652034 | 29.466406 | 35.095071 | 32.7890696 | 39.984491 | 45.853579 | 44.014229 | 24.5645904 | 37.826628 | 32.576956 | 50.393762 | 22.735165 | 24.307173 | 37.874053 | 35.763492 | 44.141425 | 21.880470 | 27.798731 | 30.811544 | 33.777231 | 16.146680 | 24.324107 | 32.650994 | 45.196218 | 33.6426631 | 49.8151903 | 26.907027 | 43.353749 | 22.707338 | 25.150416 | 27.435304 | 34.909205 | 27.954060 | 38.280325 | 33.9476877 | 27.013109 | 30.332661 | 20.263700 | 44.486660 |
| 57321 | 25.075159 | 35.053727 | 27.727742 | 44.316474 | 44.430830 | 35.481717 | 37.401941 | 30.275292 | 31.002096 | 38.977378 | 39.710838 | 34.451061 | 43.362041 | 39.091268 | 39.53459 | 37.989606 | 39.32979 | 40.425153 | 33.874610 | 30.348816 | 32.152383 | 33.798836 | 42.978891 | 34.0758072 | 34.965177 | 45.883028 | 39.313691 | 30.801309 | 24.614718 | 47.1801197 | 26.951194 | 34.612318 | 35.105820 | 26.9199745 | 35.495565 | 31.869648 | 32.064486 | 36.532376 | 29.436408 | 26.027538 | 47.817686 | 34.461120 | 45.257295 | 53.570835 | 39.397337 | 26.510194 | 26.383427 | 40.538635 | 34.585450 | 24.382996 | 30.5050234 | 32.5164511 | 30.727987 | 30.889179 | 29.937976 | 31.556651 | 45.542225 | 25.437955 | 42.001587 | 43.927716 | 48.2835993 | 41.148230 | 24.101694 | 31.714485 | 33.694433 |
| 36321 | 27.673521 | 43.118972 | 30.594256 | 19.898755 | 28.715816 | 37.843767 | 22.047529 | 33.612665 | 20.100684 | 16.946980 | 20.359406 | 34.484621 | 37.686362 | 33.205885 | 25.72802 | 37.326596 | 42.48274 | 40.590504 | 28.946071 | 32.980445 | 32.894275 | 29.176095 | 21.619796 | 27.5625568 | 39.396608 | 13.975219 | 39.822950 | 21.078781 | 34.591790 | 42.0183176 | 35.498610 | 38.986110 | 29.250926 | 35.2373281 | 37.024766 | 28.423010 | 23.606373 | 37.219624 | 28.300628 | 21.667288 | 38.266382 | 29.244780 | 31.245229 | 16.810915 | 32.632286 | 22.354717 | 23.387149 | 34.555291 | 40.128860 | 32.269765 | 31.1412403 | 35.3595646 | 18.136125 | 49.774277 | 45.865457 | 22.475612 | 34.288021 | 22.775050 | 33.323799 | 29.901946 | 36.8219219 | 40.772878 | 23.519739 | 19.479711 | 21.880221 |
| 48842 | 34.241448 | 28.660375 | 18.132998 | 33.534977 | 41.362330 | 41.899131 | 30.434690 | 22.515047 | 35.807954 | 33.545011 | 43.333825 | 28.738698 | 14.786983 | 23.086907 | 32.30128 | 41.494397 | 30.20498 | 28.518029 | 35.836087 | 31.930754 | 36.870041 | 21.958089 | 21.363328 | 34.9190814 | 35.292085 | 14.660340 | 35.922733 | 38.041618 | 31.447193 | 27.1799933 | 27.159288 | 24.996225 | 27.660943 | 51.7552215 | 28.011413 | 30.983349 | 23.489871 | 31.946578 | 44.292016 | 31.923249 | 37.785382 | 20.858274 | 40.001081 | 20.674538 | 30.317016 | 42.479838 | 36.947494 | 28.615462 | 32.451681 | 26.138895 | 20.0188800 | 26.1884387 | 22.468996 | 25.387643 | 27.146040 | 24.402351 | 47.376535 | 30.635640 | 39.809549 | 31.085057 | 35.0921470 | 36.192409 | 51.538587 | 43.555311 | 32.433635 |
| 24310 | 27.195334 | 25.114106 | 33.914968 | 40.206955 | 29.660745 | 30.425446 | 37.315543 | 35.011335 | 27.115650 | 33.431589 | 20.361083 | 29.611762 | 29.585857 | 13.704992 | 43.97533 | 50.069311 | 25.15844 | 28.711971 | 33.257718 | 18.255231 | 21.221941 | 31.114734 | 33.570706 | 38.9992154 | 39.537786 | 27.187387 | 19.653718 | 36.750267 | 24.220608 | 38.2430519 | 36.837338 | 15.699360 | 32.093308 | 34.2605819 | 24.316830 | 35.198258 | 40.259359 | 30.367799 | 29.480728 | 30.861228 | 33.367694 | 30.673181 | 29.449365 | 36.968331 | 22.313987 | 23.536702 | 31.327625 | 22.246650 | 23.221997 | 34.031452 | 21.4744497 | 32.9660505 | 42.545273 | 25.238177 | 29.628690 | 39.009233 | 35.380505 | 23.537633 | 35.735226 | 37.202881 | 31.4096732 | 33.051175 | 22.999333 | 33.028100 | 43.722696 |
| 51783 | 25.235706 | 18.617844 | 14.602975 | 26.484266 | 25.275541 | 28.069091 | 12.347298 | 48.856630 | 32.163352 | 36.316889 | 32.013589 | 8.636666 | 41.085319 | 42.163875 | 35.31268 | 32.944563 | 19.04548 | 36.004986 | 24.494148 | 30.107043 | 25.786671 | 19.254999 | 20.613589 | 21.2069701 | 33.574226 | 31.818307 | 15.007637 | 24.391910 | 37.675217 | 39.8562494 | 22.157015 | 20.817888 | 29.560758 | 27.3589706 | 20.550563 | 18.897378 | 35.298034 | 25.960644 | 26.211815 | 32.845860 | 46.212170 | 35.142889 | 37.186423 | 29.430618 | 18.552447 | 23.021013 | 26.584035 | 37.376046 | 17.724125 | 32.339479 | 17.9394153 | 51.5307695 | 34.190371 | 14.450877 | 31.489527 | 29.340021 | 22.892116 | 19.175898 | 28.562796 | 25.217248 | 43.9282611 | 28.387894 | 30.310590 | 17.925139 | 50.669365 |
| 86467 | 23.899311 | 41.262106 | 40.618098 | 19.437970 | 38.472910 | 32.364778 | 30.737141 | 28.996213 | 32.509682 | 26.386697 | 27.337573 | 22.059334 | 35.240542 | 30.825028 | 38.00850 | 25.069810 | 40.36303 | 11.767226 | 31.289316 | 35.308734 | 38.238515 | 18.900440 | 38.411145 | 45.0264850 | 30.048921 | 22.753466 | 10.106732 | 33.005901 | 22.550311 | 29.1374742 | 42.940296 | 18.837482 | 22.059203 | 30.7954485 | 42.833201 | 37.518619 | 31.430241 | 24.555047 | 11.663272 | 33.870346 | 43.859764 | 34.911380 | 31.753008 | 42.927604 | 27.329658 | 31.618239 | 30.409226 | 21.635416 | 44.919735 | 35.459485 | 32.4189294 | 24.9750864 | 27.176629 | 41.637414 | 38.592015 | 35.852413 | 31.285383 | 25.478031 | 26.694137 | 34.023935 | 33.4031356 | 31.560891 | 24.941917 | 32.528596 | 29.311650 |
| 75346 | 10.470163 | 30.430174 | 24.311418 | 19.210049 | 31.788953 | 33.034721 | 32.008106 | 19.311686 | 33.498823 | 26.426696 | 32.308037 | 32.204400 | 29.018723 | 27.972717 | 26.81075 | 36.622786 | 28.33175 | 28.740478 | 33.179524 | 39.135097 | 28.886080 | 26.756269 | 14.244282 | 32.5126147 | 25.524584 | 22.040142 | 32.913885 | 28.055778 | 37.184926 | 36.2963670 | 16.305937 | 35.724987 | 27.544496 | 22.1255396 | 30.402621 | 36.393993 | 30.782985 | 52.615061 | 30.898809 | 39.339234 | 13.187289 | 20.482826 | 26.935182 | 45.211493 | 18.908574 | 30.499550 | 28.127656 | 24.860130 | 32.841695 | 37.112322 | 27.7282163 | 43.0169683 | 27.546350 | 26.363521 | 25.872309 | 26.204195 | 17.388579 | 36.080875 | 11.183476 | 31.596784 | 18.4821740 | 19.882081 | 31.580078 | 24.084403 | 33.503712 |
| 80838 | 18.517742 | 35.912731 | 32.943024 | 36.947934 | 22.886624 | 25.663157 | 19.931463 | 33.364448 | 23.892100 | 30.502015 | 24.819527 | 32.375115 | 34.361015 | 28.348959 | 26.63933 | 35.239279 | 27.79615 | 45.908480 | 38.440405 | 23.399037 | 37.745679 | 32.086848 | 19.084289 | 37.2996646 | 39.287771 | 28.219347 | 41.665030 | 20.938208 | 18.322547 | 35.8328828 | 32.306939 | 31.146916 | 18.530267 | 0.7496781 | 19.618380 | 15.586590 | 37.221795 | 34.353763 | 22.074513 | 29.175179 | 36.910555 | 31.966282 | 20.361987 | 28.625270 | 27.714208 | 29.183832 | 24.171396 | 25.166427 | 40.437071 | 37.140795 | 28.0231181 | 34.8109018 | 25.067806 | 47.912874 | 28.193214 | 36.133763 | 26.965882 | 13.777392 | 47.984061 | 30.600777 | 39.1809935 | 34.857419 | 19.559934 | 12.740316 | 49.289354 |
| 36011 | 32.479300 | 29.350034 | 24.394512 | 21.964673 | 19.653842 | 45.612995 | 23.491405 | 30.937362 | 28.572025 | 27.037025 | 28.356689 | 34.178040 | 20.060313 | 19.365784 | 21.78180 | 41.780534 | 26.67527 | 29.981307 | 31.353589 | 49.738460 | 25.269786 | 22.476128 | 33.256334 | 27.4205804 | 33.089521 | 27.266282 | 39.651337 | 11.302058 | 33.727891 | 23.2696043 | 29.316849 | 23.798401 | 40.752687 | 45.1975096 | 25.609481 | 27.400124 | 32.478122 | 13.495606 | 35.278631 | 21.537173 | 41.478195 | 31.473694 | 43.678896 | 37.363350 | 28.684186 | 31.286930 | 47.565553 | 27.302574 | 24.976900 | 32.020865 | 38.4182514 | 18.1232090 | 19.219093 | 19.027407 | 23.556017 | 25.595288 | 29.809994 | 35.755680 | 37.405958 | 24.976140 | 46.1526821 | 35.636445 | 24.355969 | 24.840105 | 20.258477 |
| 50088 | 32.392339 | 25.125628 | 59.587184 | 16.343496 | 33.922440 | 26.058742 | 36.358190 | 24.829429 | 42.241414 | 32.606799 | 32.923642 | 29.080453 | 29.046576 | 25.845219 | 30.85322 | 37.602861 | 31.07945 | 34.351052 | 38.619013 | 26.798776 | 31.145927 | 28.864924 | 35.375298 | 25.4174205 | 33.837580 | 28.993592 | 23.325650 | 43.702701 | 37.669318 | 16.2980545 | 32.574833 | 43.838328 | 23.814287 | 39.6275624 | 24.053918 | 14.297726 | 22.093297 | 15.271891 | 22.152531 | 44.625922 | 28.134061 | 43.512009 | 26.443725 | 32.120516 | 19.742266 | 24.029437 | 29.596556 | 18.430929 | 16.735549 | 17.235565 | 35.8376053 | 35.1968742 | 30.757052 | 27.372680 | 19.242995 | 26.163314 | 31.249126 | 14.336759 | 20.653566 | 30.214274 | 29.2240293 | 27.679601 | 31.828901 | 29.319560 | 22.839884 |
| 85995 | 41.877212 | 32.446264 | 41.227562 | 51.535468 | 44.345644 | 26.335268 | 30.875356 | 31.289090 | 39.495536 | 21.394272 | 26.322086 | 30.719698 | 31.359720 | 19.818794 | 35.76667 | 43.376017 | 37.53771 | 36.132644 | 29.151779 | 31.101592 | 35.414000 | 22.006695 | 28.687990 | 31.8481070 | 27.775655 | 37.718419 | 45.459824 | 23.160432 | 25.984393 | 34.3092386 | 27.628923 | 29.523764 | 32.388877 | 33.0030805 | 41.004705 | 29.008559 | 27.653240 | 35.418159 | 20.877626 | 23.220531 | 39.360014 | 39.983507 | 13.371493 | 20.859647 | 34.942346 | 23.539779 | 29.879799 | 32.772334 | 36.178394 | 33.495126 | 22.3936616 | 31.7459084 | 32.831193 | 43.140341 | 38.344744 | 32.943500 | 35.792804 | 32.674272 | 47.325544 | 26.921380 | 41.0085468 | 33.995353 | 33.590583 | 24.748606 | 32.156588 |
| 66694 | 26.910840 | 34.029751 | 13.356958 | 24.105472 | 27.552406 | 17.569059 | 27.180161 | 32.417755 | 23.468099 | 33.417277 | 35.604362 | 34.834225 | 30.824564 | 44.124844 | 35.15837 | 26.252804 | 28.83513 | 22.735270 | 36.985268 | 29.540869 | 27.147292 | 25.773054 | 16.097712 | 36.1463353 | 47.159168 | 25.575275 | 18.496682 | 15.393058 | 38.425668 | 29.0427377 | 35.524371 | 33.553664 | 28.069026 | 19.1084948 | 34.619245 | 26.627881 | 36.658511 | 35.483210 | 32.716353 | 27.774455 | 18.919298 | 19.954451 | 23.575924 | 27.852698 | 36.791734 | 20.519971 | 26.357371 | 30.205363 | 28.938187 | 48.075241 | 23.3256349 | 41.2030702 | 22.959671 | 36.365382 | 30.059633 | 8.675811 | 20.523267 | 35.739410 | 39.409739 | 18.131454 | 19.5905813 | 35.282980 | 30.916988 | 27.207285 | 32.028940 |
| 42593 | 21.384031 | 39.237377 | 28.131033 | 27.801474 | 43.548865 | 31.770675 | 28.562548 | 22.529840 | 24.756865 | 25.584631 | 14.026258 | 27.796504 | 11.236395 | 19.526356 | 30.29193 | 24.604303 | 30.96831 | 34.033854 | 33.398610 | 10.528417 | 35.150816 | 29.444997 | 33.022004 | 38.1480046 | 31.735682 | 30.759647 | 35.088763 | 26.579877 | 5.773646 | 28.5514924 | 33.594662 | 26.653940 | 24.636108 | 3.2497547 | 34.382212 | 21.753751 | 29.746981 | 24.124659 | 9.289210 | 29.336328 | 14.738997 | 29.551029 | 20.599664 | 37.458114 | 35.637690 | 22.038077 | 21.357984 | 28.419430 | 46.708380 | 12.639496 | 40.5829004 | 34.4183509 | 21.200127 | 30.647485 | 40.404261 | 36.073992 | 27.563412 | 2.907340 | 36.746958 | 37.157125 | 18.6505349 | 20.197600 | 10.860227 | 4.069993 | 22.525694 |
| 80106 | 29.057659 | 21.711930 | 31.553937 | 41.528759 | 40.732326 | 45.603160 | 20.874342 | 16.095618 | 25.918747 | 21.332993 | 40.326099 | 19.970425 | 34.920365 | 25.123406 | 22.15298 | 49.451012 | 34.39149 | 26.041703 | 21.514074 | 31.930586 | 35.720883 | 37.490155 | 22.224362 | 24.6338569 | 35.514582 | 36.333295 | 35.802754 | 23.488749 | 24.405539 | 40.6596410 | 41.453195 | 42.219600 | 30.966477 | 35.5704134 | 22.908256 | 30.423871 | 33.284923 | 33.000206 | 33.656409 | 26.705705 | 33.759710 | 36.261358 | 27.253568 | 37.095924 | 36.660870 | 41.889678 | 33.907486 | 27.374702 | 42.230476 | 28.228543 | 40.3409862 | 29.9433432 | 35.304249 | 34.719293 | 20.891170 | 35.829548 | 40.111093 | 33.354058 | 29.223390 | 38.237183 | 36.2268390 | 34.472570 | 34.662367 | 35.131773 | 24.953218 |
| 90291 | 28.960692 | 29.730689 | 30.462727 | 31.380838 | 36.797950 | 35.304562 | 34.418234 | 26.757887 | 39.736889 | 33.112222 | 35.987360 | 15.583995 | 40.033784 | 21.756120 | 27.04351 | 32.664690 | 31.44620 | 36.197192 | 26.144478 | 22.489256 | 38.212541 | 31.758457 | 23.312045 | 38.4591478 | 38.933494 | 27.763368 | 38.672221 | 19.828402 | 27.731131 | 33.2457555 | 31.016623 | 40.629709 | 41.211982 | 19.8241674 | 39.520361 | 35.124910 | 29.506471 | 33.883311 | 35.518427 | 53.875816 | 26.751406 | 37.312713 | 36.893032 | 23.724107 | 30.318464 | 50.787736 | 29.032797 | 24.173537 | 29.155913 | 22.076539 | 34.6862101 | 42.0113178 | 40.020030 | 38.873994 | 42.392026 | 27.554924 | 29.636780 | 33.391685 | 13.839792 | 14.237577 | 30.6431271 | 43.989279 | 39.860250 | 23.881602 | 18.915830 |
| 53404 | 20.113502 | 20.544028 | 31.589403 | 31.326610 | 24.295282 | 25.343628 | 41.242110 | 34.504085 | 21.336198 | 40.669062 | 23.535660 | 7.862566 | 36.214245 | 28.682293 | 32.91884 | 26.191680 | 22.34323 | 32.350983 | 43.040342 | 21.662470 | 27.382006 | 14.030795 | 32.988344 | 32.3686458 | 14.416733 | 20.967706 | 27.878892 | 33.947046 | 12.729143 | 24.1587352 | 19.975499 | 15.628461 | 31.034646 | 38.4588538 | 28.345934 | 29.697820 | 28.771968 | 13.576319 | 31.662080 | 34.779848 | 19.181396 | 22.023885 | 29.143939 | 25.518607 | 28.333527 | 44.445680 | 22.836053 | 16.325167 | 30.209955 | 29.562615 | 31.1269218 | 34.6988441 | 24.252083 | 22.398190 | 32.361544 | 14.641022 | 38.767405 | 29.816796 | 26.555346 | 28.782407 | 16.7451873 | 14.815627 | 20.519025 | 24.384019 | 40.443391 |
| 24253 | 29.696881 | 41.776512 | 22.232237 | 35.113774 | 37.253378 | 35.128574 | 20.897328 | 10.215507 | 39.496441 | 20.763735 | 15.097086 | 27.957606 | 31.875151 | 16.389467 | 30.24959 | 31.809147 | 19.95496 | 4.088523 | 17.586303 | 32.526606 | 20.218283 | 31.535519 | 26.931220 | 28.3754117 | 24.193221 | 39.973899 | 41.543695 | 27.966669 | 38.758759 | 16.4881049 | 32.731225 | 38.938234 | 30.653647 | 38.4727200 | 18.287708 | 39.989522 | 25.842211 | 37.272671 | 34.582886 | 36.437329 | 23.620582 | 24.929350 | 36.253991 | 30.497101 | 39.102317 | 15.717982 | 42.413000 | 30.883472 | 25.553287 | 15.192629 | 23.6661937 | 23.5535274 | 32.652574 | 42.450134 | 25.998905 | 14.572770 | 25.260812 | 37.987966 | 20.805962 | 38.695822 | 26.6090546 | 26.040763 | 39.506628 | 26.734943 | 21.993509 |
| 38070 | 30.402203 | 26.582544 | 30.951973 | 39.418156 | 21.695425 | 31.640986 | 26.157941 | 44.235886 | 22.926585 | 47.324430 | 38.454396 | 56.414377 | 54.060144 | 23.187202 | 35.75943 | 34.792283 | 14.93121 | 29.470792 | 34.629454 | 48.836642 | 28.317556 | 24.083440 | 32.245846 | 31.3260881 | 23.418250 | 32.471008 | 37.324430 | 26.398571 | 45.448659 | 48.2232410 | 38.465552 | 38.621351 | 34.466416 | 32.6493238 | 23.599016 | 34.652272 | 35.142731 | 11.191294 | 29.033509 | 34.301984 | 20.025463 | 3.001750 | 29.259409 | 34.099043 | 40.021701 | 23.629292 | 28.258388 | 40.194374 | 30.067608 | 31.922843 | 22.0939378 | 32.9056581 | 22.315083 | 28.968888 | 21.871218 | 25.459640 | 34.203515 | 35.800399 | 43.537572 | 34.703535 | 18.5400181 | 29.972637 | 40.920867 | 20.353679 | 43.612727 |
| 32302 | 18.878845 | 25.517707 | 30.868537 | 30.501939 | 30.245250 | 32.080988 | 33.182584 | 22.620486 | 34.619183 | 25.157176 | 22.341747 | 25.255376 | 28.725639 | 38.220102 | 16.05936 | 24.429630 | 22.57329 | 29.833344 | 32.484633 | 26.873585 | 18.308753 | 20.231476 | 35.282190 | 19.5073461 | 38.372405 | 20.477592 | 29.238656 | 42.780900 | 17.390989 | 30.9096171 | 19.394418 | 15.026857 | 20.445252 | 34.1262804 | 29.724306 | 24.004014 | 29.348285 | 18.017994 | 21.165754 | 32.276699 | 40.103537 | 39.036948 | 32.640048 | 28.658050 | 29.006481 | 23.168218 | 28.578947 | 25.823305 | 22.319729 | 36.958782 | 18.8419061 | 32.7131443 | 27.736626 | 28.289563 | 31.365982 | 25.870466 | 12.630952 | 34.519921 | 44.725593 | 18.297540 | 44.6132885 | 27.595473 | 31.363453 | 27.146733 | 27.411611 |
| 40566 | 23.879212 | 37.328430 | 29.063617 | 17.506300 | 30.391714 | 35.874917 | 49.008673 | 39.494038 | 16.853993 | 25.664898 | 15.911502 | 32.528235 | 30.690516 | 19.051915 | 28.89570 | 18.666794 | 25.44019 | 15.906430 | 39.633302 | 39.505933 | 39.505383 | 14.145630 | 30.688857 | 37.1758032 | 24.980100 | 35.881321 | 32.609473 | 23.578353 | 33.455537 | 20.2754153 | 41.827636 | 46.645178 | 21.770172 | 38.0909296 | 24.718993 | 35.746855 | 40.973286 | 32.488968 | 19.232404 | 26.605508 | 40.569453 | 41.491154 | 38.374290 | 33.113616 | 32.546094 | 28.318584 | 30.609420 | 38.832929 | 36.118827 | 24.656786 | 28.2875188 | 21.4748241 | 25.452680 | 51.834676 | 40.308064 | 31.392230 | 28.106717 | 25.235359 | 21.234443 | 29.876012 | 34.8115769 | 27.746562 | 30.839239 | 19.021165 | 27.591706 |
| 72037 | 21.593426 | 24.451724 | 32.375459 | 21.162033 | 16.766812 | 23.889500 | 25.239677 | 30.216554 | 31.345924 | 25.503013 | 24.399927 | 45.161255 | 31.293837 | 29.450676 | 40.78857 | 17.166784 | 31.16501 | 28.689205 | 20.747149 | 32.955016 | 19.216725 | 33.703195 | 34.363890 | 17.0317026 | 23.051683 | 25.391889 | 26.934349 | 39.036680 | 41.278641 | 38.5483248 | 28.517061 | 42.521043 | 24.368611 | 28.4350444 | 23.681798 | 28.072112 | 20.868957 | 25.467813 | 29.916884 | 27.030266 | 33.192393 | 46.720007 | 35.126957 | 34.487375 | 48.301563 | 29.981803 | 14.071414 | 40.770110 | 15.736309 | 28.659251 | 14.2705619 | 34.8541802 | 33.065258 | 17.702891 | 20.265344 | 27.135958 | 27.821296 | 22.925458 | 35.609961 | 21.110960 | 37.0353123 | 39.518312 | 35.244944 | 31.874320 | 36.143438 |
| 62064 | 31.382185 | 30.800982 | 37.398981 | 23.416826 | 36.314265 | 31.180919 | 38.042747 | 43.330752 | 45.921573 | 31.251572 | 32.069917 | 27.103787 | 40.243411 | 40.494864 | 31.11794 | 36.795283 | 45.48840 | 32.948690 | 32.766899 | 22.885521 | 49.121343 | 33.597950 | 35.506643 | 47.3008554 | 55.310200 | 30.852250 | 35.891789 | 34.954304 | 44.392804 | 29.3946039 | 38.876801 | 38.865035 | 16.806991 | 25.3000837 | 39.735354 | 16.843664 | 24.797327 | 41.437114 | 31.609708 | 31.369093 | 32.241595 | 29.647339 | 22.367760 | 52.953696 | 14.587341 | 13.703150 | 15.452836 | 31.113345 | 44.069142 | 27.612157 | 20.6502733 | 34.1358570 | 47.672485 | 44.039125 | 51.525314 | 37.082672 | 33.886741 | 28.946430 | 37.120059 | 32.379570 | 32.1584966 | 27.766316 | 30.801948 | 27.597505 | 28.433794 |
| 71225 | 14.126202 | 41.806751 | 18.908478 | 27.194224 | 41.518253 | 33.704330 | 26.944310 | 29.835793 | 23.814206 | 44.268408 | 22.713312 | 22.163361 | 37.450241 | 24.935235 | 37.81332 | 2.877683 | 36.71907 | 26.655043 | 33.353625 | 21.644962 | 44.616987 | 33.977212 | 35.365088 | 38.2766713 | 27.368780 | 21.052598 | 33.143594 | 42.019162 | 31.515688 | 36.7260041 | 24.886120 | 34.286525 | 25.268516 | 26.9249155 | 30.938111 | 22.767276 | 32.682296 | 44.023329 | 14.541091 | 25.725340 | 26.165685 | 19.951505 | 24.328319 | 28.383329 | 26.363017 | 23.532444 | 45.162555 | 41.200921 | 26.657629 | 30.571020 | 34.9692549 | 24.5625934 | 26.160136 | 39.013223 | 31.178510 | 40.894646 | 21.987100 | 40.278430 | 14.522726 | 31.951177 | 29.3885524 | 21.961122 | 34.620802 | 17.280402 | 27.067081 |
| 85606 | 47.769886 | 30.713408 | 30.173679 | 16.160574 | 37.084465 | 42.506313 | 49.774819 | 33.423957 | 33.810289 | 20.183078 | 43.018248 | 34.286170 | 32.907778 | 26.783825 | 13.96820 | 44.283529 | 39.12584 | 23.146620 | 27.579969 | 21.567999 | 38.012178 | 24.006604 | 28.940555 | 37.0448063 | 33.984452 | 25.020134 | 19.653961 | 28.507179 | 38.562754 | 10.5964254 | 29.715522 | 40.128490 | 30.935992 | 43.1264177 | 39.687909 | 42.939748 | 18.958659 | 21.397468 | 40.613891 | 34.291195 | 27.533239 | 21.924527 | 28.545493 | 35.765423 | 45.378449 | 30.901661 | 37.170947 | 29.190442 | 33.235038 | 6.471794 | 21.4457425 | 16.4750725 | 42.245137 | 35.459131 | 29.133346 | 23.506987 | 38.004608 | 40.702993 | 14.347537 | 41.207686 | 32.2328274 | 41.039285 | 32.730191 | 31.432026 | 27.151533 |
| 64548 | 37.567838 | 22.356143 | 34.793018 | 16.673106 | 18.890898 | 34.327230 | 31.907149 | 25.944836 | 25.676867 | 32.534226 | 31.801018 | 19.527881 | 39.095833 | 24.292655 | 42.65229 | 37.021394 | 41.17836 | 52.779661 | 25.722068 | 33.195272 | 31.839669 | 38.952005 | 30.140043 | 34.9264125 | 29.669347 | 17.960254 | 36.851384 | 33.349314 | 27.603790 | 44.7286513 | 28.627779 | 25.261472 | 29.130877 | 25.7370313 | 23.607618 | 48.423326 | 30.330334 | 27.130667 | 44.111699 | 28.426229 | 40.525730 | 30.328248 | 36.235761 | 37.642200 | 40.288098 | 38.349543 | 26.640093 | 22.323334 | 29.526787 | 35.131692 | 16.5625031 | 32.3468501 | 32.930333 | 21.867367 | 22.138473 | 18.681339 | 29.080965 | 38.291488 | 47.351212 | 10.557611 | 47.1474162 | 37.358039 | 40.943530 | 28.117026 | 41.809531 |
| 77402 | 48.872171 | 20.080270 | 32.075591 | 37.395408 | 17.500995 | 35.806821 | 23.818692 | 38.717343 | 31.046903 | 35.999090 | 45.082242 | 10.412658 | 45.893772 | 35.209897 | 45.18582 | 38.775427 | 25.34901 | 30.177910 | 44.185159 | 32.968203 | 13.717581 | 24.589211 | 31.128776 | 0.0344242 | 7.774395 | 17.042617 | 16.005362 | 30.774457 | 27.630500 | 51.7229102 | 17.579822 | 27.828310 | 32.141457 | 31.7385718 | 31.223459 | 41.014934 | 32.717781 | 0.780671 | 29.877865 | 28.061293 | 32.022803 | 41.129378 | 31.026475 | 24.002638 | 22.710304 | 24.596058 | 51.214648 | 28.155393 | 12.916182 | 34.789587 | -0.9755955 | 50.1091953 | 43.551158 | 28.048842 | 14.705851 | 11.340424 | 40.072141 | 34.499405 | 43.637462 | 6.184133 | 36.9758348 | 49.039568 | 35.631434 | 39.442135 | 42.055045 |
| 54787 | 29.212622 | 33.083288 | 17.792551 | 34.176038 | 18.853959 | 34.300427 | 29.998474 | 22.452856 | 18.317361 | 37.272557 | 36.413343 | 27.587110 | 35.002698 | 27.083902 | 38.36771 | 27.201380 | 33.86303 | 36.054039 | 38.922550 | 39.572908 | 35.471841 | 18.153306 | 27.729155 | 24.0837728 | 28.154820 | 23.135912 | 35.323928 | 26.805978 | 19.044902 | 32.3923189 | 22.125468 | 28.765349 | 47.250499 | 43.6365363 | 24.524184 | 29.317090 | 33.905657 | 27.851623 | 24.410878 | 21.363269 | 8.156849 | 39.688953 | 35.378811 | 34.519962 | 23.654629 | 17.593265 | 29.296601 | 33.939690 | 40.542535 | 33.537712 | 32.5131626 | 30.0724668 | 36.050426 | 32.709265 | 33.344396 | 36.071968 | 27.669606 | 23.903291 | 25.201163 | 37.260828 | 3.1311357 | 33.749565 | 22.117875 | 17.139675 | 31.819511 |
| 91731 | 30.863069 | 17.427735 | 25.882625 | 50.514695 | 29.893741 | 30.493511 | 32.005831 | 26.217317 | 27.049508 | 38.439657 | 24.377912 | 23.550165 | 33.844597 | 29.870537 | 31.48524 | 28.188658 | 24.60255 | 34.087914 | 36.313769 | 20.432335 | 26.938168 | 24.651770 | 40.171454 | 37.4667126 | 39.013556 | 9.705537 | 33.799347 | 28.539258 | 19.048151 | 34.3651624 | 39.938152 | 24.336287 | 20.853457 | 31.2185744 | 55.272729 | 29.227626 | 30.173641 | 35.434184 | 24.842659 | 24.483113 | 25.736959 | 18.126778 | 30.254179 | 15.105245 | 21.185044 | 23.508685 | 23.564498 | 18.420694 | 30.034704 | 28.348105 | 40.7302863 | 37.9447280 | 26.471980 | 45.671084 | 32.321073 | 32.941284 | 37.791499 | 38.139528 | 30.070751 | 37.462926 | 29.9980995 | 38.329305 | 39.234693 | 37.152831 | 41.225960 |
| 79385 | 30.277140 | 38.622270 | 30.651096 | 39.022696 | 38.022299 | 50.829934 | 21.588787 | 46.272747 | 36.850242 | 32.668559 | 16.149822 | 31.734634 | 39.169015 | 29.731352 | 51.38295 | 20.732986 | 25.88430 | 47.054670 | 31.971738 | 27.608501 | 40.255541 | 30.528194 | 39.693066 | 34.7589245 | 35.240233 | 31.412852 | 22.842539 | 33.708351 | 35.305749 | 46.4266262 | 30.650320 | 22.006149 | 25.803395 | 17.6786144 | 37.111388 | 30.630211 | 52.538916 | 35.163949 | 33.609734 | 22.047496 | 30.283819 | 29.466436 | 26.322906 | 27.596391 | 29.861845 | 30.128332 | 26.203840 | 29.752083 | 37.699754 | 42.892596 | 41.6737936 | 48.1959286 | 27.131603 | 28.417897 | 37.075852 | 43.850806 | 32.065033 | 15.047030 | 45.824385 | 34.689585 | 30.2661937 | 29.731049 | 30.009484 | 33.532652 | 33.717848 |
| 53203 | 37.319065 | 33.946419 | 24.127445 | 39.519785 | 32.266304 | 39.621162 | 28.758452 | 33.567208 | 31.815026 | 23.608940 | 38.642641 | 23.676340 | 29.814234 | 34.875010 | 14.33130 | 33.058689 | 57.73939 | 25.677882 | 24.088820 | 19.529475 | 29.522732 | 23.204518 | 25.082850 | 31.0096511 | 34.738397 | 19.419047 | 10.555824 | 25.368603 | 14.956972 | 23.8323380 | 27.898099 | 24.466491 | 21.235716 | 28.7083423 | 30.537140 | 15.545968 | 37.302239 | 47.006567 | 23.138075 | 38.122561 | 29.766248 | 10.275185 | 20.775035 | 32.524430 | 15.476649 | 33.305734 | 26.460810 | 16.662611 | 15.414282 | 27.288776 | 34.6674411 | 38.8040162 | 25.304999 | 29.998078 | 40.436203 | 33.847707 | 41.360860 | 25.989983 | 30.257035 | 31.269330 | 25.5844421 | 22.721749 | 23.829589 | 25.451106 | 37.710698 |
| 92613 | 35.894596 | 20.866044 | 37.423351 | 33.968641 | 17.658620 | 41.100405 | 36.759705 | 35.248928 | 41.534252 | 16.836441 | 25.698976 | 35.718379 | 37.818258 | 40.176338 | 40.18058 | 30.364388 | 26.37784 | 27.900806 | 16.871285 | 43.679267 | 9.146873 | 31.911002 | 35.111742 | 29.5016736 | 19.938546 | 23.509544 | 29.275430 | 27.440641 | 31.891311 | 28.8444788 | 25.966025 | 29.155946 | 20.447982 | 27.5842712 | 13.882527 | 47.348000 | 27.330005 | 11.875722 | 32.361417 | 24.837909 | 39.104398 | 33.437927 | 44.266584 | 44.191869 | 26.257248 | 38.937781 | 44.012611 | 35.182048 | 12.331721 | 41.845690 | 26.7502343 | 26.6738317 | 39.486200 | 32.586104 | 19.485345 | 31.674507 | 36.453830 | 41.140369 | 28.386972 | 12.999066 | 44.4054537 | 39.985485 | 36.681077 | 37.471732 | 29.127608 |
| 31239 | 35.414477 | 31.163911 | 23.428270 | 28.486783 | 34.392288 | 30.493328 | 34.384040 | 31.113162 | 28.470036 | 29.252484 | 20.633637 | 40.664405 | 32.420194 | 46.745582 | 28.49596 | 27.310661 | 48.57532 | 37.756769 | 46.949370 | 30.288111 | 35.446086 | 36.032304 | 34.501329 | 41.8535812 | 23.243467 | 27.695145 | 36.217513 | 42.269277 | 36.414081 | 30.3148262 | 33.024678 | 44.221745 | 32.229157 | 31.2362722 | 34.019351 | 24.466586 | 36.819629 | 32.764357 | 27.457003 | 29.879977 | 24.805354 | 35.919446 | 19.580242 | 30.417914 | 41.629552 | 14.080013 | 13.349538 | 29.610251 | 36.798317 | 35.476914 | 34.4806240 | 34.8472813 | 21.518394 | 42.395939 | 33.107764 | 24.700778 | 31.466203 | 42.902610 | 37.353169 | 37.258294 | 32.5530164 | 26.439941 | 30.178753 | 29.950460 | 16.660123 |
| 58267 | 29.981975 | 34.727350 | 25.662031 | 20.229904 | 33.132990 | 33.836694 | 43.399153 | 26.107395 | 41.700976 | 22.236826 | 31.018222 | 23.603696 | 16.407059 | 28.433300 | 19.12581 | 26.349936 | 40.13115 | 21.352469 | 16.307302 | 28.557631 | 39.664230 | 36.501412 | 29.062596 | 38.8421864 | 47.784256 | 43.344753 | 36.815355 | 40.805403 | 43.605181 | 20.1482017 | 38.749505 | 27.980877 | 21.495623 | 19.0467616 | 22.166262 | 21.815392 | 19.688880 | 40.452504 | 21.675441 | 30.952429 | 17.001638 | 22.613279 | 27.768988 | 35.745880 | 39.051936 | 21.059523 | 20.096075 | 32.146942 | 54.273817 | 23.471334 | 46.2555032 | 24.0144086 | 38.169435 | 47.922981 | 39.611233 | 46.727710 | 20.932799 | 22.599069 | 29.149183 | 23.030967 | 27.7049602 | 10.516473 | 16.932374 | 32.962286 | 30.101245 |
| 81459 | 13.987517 | 31.290770 | 42.110370 | 41.094066 | 30.919840 | 25.958657 | 26.438541 | 41.380574 | 22.801886 | 27.772787 | 30.889625 | 25.125393 | 45.843518 | 38.770680 | 29.07153 | 32.242335 | 33.03637 | 38.730241 | 30.641823 | 25.479015 | 16.491939 | 31.062666 | 40.522378 | 42.3121544 | 28.757724 | 26.250835 | 32.682540 | 38.028592 | 30.958567 | 27.8599463 | 27.642470 | 36.842642 | 38.796893 | 38.2201476 | 27.444924 | 38.163765 | 33.114671 | 27.617989 | 26.741434 | 28.300547 | 20.110440 | 46.388716 | 23.758670 | 26.192340 | 16.661543 | 9.338705 | 33.463139 | 14.846102 | 29.953009 | 30.907299 | 40.7076666 | 36.7199876 | 20.903309 | 27.368515 | 43.186586 | 43.211056 | 38.487571 | 37.836875 | 30.152780 | 29.959731 | 22.0117891 | 33.368710 | 32.515971 | 31.382280 | 40.031464 |
| 47350 | 39.256413 | 31.072152 | 19.974138 | 38.192570 | 18.902097 | 28.105683 | 44.433901 | 42.132542 | 37.008732 | 27.660981 | 46.132213 | 25.752751 | 31.195097 | 44.109644 | 20.13809 | 45.358811 | 30.99269 | 21.835710 | 25.567530 | 31.360751 | 13.030928 | 49.405876 | 50.750137 | 13.7896340 | 34.964872 | 26.129567 | 10.058135 | 33.183194 | 28.583902 | 41.6367115 | 29.967300 | 12.774813 | 44.611863 | 28.2911534 | 19.430939 | 24.231230 | 35.668521 | 9.180423 | 37.371802 | 27.971892 | 23.425129 | 42.085067 | 37.512886 | 34.537593 | 13.063298 | 21.977954 | 25.778557 | 16.771167 | 17.819554 | 30.864734 | 17.1975297 | 33.7021228 | 28.193430 | 32.454770 | 39.957952 | 22.459627 | 34.803399 | 32.618249 | 48.950752 | 24.571210 | 16.6875185 | 9.619190 | 40.919502 | 36.123119 | 41.611078 |
| 61227 | 24.686802 | 25.740495 | 35.722645 | 34.461742 | 30.601709 | 37.488208 | 43.895787 | 29.743120 | 51.797903 | 26.301376 | 35.838921 | 31.884251 | 29.635650 | 41.175768 | 26.51204 | 37.254442 | 45.00582 | 31.611754 | 34.854783 | 40.495224 | 16.162679 | 20.602529 | 24.449255 | 26.7172809 | 24.329324 | 24.359733 | 25.985984 | 28.258321 | 26.286836 | 28.8664536 | 33.206915 | 38.003358 | 32.646849 | 44.7564914 | 24.499127 | 42.449394 | 29.518983 | 20.756147 | 41.488202 | 26.297974 | 34.419580 | 20.514664 | 46.000776 | 26.827071 | 23.595260 | 34.467450 | 36.873474 | 15.158199 | 19.644284 | 36.013962 | 27.7917581 | 49.9987966 | 31.188869 | 22.169100 | 32.018218 | 20.652494 | 48.726654 | 36.220394 | 26.312694 | 30.330610 | 31.7405437 | 29.552540 | 42.750841 | 46.088155 | 47.380620 |
| 48791 | 25.558055 | 21.760531 | 39.613042 | 30.665170 | 44.116238 | 20.666584 | 42.745910 | 31.139073 | 37.386785 | 37.014990 | 19.531604 | 32.960125 | 17.289469 | 34.552405 | 33.50962 | 22.728161 | 27.07776 | 32.626542 | 30.586283 | 28.352110 | 16.614360 | 33.416735 | 34.377310 | 21.2088510 | 36.534212 | 40.227950 | 32.120593 | 41.541798 | 27.932597 | 22.0862692 | 24.735875 | 22.824766 | 32.898083 | 30.7320945 | 43.876812 | 26.442958 | 9.800372 | 27.362637 | 22.584094 | 49.347144 | 34.016832 | 43.296109 | 25.162215 | 51.942082 | 16.082376 | 32.020598 | 26.024748 | 33.065787 | 31.963838 | 32.219869 | 27.0784099 | 35.5991656 | 29.102558 | 36.682345 | 39.236808 | 25.962943 | 32.065420 | 23.352546 | 28.687887 | 18.083650 | 28.8139028 | 38.059213 | 21.655604 | 23.769429 | 32.085705 |
| 73964 | 43.670823 | 27.776996 | 28.189551 | 45.214088 | 20.091618 | 17.427106 | 25.606087 | 34.403263 | 31.150139 | 38.484103 | 23.163080 | 29.295109 | 50.510841 | 39.697862 | 31.03630 | 23.716416 | 18.43854 | 42.311156 | 41.468848 | 20.475405 | 17.207666 | 29.591603 | 33.806944 | 10.0825016 | 24.376389 | 38.954395 | 38.894617 | 44.209969 | 35.630988 | 30.6381187 | 13.927186 | 37.281430 | 35.379914 | 31.7098983 | 25.118828 | 23.198144 | 42.357622 | 11.814815 | 25.953022 | 33.389999 | 34.654736 | 25.019013 | 18.183748 | 35.331869 | 23.763289 | 34.887468 | 32.119829 | 31.365662 | 24.116196 | 29.893188 | 15.6151866 | 54.9395001 | 35.526173 | 26.917970 | 16.802308 | 4.306387 | 35.413395 | 35.400581 | 41.439422 | 28.361702 | 31.5436915 | 16.843833 | 34.271511 | 29.525699 | 42.431772 |
| 64571 | 35.072319 | 41.941692 | 24.719524 | 25.328762 | 23.646072 | 33.161860 | 21.932276 | 23.408811 | 27.907023 | 23.211197 | 31.125847 | 26.244472 | 24.874138 | 15.636836 | 25.03301 | 25.488016 | 33.51936 | 35.734279 | 24.844947 | 38.245524 | 39.521611 | 30.541353 | 39.467120 | 41.5104643 | 39.064440 | 20.610689 | 40.094816 | 28.471186 | 28.241229 | 26.3602076 | 48.009278 | 25.767215 | 34.230209 | 42.1656421 | 33.331334 | 29.010386 | 32.836238 | 32.774774 | 31.997196 | 32.771817 | 31.345164 | 26.615708 | 31.202668 | 43.759643 | 31.218507 | 38.151789 | 33.973777 | 32.268977 | 29.197557 | 34.385404 | 38.5618105 | 39.4994024 | 32.350625 | 22.895419 | 42.219595 | 36.081771 | 40.774481 | 35.798724 | 40.313704 | 34.695785 | 29.7550174 | 38.057876 | 49.991411 | 38.848718 | 34.059492 |
| 41279 | 36.658360 | 29.821200 | 31.124935 | 23.561589 | 34.870526 | 34.694955 | 30.993908 | 40.807757 | 13.833176 | 28.889328 | 13.526540 | 40.326018 | 34.132247 | 13.364133 | 35.03910 | 26.703230 | 31.93786 | 36.983190 | 19.811147 | 27.451057 | 33.792789 | 23.766858 | 45.336432 | 30.5862058 | 19.199455 | 45.702211 | 25.252983 | 27.356350 | 29.064321 | 31.6455327 | 32.936328 | 24.650996 | 28.602979 | 25.5237406 | 32.280940 | 39.280607 | 24.866561 | 35.051150 | 24.913325 | 24.636531 | 19.544314 | 29.289523 | 32.923963 | 34.285800 | 25.472499 | 42.011664 | 30.826999 | 33.629455 | 24.924279 | 33.358820 | 34.2178604 | 21.4362042 | 31.493805 | 28.322480 | 43.672001 | 32.985917 | 30.896070 | 25.521169 | 21.073167 | 23.215768 | 21.1609223 | 18.734256 | 36.967819 | 25.096606 | 34.619443 |
| 43858 | 39.244979 | 33.490156 | 26.896236 | 26.688999 | 49.637222 | 44.303261 | 39.525232 | 30.127273 | 26.202260 | 33.769752 | 44.847106 | 38.447490 | 32.416777 | 21.555990 | 22.23804 | 30.475092 | 42.11439 | 30.924450 | 28.339462 | 33.805081 | 41.935517 | 22.704319 | 30.280282 | 39.3471882 | 20.310107 | 37.441890 | 40.462384 | 35.454841 | 46.329723 | 29.1060540 | 42.361131 | 37.969073 | 26.895503 | 32.2996750 | 45.087729 | 44.668759 | 32.955035 | 39.110180 | 48.392134 | 38.160711 | 22.351247 | 45.496154 | 35.126199 | 42.027140 | 29.736473 | 36.278691 | 36.326814 | 49.496503 | 44.748915 | 17.423367 | 36.9634856 | 18.6439034 | 41.475671 | 37.943441 | 46.342968 | 35.523081 | 33.125402 | 26.431470 | 35.480975 | 31.048145 | 28.1338879 | 28.300740 | 39.217178 | 56.588206 | 13.032167 |
| 88235 | 30.711051 | 36.336519 | 27.219317 | 29.702596 | 20.871098 | 21.968230 | 18.014072 | 23.811178 | 19.247128 | 32.836022 | 41.198530 | 38.754605 | 14.119992 | 18.455017 | 26.04324 | 27.549006 | 33.32229 | 20.650126 | 25.005714 | 28.278386 | 11.611684 | 32.791784 | 37.554892 | 17.1126591 | 20.703596 | 44.235086 | 28.232837 | 33.302628 | 40.097539 | 28.3344835 | 40.598094 | 33.077812 | 25.087493 | 38.0906857 | 24.102461 | 26.263548 | 16.270805 | 34.451386 | 36.931245 | 40.494977 | 30.424463 | 25.934238 | 33.622952 | 25.421597 | 42.866476 | 30.022824 | 35.490602 | 27.466073 | 21.990313 | 38.539179 | 22.5888576 | 0.1527462 | 37.680591 | 17.793210 | 21.839147 | 32.024547 | 42.948457 | 20.148009 | 28.199732 | 22.746846 | 42.7309474 | 41.110213 | 31.973733 | 27.858283 | 12.847684 |
| 55531 | 43.027727 | 21.935951 | 36.317014 | 24.922142 | 33.908723 | 23.365260 | 36.058290 | 27.359269 | 34.404498 | 29.695414 | 49.498237 | 6.688385 | 27.669418 | 37.107632 | 31.84153 | 33.150365 | 38.15335 | 18.911831 | 33.658016 | 24.666522 | 39.313646 | 27.150421 | 38.235548 | 32.6704522 | 28.713207 | 15.693530 | 34.176462 | 43.371598 | 25.413082 | 23.3974173 | 19.260706 | 22.159192 | 24.304568 | 32.5769100 | 25.129008 | 18.938347 | 18.315549 | 31.889009 | 23.345616 | 24.573370 | 30.660500 | 33.261719 | 31.668852 | 35.904465 | 39.309164 | 30.690653 | 33.314089 | 13.639791 | 25.828407 | 30.461001 | 29.6873193 | 17.5291928 | 25.470142 | 48.998516 | 35.067382 | 45.065060 | 42.377140 | 44.851199 | 13.790052 | 30.078659 | 25.1761670 | 25.042124 | 47.556532 | 26.632450 | 25.998797 |
| 50169 | 29.455413 | 38.273894 | 47.889913 | 29.273215 | 30.875560 | 39.003762 | 31.580018 | 35.822247 | 40.717780 | 28.847003 | 39.304190 | 24.917916 | 36.142432 | 34.041208 | 37.10389 | 26.125852 | 17.76420 | 32.518413 | 38.121549 | 31.186533 | 19.308700 | 41.962457 | 45.218005 | 12.5757376 | 13.564022 | 35.973866 | 38.090427 | 35.150839 | 31.431529 | 38.9986937 | 34.279385 | 30.131957 | 28.576655 | 33.6835482 | 23.851390 | 27.124030 | 22.085892 | 34.293894 | 26.342578 | 41.401438 | 29.144655 | 52.903547 | 39.627127 | 33.900161 | 34.271137 | 31.033987 | 40.902754 | 32.632416 | 19.681459 | 29.282588 | 14.4833553 | 37.6805674 | 39.803234 | 23.150078 | 22.665047 | 45.760703 | 22.103734 | 43.175047 | 49.058228 | 33.490482 | 25.2384862 | 29.141277 | 31.937762 | 39.570504 | 35.820213 |
| 48483 | 29.469142 | 28.858802 | 25.356425 | 37.071644 | 33.896715 | 29.875399 | 31.521478 | 32.041150 | 34.227146 | 28.494912 | 26.114171 | 24.236267 | 26.150630 | 28.449242 | 25.98233 | 20.894079 | 24.20106 | 20.028980 | 26.221530 | 25.380519 | 18.298768 | 24.592638 | 29.699640 | 18.1123009 | 22.291964 | 22.589595 | 36.669992 | 21.932201 | 34.612360 | 33.6896664 | 22.556014 | 35.927623 | 26.151202 | 39.3576545 | 19.044452 | 21.781491 | 37.010383 | 22.207038 | 15.495283 | 34.772229 | 37.945023 | 36.147008 | 22.119742 | 27.514697 | 22.993472 | 34.488646 | 31.662754 | 19.503381 | 25.667470 | 30.136117 | 30.4502170 | 34.8268117 | 22.786025 | 16.129844 | 20.527488 | 30.044781 | 33.202884 | 33.469296 | 36.785499 | 23.488143 | 32.1245583 | 27.673942 | 35.330240 | 38.242883 | 44.974082 |
| 84399 | 37.575901 | 31.152197 | 24.161534 | 17.436930 | 34.957923 | 45.524041 | 31.789719 | 34.037261 | 30.358157 | 22.545029 | 30.239734 | 23.505400 | 34.672489 | 25.985072 | 20.18146 | 25.170446 | 25.61902 | 33.290025 | 26.300749 | 20.561344 | 23.544026 | 26.451155 | 38.811161 | 35.6154172 | 15.101306 | 36.024799 | 21.103731 | 24.124535 | 28.062309 | 21.2805948 | 27.486342 | 22.400089 | 35.768545 | 37.5126941 | 27.040320 | 17.716636 | 18.130987 | 24.609039 | 28.455645 | 31.815806 | 38.640059 | 22.082639 | 31.083472 | 23.437169 | 24.524522 | 27.959523 | 26.540073 | 30.558864 | 20.613229 | 31.637109 | 37.7806300 | 30.9292084 | 36.439809 | 21.229107 | 28.590442 | 19.987617 | 24.596413 | 33.329971 | 24.886725 | 31.523599 | 34.1204719 | 35.898913 | 27.849934 | 38.559837 | 30.800005 |
| 56918 | 33.557798 | 34.691739 | 39.258493 | 29.377371 | 37.287626 | 40.257903 | 22.803334 | 53.906620 | 39.011731 | 45.120855 | 34.356518 | 14.387887 | 39.060171 | 27.446905 | 39.20291 | 46.299828 | 28.16838 | 29.872882 | 39.229610 | 35.624176 | 41.211406 | 27.218290 | 33.998133 | 33.5992651 | 49.484793 | 10.880889 | 1.705891 | 33.261614 | 25.450941 | 36.4802613 | 36.022720 | 18.131418 | 22.580475 | 37.4721118 | 28.826076 | 34.150400 | 40.860794 | 25.412338 | 41.139298 | 23.124167 | 37.557525 | 32.291802 | 12.352400 | 32.037097 | 18.637350 | 38.093106 | 39.107997 | 26.046257 | 34.056312 | 51.175279 | 41.6152438 | 36.8618153 | 22.020571 | 31.457020 | 32.939402 | 38.765311 | 45.056023 | 31.454876 | 39.825657 | 32.153184 | 40.7648927 | 39.341369 | 34.111094 | 33.330467 | 43.269767 |
| 36813 | 22.852547 | 40.721175 | 30.035082 | 44.692352 | 44.783817 | 36.727431 | 15.296981 | 28.250747 | 31.344872 | 34.197972 | 24.758220 | 27.090653 | 39.939234 | 19.163848 | 31.92523 | 38.394204 | 45.54145 | 39.214468 | 37.807625 | 41.084848 | 40.677312 | 13.798986 | 24.956212 | 19.6699174 | 28.407509 | 8.785900 | 28.215441 | 18.644179 | 25.460740 | 36.1844880 | 29.447307 | 25.104165 | 22.911754 | 25.3254575 | 29.196109 | 23.973974 | 51.336097 | 35.213144 | 31.660848 | 22.896978 | 35.997534 | 29.629877 | 22.872757 | 7.284707 | 24.381758 | 31.674230 | 41.344789 | 29.613436 | 28.276598 | 31.482283 | 33.6238431 | 33.1110452 | 23.823224 | 36.867715 | 22.072075 | 33.981695 | 28.469793 | 34.717314 | 35.354040 | 34.398504 | 27.1677358 | 31.346980 | 35.622664 | 45.285211 | 23.469850 |
| 64073 | 36.112010 | 53.146195 | 55.322133 | 33.919015 | 24.233458 | 32.796091 | 45.505295 | 43.993491 | 43.381387 | 33.442110 | 28.446837 | 34.813776 | 33.330996 | 39.349942 | 30.81474 | 35.628032 | 28.35595 | 6.875360 | 27.820340 | 35.872492 | 28.640925 | 53.081634 | 33.720785 | 32.2029372 | 28.995563 | 30.176353 | 27.365380 | 49.980614 | 27.693925 | 43.1886842 | 21.889524 | 21.526333 | 31.262390 | 46.6233208 | 38.114276 | 44.082576 | 24.637699 | 32.852756 | 39.497741 | 44.789660 | 29.667889 | 27.495483 | 31.742519 | 36.807985 | 40.950041 | 43.794385 | 32.145621 | 7.872555 | 22.471197 | 28.478634 | 35.4294774 | 38.4917538 | 35.797685 | 38.036923 | 31.625382 | 31.486122 | 41.944845 | 39.296829 | 25.370379 | 19.163401 | 27.2591093 | 38.340483 | 32.502099 | 25.076397 | 39.547361 |
| 52142 | 22.050448 | 22.002958 | 34.167147 | 30.068682 | 30.649872 | 39.195126 | 21.645108 | 30.475606 | 34.143413 | 29.569010 | 39.171779 | 37.118408 | 26.022168 | 42.726893 | 11.13942 | 32.723528 | 17.98904 | 16.012192 | 31.928226 | 31.444458 | 16.063555 | 19.628372 | 37.768210 | 18.0762117 | 27.368473 | 20.613828 | 19.453159 | 34.851088 | 28.918175 | 41.5867794 | 24.941215 | 34.731506 | 26.643485 | 28.5602911 | 20.428137 | 39.762871 | 15.496947 | 15.889330 | 22.610376 | 33.421010 | 28.163482 | 49.946103 | 41.830221 | 47.413586 | 38.991102 | 21.241016 | 24.752075 | 41.582812 | 24.881314 | 24.959879 | 21.9429981 | 35.0427734 | 29.241086 | 30.188057 | 27.512998 | 22.715448 | 30.781040 | 36.675518 | 18.173512 | 37.601224 | 31.3803033 | 35.661295 | 35.849263 | 34.631735 | 17.088966 |
| 83739 | 12.219215 | 38.514034 | 29.592068 | 33.100452 | 30.502785 | 29.332829 | 25.736139 | 28.235853 | 26.492279 | 34.071401 | 19.320178 | 24.949869 | 37.962683 | 14.593410 | 16.37901 | 27.368707 | 37.03203 | 39.825754 | 31.503868 | 28.259985 | 38.559982 | 31.723184 | 32.304492 | 32.0738631 | 26.094064 | 18.116227 | 39.928756 | 16.615004 | 37.309222 | 22.6706414 | 35.550309 | 39.669945 | 33.852758 | 26.7066008 | 26.029941 | 32.258891 | 31.238670 | 16.537878 | 17.094788 | 25.371310 | 43.112402 | 28.208421 | 27.082733 | 29.398002 | 21.803767 | 27.963084 | 31.205973 | 30.054714 | 27.414726 | 24.553868 | 30.7287128 | 16.1910797 | 25.818694 | 31.865609 | 41.922953 | 21.180829 | 31.485781 | 21.659792 | 26.174211 | 23.880913 | 36.0181266 | 33.249510 | 22.998640 | 32.455754 | 22.511913 |
| 79920 | 21.484726 | 21.879157 | 28.456463 | 38.551219 | 28.879648 | 35.323038 | 40.314686 | 35.605260 | 46.293555 | 34.390878 | 35.591625 | 23.353573 | 20.952579 | 25.507227 | 27.22623 | 28.251177 | 41.59353 | 21.548709 | 32.571251 | 36.661370 | 32.329347 | 33.674704 | 22.152327 | 29.8341798 | 22.207562 | 32.559704 | 21.920267 | 23.278282 | 24.584568 | 45.0701060 | 26.254213 | 17.601203 | 44.388028 | 35.2037186 | 15.658802 | 30.086621 | 50.416976 | 34.826087 | 40.896846 | 27.406571 | 22.976364 | 25.782213 | 30.611854 | 39.147489 | 33.277150 | 41.317538 | 36.647189 | 25.013229 | 26.504721 | 37.859393 | 25.3978821 | 17.2391783 | 28.823279 | 16.982932 | 24.696485 | 28.988833 | 29.622272 | 41.915673 | 45.498767 | 23.323007 | 29.2117622 | 49.805133 | 30.089386 | 10.896016 | 23.906036 |
| 74865 | 29.525064 | 31.295221 | 20.742556 | 28.676472 | 41.774171 | 41.760812 | 17.457676 | 30.810963 | 26.081202 | 37.955487 | 11.969565 | 33.097403 | 39.524423 | 25.140658 | 23.10837 | 37.427325 | 39.04554 | 31.469278 | 41.260274 | 40.204031 | 45.988068 | 16.184691 | 30.021648 | 43.0908027 | 32.236849 | 13.327200 | 42.126129 | 23.771628 | 29.503728 | 22.3665189 | 51.365576 | 34.072745 | 24.344087 | 36.6618446 | 41.772391 | 23.114405 | 31.999100 | 30.518909 | 26.127699 | 21.114961 | 23.620030 | 37.247522 | 39.735410 | 29.060655 | 23.968650 | 30.296632 | 28.993802 | 26.206638 | 28.596558 | 12.465092 | 40.5890591 | 35.9845877 | 13.913202 | 37.225488 | 28.638585 | 21.936266 | 30.119571 | 32.536753 | 32.856003 | 36.494933 | 33.1892322 | 29.829883 | 25.930046 | 42.693648 | 31.021342 |
| 63087 | 35.597166 | 22.218347 | 58.645038 | 26.688068 | 29.259610 | 47.945655 | 41.620446 | 27.781997 | 33.785699 | 33.684153 | 38.202141 | 28.048507 | 29.642996 | 29.098631 | 29.20276 | 23.206635 | 31.19509 | 30.330425 | 47.508749 | 36.766021 | 39.816552 | 38.555543 | 44.793243 | 38.8022311 | 27.569475 | 49.342980 | 47.116078 | 42.705738 | 43.467943 | 33.6994677 | 10.810034 | 33.046033 | 34.004279 | 33.2293104 | 25.604711 | 23.422542 | 19.706507 | 36.646315 | 34.955880 | 40.739838 | 26.929318 | 38.847561 | 22.394996 | 34.304625 | 30.077842 | 48.134169 | 35.288059 | 35.767302 | 42.504326 | 41.348725 | 35.1662157 | 29.9437193 | 33.298256 | 49.956786 | 44.308472 | 40.241844 | 36.489057 | 26.117380 | 32.911044 | 26.799944 | 33.8844904 | 32.247687 | 40.242894 | 28.055275 | 40.635140 |
| 91649 | 49.321584 | 24.719204 | 44.569076 | 26.173166 | 35.153456 | 38.974585 | 29.381774 | 29.928466 | 39.802701 | 35.436515 | 44.191735 | 13.722157 | 38.234529 | 38.891880 | 37.82990 | 48.877431 | 22.68404 | 16.945336 | 35.514585 | 41.716149 | 29.684563 | 25.520174 | 20.845878 | 20.9621720 | 27.108462 | 25.948786 | 36.942707 | 27.815355 | 39.011153 | 32.4629927 | 26.891956 | 13.410641 | 38.331417 | 51.8945850 | 23.551096 | 31.507438 | 20.034005 | 50.978080 | 45.142629 | 23.418733 | 22.127061 | 30.134868 | 49.276608 | 21.445142 | 31.854755 | 28.514523 | 29.525220 | 31.328867 | 34.463819 | 23.203972 | 24.4024142 | 36.5475953 | 29.217145 | 29.387024 | 43.457245 | 32.724888 | 44.682325 | 39.436446 | 33.203270 | 32.598000 | 15.2930168 | 51.619819 | 34.280199 | 28.600691 | 34.496510 |
| 81523 | 24.428261 | 33.565850 | 43.739490 | 2.753591 | 24.544208 | 20.517421 | 20.531445 | 31.358782 | 36.887913 | 24.898429 | 30.687403 | 25.618476 | 24.277268 | 30.913158 | 15.37570 | 26.683580 | 28.84327 | 25.842723 | 29.164667 | 23.892630 | 15.737801 | 39.287713 | 29.236452 | 30.0634442 | 27.165091 | 20.611102 | 8.056224 | 32.503379 | 17.570967 | 18.3667177 | 10.477583 | 22.089606 | 3.284102 | 31.9377609 | 31.435115 | 44.470068 | 20.356354 | 23.663108 | 30.120361 | 44.836390 | 46.553516 | 33.197230 | 20.436353 | 24.076321 | 40.453288 | 22.407725 | 48.488481 | 33.655230 | 27.489802 | 28.167249 | 26.7501583 | 21.8760596 | 29.859304 | 23.446993 | 19.438414 | 29.702865 | 37.410789 | 20.970131 | 29.308004 | 33.847181 | 48.6315964 | 20.315694 | 23.087421 | 28.331679 | 31.591652 |
| 88918 | 44.994444 | 31.762545 | 29.156162 | 16.738507 | 24.100871 | 44.186207 | 30.962649 | 33.141925 | 32.705463 | 2.874215 | 46.220383 | 28.579680 | 33.048481 | 23.330357 | 42.27595 | 30.422381 | 34.89453 | 22.299906 | 34.761801 | 30.626876 | 29.736770 | 38.882452 | 42.981546 | 31.8453949 | 23.402845 | 46.943375 | 44.812191 | 25.465843 | 46.414961 | 35.2579759 | 36.735506 | 40.968772 | 33.218168 | 33.8036361 | 18.776889 | 42.238315 | 33.551142 | 34.391414 | 40.861751 | 30.455555 | 40.038431 | 34.683146 | 27.210786 | 27.446101 | 47.755582 | 41.637905 | 40.977435 | 38.951498 | 30.572434 | 32.021664 | 27.9098255 | 11.8222141 | 36.402630 | 42.859447 | 27.481815 | 26.229506 | 40.030710 | 40.035204 | 18.732422 | 44.101725 | 43.8670115 | 25.867294 | 35.706921 | 33.598092 | 28.212406 |
| 43043 | 29.266174 | 32.631980 | 23.091654 | 5.648390 | 30.854220 | 36.417479 | 11.946219 | 35.513186 | 34.959763 | 16.841842 | 31.618905 | 31.757260 | 18.884871 | 5.130756 | 27.82876 | 34.245663 | 43.92939 | 21.694997 | 25.614349 | 24.736903 | 42.311117 | 16.855972 | 33.376900 | 37.5049456 | 43.487043 | 34.223057 | 27.705558 | 22.126070 | 24.058343 | 13.4961689 | 38.934064 | 46.031738 | 35.416970 | 34.0125187 | 29.360383 | 23.480509 | 27.591276 | 35.645561 | 25.029819 | 22.406567 | 35.409288 | 20.388743 | 22.333263 | 21.951765 | 35.389720 | 36.028992 | 45.008594 | 36.439789 | 38.289628 | 30.213930 | 23.4413529 | 13.2418257 | 28.916838 | 29.998208 | 45.011323 | 28.945819 | 28.682684 | 25.229447 | 37.083624 | 25.223651 | 23.1197726 | 26.329751 | 21.697765 | 32.635611 | 26.430849 |
| 72524 | 34.622069 | 12.335373 | 36.439191 | 26.578069 | 23.403554 | 38.504257 | 35.358321 | 35.279929 | 44.076777 | 33.105627 | 23.617826 | 17.429656 | 36.419630 | 43.904685 | 35.60160 | 34.875643 | 28.48901 | 21.547921 | 31.921926 | 39.149572 | 16.595508 | 40.658897 | 35.050413 | 12.0502090 | 39.226045 | 18.052968 | 15.700931 | 32.798511 | 24.548808 | 9.2935791 | 18.780693 | 21.048993 | 35.831915 | 14.2928895 | 39.225094 | 43.232120 | 31.021623 | 21.637932 | 43.089702 | 37.081220 | 31.540265 | 21.859387 | 20.938822 | 31.397650 | 33.871850 | 31.041225 | 23.540824 | 27.008909 | 36.038225 | 25.938092 | 19.2419912 | 31.5130423 | 35.264634 | 28.540765 | 16.761216 | 45.091261 | 27.380443 | 48.008572 | 26.967558 | 36.050699 | 25.8518530 | 31.308792 | 37.269981 | 33.469023 | 29.304089 |
| 32850 | 44.133261 | 17.014290 | 23.076790 | 38.697790 | 43.445668 | 36.675758 | 28.178636 | 35.120069 | 25.337761 | 24.511366 | 39.240083 | 44.970278 | 21.722823 | 28.121239 | 31.74313 | 25.023773 | 36.30646 | 26.378901 | 21.871158 | 33.347800 | 24.383476 | 18.984716 | 29.736577 | 37.3156626 | 38.747110 | 39.787317 | 37.782547 | 34.851490 | 50.143656 | 15.8672430 | 24.685869 | 31.573648 | 43.370599 | 38.6264796 | 31.966268 | 35.232710 | 26.612117 | 29.094608 | 31.788187 | 20.237271 | 14.322459 | 24.105843 | 38.610708 | 21.777274 | 28.634626 | 37.309119 | 33.854033 | 47.517499 | 21.688973 | 31.748842 | 38.4428137 | 25.7645575 | 22.091371 | 32.773150 | 26.762367 | 21.747108 | 28.854376 | 34.653691 | 34.883231 | 31.115115 | 14.9473976 | 35.533729 | 35.788183 | 40.846218 | 34.428369 |
| 73751 | 44.317915 | 31.088789 | 43.347146 | 24.780623 | 35.247827 | 29.079214 | 31.326712 | 23.144446 | 31.342301 | 15.486753 | 37.793032 | 29.239247 | 26.150842 | 37.097991 | 17.53867 | 34.749338 | 14.95755 | 26.740938 | 20.535342 | 31.668392 | 29.949804 | 42.717989 | 50.165822 | 42.8743973 | 36.295053 | 29.466328 | 26.328884 | 45.330805 | 36.249962 | 21.1885010 | 32.063366 | 30.323338 | 38.026502 | 29.7438530 | 42.008260 | 31.393108 | 35.511451 | 17.974186 | 35.089146 | 40.420565 | 32.148493 | 40.328007 | 27.164432 | 44.272295 | 18.510924 | 41.609485 | 27.812842 | 43.085515 | 27.499419 | 24.674820 | 29.0516472 | 25.3242376 | 52.971498 | 18.635655 | 35.231116 | 31.755828 | 41.202643 | 21.033929 | 34.015798 | 41.558023 | 35.1014094 | 39.444625 | 41.188799 | 18.607048 | 14.973465 |
| 74936 | 30.221651 | 27.226455 | 24.500206 | 24.300767 | 22.310642 | 32.556925 | 22.886546 | 28.652841 | 27.550701 | 34.650230 | 46.509777 | 33.064800 | 26.306947 | 40.985730 | 22.65938 | 42.562294 | 42.93248 | 30.013792 | 41.142750 | 26.787821 | 35.753089 | 24.288052 | 41.309108 | 26.7595208 | 21.938912 | 27.605294 | 14.970918 | 24.329153 | 26.161521 | 28.7720584 | 31.535417 | 23.185549 | 27.411395 | 23.3524752 | 32.373082 | 30.151824 | 13.860655 | 30.306697 | 31.416840 | 27.045848 | 31.611937 | 42.482968 | 29.293339 | 43.492534 | 26.420807 | 33.740634 | 35.739383 | 17.302054 | 31.841566 | 13.665337 | 17.9305302 | 27.7075146 | 31.595367 | 28.109847 | 15.476301 | 26.973342 | 31.376330 | 37.559341 | 27.392930 | 38.548856 | 27.4706059 | 36.710218 | 28.810137 | 28.834528 | 26.534917 |
| 54153 | 33.924655 | 13.937405 | 37.603759 | 25.946932 | 23.277749 | 28.395114 | 41.810285 | 48.014633 | 33.790095 | 28.345031 | 22.137971 | 32.377070 | 31.391787 | 43.097209 | 40.72208 | 21.676373 | 22.77652 | 35.557951 | 23.803003 | 42.470729 | 18.511179 | 44.036455 | 32.848233 | 27.6458391 | 21.813843 | 27.701369 | 20.370796 | 22.289666 | 23.100988 | 25.7798149 | 30.305974 | 25.771756 | 31.551215 | 16.7455277 | 22.595243 | 25.470222 | 27.745966 | 13.648791 | 26.567386 | 38.439715 | 14.061683 | 35.638197 | 26.621118 | 26.112283 | 13.555421 | 15.094911 | 32.999779 | 35.836115 | 22.994287 | 31.237239 | 17.8887744 | 30.2230712 | 35.922312 | 11.285893 | 22.894903 | 14.177800 | 38.456299 | 23.496848 | 31.192028 | 4.970155 | 25.6153524 | 23.496494 | 27.620838 | 19.108101 | 35.174864 |
| 87048 | 30.607345 | 35.073483 | 25.499812 | 33.563158 | 31.973057 | 33.459292 | 29.774194 | 20.257601 | 22.744910 | 38.925370 | 19.264647 | 44.292654 | 22.834399 | 39.050928 | 33.09817 | 34.799839 | 29.22948 | 26.112769 | 31.446019 | 31.927657 | 35.837644 | 34.629944 | 20.648558 | 33.9725812 | 37.523188 | 40.156539 | 27.183571 | 41.161477 | 15.937976 | 26.7298304 | 36.619491 | 30.833368 | 36.739002 | 26.5604041 | 35.215874 | 45.257813 | 29.694611 | 44.064819 | 28.092374 | 34.454361 | 28.791071 | 28.865955 | 39.308033 | 33.010381 | 27.907830 | 37.313629 | 32.599016 | 45.887595 | 32.672404 | 34.517192 | 36.1131837 | 29.8148616 | 38.983311 | 49.598680 | 34.755130 | 32.860573 | 31.083408 | 32.651959 | 39.201609 | 31.007893 | 22.7938721 | 45.615301 | 33.854615 | 28.475807 | 27.161622 |
| 53570 | 33.873638 | 24.696486 | 17.912783 | 27.408945 | 31.903984 | 33.147703 | 34.606115 | 29.361765 | 33.065195 | 30.426128 | 40.674368 | 27.252517 | 36.008570 | 28.127481 | 27.29536 | 30.038727 | 26.08451 | 27.073470 | 24.293639 | 29.841058 | 37.357087 | 30.363438 | 40.387220 | 22.2821358 | 41.677128 | 25.246043 | 34.786516 | 24.255142 | 51.935264 | 42.0345110 | 37.206778 | 15.540201 | 33.021569 | 41.8447938 | 20.896411 | 36.026983 | 42.161522 | 33.593156 | 38.238323 | 44.312310 | 30.862952 | 47.123625 | 40.108765 | 23.864505 | 36.818629 | 39.335032 | 31.201797 | 24.928722 | 37.440165 | 38.173664 | 37.5241204 | 31.8314550 | 32.178903 | 29.008875 | 34.328818 | 25.158662 | 35.959474 | 34.494966 | 33.588396 | 43.760650 | 38.6466509 | 31.417600 | 32.731267 | 36.943135 | 35.098493 |
| 70189 | 28.311142 | 30.219674 | 41.162101 | 36.977514 | 14.902691 | 25.907926 | 24.244150 | 41.432278 | 40.963260 | 35.291771 | 32.780029 | 40.525886 | 30.378202 | 40.803545 | 47.97492 | 49.261972 | 15.51298 | 34.169515 | 32.775510 | 44.451063 | 23.248603 | 38.912868 | 38.086494 | 10.7322931 | 23.843232 | 37.597866 | 44.591779 | 41.944420 | 26.210232 | 18.7997878 | 11.662271 | 27.638530 | 32.185976 | 45.0973597 | 37.785004 | 19.908342 | 32.147115 | 36.716561 | 32.656789 | 26.217721 | 19.459605 | 25.496634 | 32.463337 | 44.573100 | 29.208148 | 46.548485 | 31.313350 | 39.559915 | 41.813397 | 34.979179 | 27.2752148 | 36.7762894 | 45.524501 | 18.415667 | 23.945149 | 17.626746 | 38.743608 | 26.019662 | 31.349097 | 30.742394 | 23.6161916 | 26.412451 | 29.921188 | 32.174101 | 44.070752 |
| 62702 | 43.565466 | 26.608657 | 34.963748 | 25.353946 | 15.428667 | 29.732117 | 37.515182 | 32.058606 | 32.260588 | 29.987555 | 27.186751 | 30.192451 | 16.300712 | 32.033471 | 28.29098 | 23.595444 | 27.77783 | 17.367974 | 35.454178 | 28.080407 | 32.004392 | 15.142107 | 28.742746 | 31.0828901 | 33.324020 | 36.016835 | 44.817566 | 24.797959 | 34.729091 | 29.2415055 | 11.607969 | 20.084783 | 38.592884 | 24.5138873 | 13.943923 | 31.769471 | 18.814547 | 7.740819 | 17.097761 | 43.863238 | 26.759016 | 35.169307 | 37.274144 | 27.309016 | 24.987146 | 26.540441 | 16.576371 | 44.582399 | 23.378443 | 12.553271 | 37.1090137 | 12.2873730 | 25.431051 | 32.061003 | 19.254881 | 30.124576 | 39.255680 | 25.472202 | 25.929997 | 32.660608 | 23.1014257 | 42.834398 | 30.006047 | 21.574522 | 18.788597 |
| 34451 | 37.841890 | 25.638489 | 24.151146 | 35.650880 | 32.042284 | 33.234060 | 26.251574 | 31.108609 | 29.304145 | 45.585317 | 21.629879 | 9.912525 | 28.400095 | 25.435060 | 33.32008 | 26.850481 | 49.41726 | 32.456418 | 34.563977 | 3.511071 | 37.468062 | 24.360851 | 38.007654 | 26.4066343 | 25.893901 | 50.754365 | 34.805340 | 35.681352 | 28.536110 | 30.0759632 | 25.506360 | 32.698283 | 35.642401 | 23.7874239 | 23.256036 | 29.268729 | 33.744290 | 34.524485 | 11.175820 | 40.050733 | 29.408998 | 36.023952 | 35.880160 | 29.814403 | 24.006600 | 28.064340 | 25.582380 | 29.391266 | 27.843551 | 34.255651 | 42.9936728 | 36.9795550 | 26.209881 | 34.482148 | 47.760824 | 29.946924 | 35.719368 | 15.651866 | 31.373188 | 21.188500 | 35.3078695 | 41.856972 | 26.358126 | 19.854561 | 33.960018 |
| 80696 | 42.946288 | 35.754140 | 30.766902 | 42.434328 | 32.085524 | 32.268876 | 42.454042 | 45.586218 | 40.070191 | 48.902249 | 31.702089 | 30.785465 | 34.666747 | 25.211984 | 36.43542 | 38.249235 | 34.63444 | 35.038668 | 35.208182 | 36.602807 | 32.360071 | 31.624602 | 33.636808 | 27.6965370 | 40.074668 | 30.871670 | 31.451223 | 33.366945 | 38.978875 | 31.7227475 | 27.868502 | 26.637645 | 41.560469 | 40.7741448 | 20.704659 | 35.067783 | 47.471294 | 24.078444 | 38.267252 | 21.291911 | 52.717495 | 26.075398 | 25.660445 | 28.874525 | 35.503551 | 33.065244 | 30.599684 | 20.520075 | 31.441546 | 46.900218 | 23.3430785 | 51.0300707 | 40.155070 | 16.394716 | 18.419838 | 24.535611 | 32.074951 | 28.932396 | 30.560472 | 47.461563 | 46.0909678 | 32.233512 | 35.191039 | 27.740036 | 48.694011 |
| 54888 | 24.410844 | 34.474591 | 29.164974 | 14.168640 | 39.570362 | 33.116459 | 26.961155 | 36.613764 | 24.102860 | 25.993181 | 21.837107 | 33.604350 | 18.800192 | 25.564167 | 26.72215 | 18.150320 | 38.55575 | 30.592870 | 15.880970 | 24.916482 | 37.516021 | 25.977820 | 33.312299 | 28.7120675 | 32.937756 | 45.254965 | 37.066027 | 43.700088 | 30.809345 | 13.9618403 | 17.387248 | 20.402907 | 26.821420 | 22.8646197 | 33.983018 | 14.596277 | 22.615878 | 25.678290 | 13.913537 | 32.787225 | 27.947788 | 21.724605 | 25.665745 | 29.309560 | 24.133307 | 26.256070 | 40.534961 | 33.565506 | 28.282344 | 32.346338 | 23.6380147 | 35.4096497 | 39.974517 | 27.590943 | 36.468979 | 27.590750 | 39.917846 | 28.271094 | 41.412361 | 33.491857 | 21.0392785 | 24.717913 | 37.644170 | 31.457174 | 26.784373 |
| 34392 | 45.778507 | 22.810935 | 19.957886 | 24.449963 | 16.841867 | 30.892563 | 33.971719 | 22.034422 | 15.613679 | 13.981611 | 29.281543 | 29.781282 | 16.604623 | 26.410368 | 19.30114 | 31.481956 | 17.42120 | 5.515467 | 24.931556 | 32.023821 | 22.784720 | 29.871715 | 39.384844 | 29.3753724 | 20.458227 | 17.445101 | 30.167718 | 32.985603 | 17.551121 | 19.3864724 | 23.611154 | 22.186334 | 30.884353 | 37.2806896 | 16.105157 | 27.496198 | 19.782984 | 12.891915 | 35.652832 | 39.264589 | 32.661086 | 33.023338 | 38.640123 | 21.442787 | 21.718602 | 35.877151 | 28.167027 | 41.084955 | 30.047140 | 20.641054 | 16.1680112 | 28.6017701 | 11.888727 | 16.766126 | 24.402426 | 25.716639 | 26.551323 | 24.824032 | 20.400460 | 24.620005 | 32.0227642 | 42.087112 | 29.500518 | 50.728906 | 37.245205 |
| 61420 | 34.772976 | 34.001981 | 45.288236 | 24.620037 | 43.334022 | 23.657117 | 34.660116 | 19.756095 | 45.196263 | 26.613273 | 24.018703 | 31.483264 | 17.839846 | 32.849092 | 27.08518 | 41.480162 | 28.81235 | 33.193008 | 21.797842 | 35.724590 | 30.760254 | 25.165016 | 47.772773 | 30.5253180 | 15.210022 | 37.562126 | 44.521076 | 33.545120 | 41.070461 | 34.8956318 | 30.936082 | 36.995343 | 34.039865 | 24.6923002 | 31.656958 | 29.136796 | 19.599684 | 14.508535 | 33.646960 | 27.550058 | 24.920766 | 35.162591 | 35.955306 | 43.671549 | 36.528294 | 28.403178 | 28.995062 | 37.617422 | 42.580857 | 24.282199 | 29.9753667 | 34.1430928 | 35.651108 | 29.911055 | 26.595181 | 26.302436 | 33.972779 | 30.674298 | 21.188923 | 35.748334 | 19.8087011 | 22.491642 | 28.701137 | 25.493362 | 14.644164 |
| 73838 | 38.630671 | 34.780346 | 34.253402 | 23.262367 | 32.692657 | 26.244763 | 35.346897 | 20.243050 | 28.737491 | 12.824836 | 42.729449 | 38.677390 | 16.017345 | 37.708252 | 24.80991 | 26.852137 | 26.94791 | 27.063544 | 7.616454 | 32.491629 | 33.398598 | 26.200634 | 49.128354 | 6.9292524 | 22.276266 | 38.127373 | 31.395516 | 42.301260 | 20.563535 | 15.3875563 | 15.753838 | 23.878390 | 25.666271 | 28.2160852 | 19.513987 | 33.750225 | 25.468301 | 12.712705 | 37.926047 | 48.262619 | 30.793147 | 27.842909 | 30.891153 | 41.194907 | 33.749145 | 27.292264 | 37.470348 | 32.024854 | 35.055283 | 20.330895 | 38.6663220 | 16.5524646 | 47.265083 | 21.788947 | 24.301859 | 22.060046 | 28.520230 | 43.617017 | 21.519577 | 33.559197 | 31.7634835 | 17.664240 | 47.776196 | 24.698275 | 30.722852 |
| 67287 | 21.649921 | 37.185397 | 23.691914 | 34.796684 | 28.892543 | 24.859216 | 22.638831 | 22.147671 | 13.442503 | 27.095872 | 16.456315 | 27.333097 | 19.107832 | 29.245279 | 30.75914 | 24.364341 | 39.10702 | 40.008749 | 23.589640 | 16.903208 | 26.370902 | 21.631001 | 23.801202 | 42.6241826 | 29.671272 | 26.471573 | 31.413913 | 25.604252 | 35.864467 | 23.7561541 | 37.850179 | 19.978818 | 19.831858 | 23.2700373 | 20.695458 | 13.792861 | 33.788815 | 35.011547 | 22.569561 | 14.800122 | 25.897391 | 21.526924 | 25.007828 | 27.668987 | 29.776992 | 16.539574 | 19.032859 | 21.245918 | 27.453473 | 28.749589 | 23.5421121 | 27.3405588 | 34.356706 | 41.828114 | 27.752766 | 30.371504 | 33.091326 | 9.980631 | 29.842003 | 32.877377 | 30.3769806 | 21.338318 | 24.450289 | 20.165446 | 34.732497 |
| 50897 | 34.607853 | 17.061237 | 21.913402 | 28.068035 | 22.074796 | 24.620159 | 16.882395 | 22.196295 | 32.762580 | 24.141714 | 19.693847 | 24.340394 | 27.601972 | 31.342771 | 30.54187 | 26.098585 | 15.96409 | 22.945370 | 20.111961 | 24.840473 | 27.385651 | 37.504174 | 34.092872 | 31.3542148 | 27.643533 | 21.659516 | 43.389765 | 27.710779 | 48.958250 | 27.4232857 | 23.805968 | 46.558428 | 29.082110 | 23.2304801 | 26.308865 | 38.441373 | 37.064364 | 24.517805 | 36.402017 | 23.090489 | 27.547274 | 30.972949 | 10.288334 | 24.560890 | 42.733676 | 23.828582 | 27.841781 | 32.632410 | 14.006182 | 22.738387 | 18.0558016 | 17.6017342 | 14.112695 | 20.754811 | 22.674596 | 27.248404 | 35.233363 | 22.148917 | 17.000405 | 19.945186 | 28.2043246 | 26.100698 | 14.268343 | 27.377381 | 35.347940 |
| 86693 | 30.129175 | 36.752003 | 19.707439 | 27.396303 | 40.525068 | 21.566538 | 28.794545 | 28.873644 | 13.093338 | 43.378187 | 33.311507 | 20.494842 | 30.172654 | 13.099431 | 22.51698 | 36.600375 | 24.76179 | 31.026685 | 34.220599 | 24.751338 | 33.766251 | 20.625912 | 21.613614 | 42.8757912 | 32.846835 | 36.703483 | 35.375579 | 17.398264 | 33.689513 | 11.7753794 | 26.267519 | 38.799703 | 38.848355 | 32.9129394 | 33.259299 | 18.312467 | 31.165154 | 21.766450 | 26.539175 | 17.337177 | 40.643150 | 26.989048 | 28.307445 | 30.178240 | 43.126972 | 16.958321 | 34.154005 | 34.363341 | 35.390335 | 23.687113 | 28.1076109 | 35.1324983 | 16.649077 | 31.954044 | 46.449334 | 41.755215 | 24.277311 | 31.687452 | 27.304806 | 29.721232 | 34.5677836 | 29.531500 | 34.680187 | 18.540438 | 16.628649 |
| 62238 | 35.272869 | 24.734353 | 33.767301 | 28.353748 | 26.918226 | 19.096478 | 42.440270 | 42.769188 | 45.759150 | 23.591259 | 27.218026 | 15.922630 | 34.102113 | 35.340928 | 19.86064 | 10.328002 | 27.17245 | 36.620801 | 36.981908 | 33.683529 | 25.982327 | 46.890212 | 29.535119 | 28.8813097 | 24.901095 | 29.809822 | 29.801444 | 32.246315 | 8.954692 | 25.2596650 | 28.473754 | 36.764128 | 25.477158 | 27.3729900 | 27.022233 | 24.243598 | 33.191436 | 27.294197 | 24.131072 | 24.115482 | 44.568780 | 41.248647 | 28.634846 | 27.153617 | 15.645103 | 26.795371 | 22.061010 | 34.571689 | 17.027888 | 39.054749 | 9.9467307 | 26.5174948 | 41.456769 | 30.067680 | 3.078288 | 15.582237 | 25.993479 | 41.039433 | 34.958408 | 33.711830 | 43.8854702 | 37.526745 | 27.393208 | 40.030774 | 41.387237 |
| 58441 | 18.443984 | 43.180914 | 33.732326 | 29.307576 | 32.272000 | 34.329123 | 35.330049 | 43.760566 | 30.918011 | 13.634211 | 29.919515 | 33.236479 | 23.801409 | 35.242568 | 40.37164 | 41.132647 | 46.80505 | 30.269792 | 32.165622 | 25.655074 | 41.205563 | 29.499813 | 23.863974 | 52.8372026 | 28.537425 | 26.885178 | 28.697974 | 46.328232 | 35.308814 | 41.6321434 | 20.519481 | 28.803987 | 27.462080 | 29.8666782 | 38.278759 | 34.096384 | 38.096907 | 43.622866 | 40.081068 | 34.276613 | 37.070367 | 40.360472 | 40.752995 | 56.540577 | 35.695010 | 25.532878 | 17.877009 | 44.121163 | 41.147611 | 32.188444 | 36.0760992 | 35.1025009 | 41.885964 | 41.703751 | 30.000491 | 29.884268 | 22.375479 | 27.577687 | 30.577268 | 49.864532 | 34.4676475 | 22.696651 | 38.057606 | 23.484991 | 35.337295 |
| 88182 | 43.312121 | 24.919910 | 33.374692 | 33.833313 | 31.434755 | 22.510201 | 35.548873 | 29.305312 | 34.561095 | 42.801035 | 28.320626 | 26.934982 | 44.571624 | 29.203083 | 22.68828 | 19.113478 | 21.26674 | 43.020007 | 38.115837 | 36.280361 | 31.057707 | 20.235817 | 35.558709 | 30.3906437 | 35.468797 | 29.670332 | 24.401777 | 33.904372 | 30.607609 | 38.7420298 | 21.855564 | 45.506905 | 30.751085 | 37.7037563 | 28.230464 | 13.003264 | 36.093743 | 33.303299 | 22.553786 | 30.263274 | 33.707167 | 28.568176 | 51.913812 | 13.917062 | 23.543233 | 25.349191 | 38.629403 | 33.061341 | 15.398423 | 46.667101 | 38.6473812 | 36.5345571 | 17.302511 | 29.925464 | 27.517370 | 24.290256 | 26.114859 | 28.713356 | 32.554806 | 25.640583 | 21.1810226 | 45.727192 | 20.801273 | 25.478607 | 36.042356 |
| 59792 | 41.188239 | 29.096503 | 40.254379 | 32.459607 | 19.181717 | 42.764542 | 41.311631 | 12.078834 | 46.587061 | 27.431436 | 20.332425 | 25.822511 | 22.082143 | 27.336464 | 17.61716 | 31.298781 | 16.31750 | 24.560447 | 15.575638 | 26.544004 | 23.172339 | 49.944044 | 31.922429 | 23.2457980 | 37.805620 | 34.952606 | 32.642495 | 30.010570 | 34.639201 | 20.8772394 | 3.021823 | 31.047615 | 33.036424 | 41.5822394 | 27.998209 | 18.750177 | 29.561487 | 24.252970 | 42.378259 | 39.318074 | 28.917953 | 37.371460 | 36.400943 | 30.543240 | 34.694208 | 24.734421 | 28.895618 | 33.261033 | 21.073717 | 24.583613 | 24.5339839 | 15.0612870 | 37.208720 | 23.649540 | 35.197010 | 24.409356 | 29.997209 | 31.006311 | 27.794889 | 17.417746 | 41.3925737 | 27.832780 | 38.335934 | 34.445748 | 19.007284 |
| 46197 | 30.038439 | 30.777061 | 34.187960 | 18.974955 | 30.013200 | 31.078362 | 36.671817 | 25.087985 | 33.775792 | 34.111619 | 20.906318 | 30.303428 | 17.483163 | 26.202625 | 13.64924 | 33.284746 | 32.87922 | 12.139433 | 8.082720 | 29.040830 | 42.161137 | 33.882537 | 31.493430 | 24.9993433 | 34.980969 | 36.714134 | 15.392177 | 19.276732 | 37.949846 | 25.3063661 | 29.191507 | 39.849749 | 29.277347 | 25.7997425 | 41.834505 | 38.859142 | 27.824220 | 32.157323 | 45.729648 | 27.534996 | 22.565622 | 15.367510 | 30.023755 | 26.921756 | 31.152090 | 33.955869 | 31.324259 | 42.048873 | 33.133007 | 32.372771 | 17.7309125 | 20.3988396 | 30.076048 | 34.813255 | 50.322025 | 25.231576 | 30.775296 | 21.822242 | 16.761900 | 36.995530 | 27.5788346 | 25.618657 | 35.537416 | 37.096069 | 32.375632 |
| 89159 | 20.814659 | 26.614969 | 23.031870 | 49.639474 | 38.596137 | 33.963479 | 32.415041 | 28.511912 | 22.799869 | 49.051624 | 25.655040 | 15.503027 | 52.101815 | 34.561096 | 46.50184 | 28.980938 | 36.86819 | 37.449414 | 48.351452 | 19.035109 | 28.947894 | 22.605056 | 30.970666 | 45.8466885 | 29.044806 | 23.078918 | 39.586748 | 31.652640 | 24.535424 | 63.9675049 | 16.384031 | 10.309138 | 36.623353 | 46.9273865 | 43.012716 | 29.189234 | 44.169487 | 36.659106 | 32.689302 | 30.546816 | 29.164678 | 30.920729 | 27.890230 | 28.968346 | 25.632224 | 32.583419 | 32.168640 | 26.178914 | 32.755451 | 46.316702 | 48.9928829 | 44.4638698 | 24.182272 | 44.475577 | 27.371776 | 34.753063 | 29.330591 | 31.643502 | 45.493884 | 36.498569 | 34.1576730 | 18.857146 | 25.294445 | 29.864754 | 47.790284 |
| 41489 | 28.678912 | 25.050264 | 31.168411 | 39.061867 | 26.090379 | 44.286766 | 28.600875 | 35.288469 | 32.446734 | 22.275604 | 26.245120 | 38.910125 | 17.156493 | 17.930651 | 13.13006 | 22.864760 | 31.43401 | 38.144245 | 16.985395 | 15.112858 | 23.115720 | 32.634332 | 5.068113 | 39.8399740 | 35.331405 | 43.511707 | 37.677615 | 23.458523 | 28.966491 | 21.9350645 | 46.367120 | 32.712359 | 7.656136 | 27.0076230 | 34.344711 | 39.180057 | 23.943588 | 34.767798 | 24.957172 | 27.392363 | 26.750984 | 28.794465 | 23.892982 | 22.888935 | 36.803796 | 18.165516 | 33.364035 | 35.441634 | 30.251009 | 34.781167 | 22.6818609 | 30.6974568 | 38.815843 | 27.761177 | 21.946184 | 36.291648 | 25.853885 | 18.755710 | 38.156897 | 43.583478 | 20.4572777 | 21.995438 | 26.700096 | 32.911201 | 42.466178 |
| 33456 | 33.882299 | 48.619375 | 31.594764 | 38.813811 | 40.435808 | 33.466415 | 39.680478 | 17.858158 | 22.707023 | 34.076132 | 27.845204 | 32.547675 | 46.241073 | 31.911634 | 24.02944 | 28.075657 | 44.56812 | 43.370688 | 27.376037 | 23.823396 | 50.271832 | 33.555884 | 30.757468 | 53.7741761 | 56.782187 | 18.609270 | 28.106782 | 24.900796 | 31.370645 | 32.2735250 | 34.239985 | 21.401249 | 37.517261 | 20.9375903 | 43.479363 | 31.558312 | 36.685899 | 36.477963 | 17.832991 | 30.265415 | 31.561557 | 30.497490 | 43.191946 | 38.497642 | 34.610667 | 14.293379 | 29.161023 | 21.990171 | 50.256222 | 34.739449 | 44.3827007 | 37.2967194 | 27.635118 | 35.008803 | 55.884201 | 39.829852 | 19.367289 | 30.671696 | 26.377107 | 50.608270 | 26.5878384 | 19.164168 | 16.187829 | 29.610142 | 33.983632 |
| 35110 | 30.014769 | 27.284868 | 29.766457 | 36.380271 | 19.882630 | 36.370676 | 34.961225 | 27.766208 | 32.397129 | 27.043919 | 31.000262 | 27.407829 | 40.516796 | 29.918019 | 40.03192 | 28.937863 | 33.26163 | 22.406668 | 34.800063 | 36.490123 | 18.999900 | 38.918228 | 35.984177 | 36.0025283 | 24.213394 | 16.530944 | 6.919927 | 36.282251 | 22.378723 | 33.8789298 | 37.041368 | 14.009965 | 25.107878 | 17.5074251 | 24.210868 | 30.087305 | 29.496108 | 31.435890 | 32.737763 | 45.402428 | 15.856393 | 40.413808 | 31.206271 | 28.500575 | 21.335117 | 38.477740 | 41.290858 | 37.333725 | 36.394522 | 16.756342 | 31.0509295 | 24.5849870 | 29.705173 | 25.241080 | 36.263371 | 29.645740 | 27.741036 | 31.264137 | 39.711226 | 30.405159 | 17.0054806 | 41.992939 | 23.844008 | 33.097800 | 28.759131 |
| 38770 | 29.889810 | 28.811563 | 29.096428 | 27.583606 | 30.273169 | 40.514425 | 24.022653 | 28.572610 | 35.260383 | 29.699863 | 41.862005 | 35.043556 | 19.858898 | 24.235871 | 27.28233 | 41.135761 | 53.35780 | 27.735161 | 20.636771 | 26.852368 | 49.684385 | 29.761078 | 40.269090 | 42.4085329 | 44.460937 | 30.909616 | 42.359408 | 15.433212 | 19.889356 | 30.5413427 | 43.357157 | 31.400642 | 30.727655 | 36.4908244 | 27.038108 | 38.545554 | 18.231366 | 48.220032 | 31.034566 | 29.958760 | 23.470894 | 39.404928 | 41.575780 | 42.595037 | 23.320605 | 32.365327 | 40.227434 | 33.818513 | 37.838943 | 34.056686 | 38.1986725 | 25.6750650 | 38.970098 | 48.121178 | 40.657012 | 41.649842 | 36.481297 | 30.843116 | 32.130332 | 39.437867 | 30.1733197 | 37.292286 | 51.176339 | 39.583249 | 16.841930 |
| 57358 | 33.426832 | 29.443163 | 30.915819 | 23.579789 | 33.169875 | 18.608347 | 23.696089 | 39.004582 | 34.033494 | 31.984227 | 15.142472 | 36.166073 | 26.543247 | 30.451060 | 39.58387 | 26.713889 | 36.18746 | 21.340551 | 34.859460 | 12.081995 | 26.654058 | 37.369298 | 29.713896 | 33.7651959 | 41.436640 | 30.254148 | 32.111487 | 37.690578 | 29.669480 | 27.1862487 | 27.073848 | 41.554301 | 6.681678 | 24.4319642 | 37.880499 | 24.312911 | 29.270940 | 51.271341 | 26.320696 | 32.216358 | 36.064861 | 55.347676 | 17.873598 | 40.316033 | 43.740575 | 14.973894 | 31.677719 | 20.111148 | 32.696910 | 35.141705 | 36.9173564 | 27.5330222 | 24.270291 | 35.993679 | 21.929828 | 15.578098 | 25.083104 | 14.124315 | 20.983984 | 33.592494 | 36.6824809 | 31.798199 | 32.466635 | 36.598758 | 26.826494 |
| 93096 | 29.422033 | 33.812411 | 12.168255 | 9.673642 | 32.388496 | 22.907545 | 26.838735 | 23.998750 | 8.481944 | 18.386009 | 37.804356 | 46.217232 | 13.460055 | 9.660870 | 23.45400 | 33.263410 | 24.96335 | 40.293318 | 27.450241 | 34.444955 | 16.764382 | 18.862875 | 6.615811 | 12.8584775 | 20.826212 | 28.237029 | 32.131624 | 26.275642 | 26.702756 | 14.6330501 | 33.802048 | 27.030676 | 22.095860 | 25.3773825 | 21.518360 | 14.011804 | 26.019352 | 29.375706 | 20.813744 | 14.687791 | 32.939225 | 18.686826 | 30.468702 | 18.746482 | 38.183959 | 32.559015 | 25.167401 | 54.994930 | 27.577695 | 27.606861 | 27.8386351 | 33.3653228 | 17.476601 | 13.369057 | 31.822545 | 10.432332 | 23.588512 | 30.764921 | 23.242040 | 26.766624 | 33.7107132 | 34.803788 | 25.434452 | 27.280286 | 35.801272 |
| 58173 | 16.608986 | 38.402533 | 43.588070 | 5.837102 | 24.923748 | 22.437895 | 35.042505 | 31.573124 | 29.346422 | 39.303022 | 15.724609 | 27.626600 | 37.391975 | 44.638190 | 34.19687 | 24.172856 | 27.55785 | 25.401712 | 27.301083 | 21.649163 | 26.485513 | 35.041895 | 33.778218 | 34.7588884 | 41.926542 | 22.040322 | 17.811753 | 40.237318 | 34.466142 | 17.7566044 | 38.358359 | 24.096952 | 13.432267 | 7.1850542 | 27.308827 | 28.143830 | 28.796775 | 30.997695 | 21.531095 | 30.431867 | 27.271297 | 33.954865 | 27.290735 | 28.513796 | 29.184913 | 20.041043 | 23.975300 | 19.054301 | 36.927146 | 19.456660 | 32.3341535 | 24.8547141 | 39.630023 | 13.580402 | 47.465578 | 34.691845 | 27.835453 | 11.929882 | 29.318621 | 40.859049 | 27.9162368 | 24.769259 | 12.798526 | 20.426996 | 29.205009 |
| 76464 | 40.197835 | 28.088729 | 26.677142 | 41.783167 | 22.882764 | 17.533750 | 21.171270 | 26.438251 | 36.643698 | 30.872867 | 42.479475 | 22.223650 | 35.668667 | 38.243429 | 30.20200 | 29.081883 | 15.00170 | 26.116206 | 36.038530 | 33.516254 | 23.311204 | 32.601337 | 36.396962 | 28.1838739 | 33.545411 | 35.318620 | 19.284983 | 21.156035 | 22.484018 | 42.5954046 | 27.299884 | 15.402594 | 33.077141 | 29.0640781 | 19.132010 | 31.080123 | 27.545224 | 32.799881 | 23.830356 | 27.380618 | 31.738721 | 36.362575 | 35.116640 | 32.449350 | 15.896730 | 32.537906 | 17.417690 | 20.443266 | 13.192525 | 24.567474 | 33.7385679 | 41.6032467 | 22.541164 | 31.012602 | 24.721806 | 42.937654 | 38.775217 | 37.598707 | 43.520513 | 29.668365 | 31.9124780 | 39.893739 | 24.505658 | 33.415978 | 27.229788 |
| 75752 | 30.576315 | 26.590815 | 11.912044 | 46.077844 | 26.052585 | 41.071907 | 12.358355 | 34.528649 | 24.447410 | 38.847946 | 25.890271 | 37.782490 | 38.539424 | 17.134076 | 37.08207 | 28.957871 | 40.46844 | 42.169428 | 39.748505 | 30.318981 | 30.731774 | 15.507937 | 22.585758 | 26.1933121 | 24.336931 | 37.215231 | 51.940207 | 16.422493 | 29.799108 | 29.1723219 | 24.500465 | 28.395740 | 32.757647 | 26.0289279 | 27.281673 | 42.886479 | 42.520023 | 20.912011 | 27.315806 | 22.554152 | 35.055639 | 18.874683 | 41.937976 | 14.277672 | 29.516479 | 18.860743 | 23.769009 | 25.608709 | 45.678112 | 36.073400 | 34.8145159 | 40.1874977 | 17.001105 | 37.527147 | 30.085470 | 26.578824 | 28.360508 | 25.564220 | 46.237409 | 39.297586 | 28.0208244 | 35.688950 | 32.435184 | 38.291055 | 32.771286 |
| 57864 | 33.147872 | 17.930193 | 26.193203 | 18.245488 | 18.916542 | 34.369960 | 35.862885 | 40.123202 | 19.191909 | 15.733758 | 32.954731 | 8.954129 | 33.068967 | 32.206402 | 34.12986 | 45.539518 | 24.57352 | 27.078857 | 38.468426 | 35.321671 | 37.657772 | 19.184218 | 36.575830 | 31.6716807 | 44.107748 | 36.058499 | 33.643833 | 18.293179 | 19.615240 | 36.8086199 | 37.329761 | 9.494961 | 32.453963 | 34.6375787 | 40.591829 | 43.884111 | 39.686541 | 49.181198 | 24.501230 | 21.178326 | 17.440561 | 25.673274 | 38.484620 | 28.396324 | 27.790292 | 40.542513 | 22.007966 | 17.900397 | 28.884628 | 29.107387 | 30.9774222 | 27.9726700 | 29.685410 | 29.653337 | 40.418258 | 31.718243 | 36.084096 | 43.019235 | 23.827287 | 37.408361 | 22.3457457 | 44.102252 | 29.609549 | 42.586925 | 31.422493 |
| 84679 | 21.845099 | 18.635011 | 26.197541 | 32.057778 | 31.553642 | 26.980682 | 34.634168 | 32.715108 | 39.944115 | 42.504406 | 39.070636 | 46.007710 | 25.240520 | 28.768218 | 17.08958 | 23.110082 | 29.59236 | 36.083224 | 36.683403 | 31.338611 | 15.813358 | 17.637071 | 47.692321 | 35.9393749 | 25.615289 | 33.276498 | 41.937250 | 20.960842 | 30.900924 | 35.4072083 | 23.140349 | 39.394262 | 33.733424 | 29.4844483 | 34.548844 | 46.053546 | 37.676390 | 31.744553 | 24.541781 | 17.819110 | 31.105732 | 39.966692 | 32.630510 | 27.644669 | 19.735608 | 28.326856 | 29.363269 | 38.293929 | 31.573652 | 35.858856 | 30.7437143 | 31.6922333 | 21.979368 | 12.518792 | 14.766315 | 27.719390 | 28.670164 | 35.567618 | 40.195512 | 30.528759 | 31.9554508 | 20.536062 | 31.247393 | 36.193171 | 37.906212 |
| 28941 | 30.108931 | 25.042611 | 37.289159 | 42.513282 | 12.508546 | 14.036591 | 24.018367 | 23.554672 | 38.562664 | 31.650997 | 9.862716 | 35.781316 | 32.606803 | 39.880532 | 36.41020 | 28.018258 | 35.49733 | 25.992785 | 31.856123 | 21.718862 | 45.116716 | 30.413209 | 21.491999 | 24.8120189 | 24.634652 | 30.857575 | 34.345158 | 38.983731 | 37.193135 | 33.8597884 | 25.801372 | 50.052164 | 24.265254 | 26.0809091 | 36.154311 | 23.053237 | 28.059128 | 17.972938 | 20.648110 | 35.987985 | 41.676767 | 34.971325 | 29.843427 | 39.259749 | 40.737216 | 29.297390 | 20.095845 | 35.024304 | 35.612476 | 18.560873 | 35.1463206 | 32.2060968 | 15.083310 | 28.530354 | 23.351315 | 29.219875 | 27.059441 | 26.909523 | 32.745261 | 27.616061 | 45.6434362 | 18.087372 | 25.629676 | 21.434447 | 28.870059 |
| 72960 | 26.511083 | 21.914655 | 35.895860 | 33.824641 | 32.895711 | 24.436136 | 23.315265 | 38.335001 | 29.047380 | 19.862858 | 25.713636 | 30.089613 | 30.546746 | 28.038017 | 33.87520 | 17.940237 | 53.49464 | 27.179494 | 32.115332 | 16.457937 | 28.414265 | 27.080391 | 19.149719 | 28.5523447 | 26.499653 | 20.440642 | 18.292323 | 15.191690 | 19.604301 | 29.7910240 | 43.203637 | 24.484570 | 31.900379 | 25.1151564 | 37.918095 | 33.534455 | 28.731331 | 41.122570 | 29.133217 | 27.237250 | 26.825474 | 38.033550 | 31.321633 | 21.671219 | 15.626833 | 18.632818 | 26.976374 | 43.493068 | 46.883587 | 38.306466 | 35.0198342 | 35.5165911 | 26.844504 | 24.350721 | 23.415727 | 50.370273 | 47.255280 | 19.803849 | 27.013743 | 41.922322 | 20.2538286 | 16.897297 | 15.026872 | 41.343122 | 37.290827 |
| 28532 | 25.702674 | 47.557555 | 33.282536 | 25.186332 | 44.012565 | 19.954102 | 34.338239 | 37.377954 | 25.811271 | 37.873726 | 17.507200 | 25.188854 | 37.675620 | 30.390525 | 31.77282 | 22.374553 | 43.09421 | 30.247477 | 24.661243 | 23.965188 | 13.844159 | 35.301537 | 38.392747 | 33.6041690 | 36.306767 | 16.581844 | 20.396901 | 11.505271 | 18.335185 | 42.2562225 | 25.024346 | 23.847836 | 26.758675 | 25.4556095 | 38.713058 | 27.894316 | 19.461986 | 44.042157 | 23.897131 | 34.384484 | 25.998976 | 36.951972 | 24.941543 | 22.079167 | 15.835950 | 26.235311 | 24.463304 | 26.141180 | 35.947836 | 42.483282 | 16.5067877 | 37.1631976 | 29.789909 | 31.751863 | 29.806169 | 18.300548 | 13.118491 | 26.791382 | 23.730899 | 31.590662 | 26.0978839 | 31.245150 | 36.856096 | 20.843654 | 35.907549 |
| 92124 | 37.630399 | 7.616744 | 32.810964 | 20.606780 | 19.950184 | 47.429316 | 25.720261 | 26.275642 | 42.607725 | 36.218988 | 44.439937 | 19.744519 | 26.920417 | 36.914075 | 48.09698 | 50.425704 | 22.04227 | 20.962995 | 25.949315 | 36.036716 | 33.971026 | 20.073724 | 53.575897 | 22.7010574 | 27.079956 | 26.473305 | 19.168844 | 38.772779 | 27.664821 | 21.0120445 | 33.159092 | 19.400448 | 33.156619 | 30.3354790 | 24.411896 | 20.805898 | 37.892862 | 19.452519 | 40.960330 | 33.125779 | 39.102714 | 37.319364 | 26.927534 | 26.765011 | 28.186360 | 34.754928 | 31.141322 | 31.978714 | 17.870625 | 25.075463 | 23.2123892 | 24.0478023 | 34.647028 | 3.341663 | 29.165942 | 27.631584 | 51.474282 | 28.577945 | 31.369722 | 14.821161 | 31.6703718 | 34.292811 | 31.589033 | 27.464690 | 13.848060 |
| 50377 | 24.998487 | 21.024208 | 27.587522 | 23.845012 | 34.216119 | 16.693312 | 31.884688 | 23.445942 | 24.081179 | 23.093614 | 20.815040 | 41.196995 | 31.219641 | 24.191570 | 27.20677 | 40.702117 | 25.03817 | 19.409712 | 41.379187 | 19.240605 | 23.049786 | 44.116115 | 21.540968 | 30.2217975 | 26.271370 | 31.881638 | 36.870441 | 42.583397 | 37.991575 | 30.8764097 | 12.721927 | 41.276123 | 25.189932 | 37.3916825 | 38.370772 | 38.773979 | 29.554489 | 27.385323 | 30.829457 | 28.461015 | 28.900982 | 24.753477 | 21.964091 | 29.959108 | 38.028397 | 33.871722 | 27.206581 | 54.813126 | 22.030409 | 39.351710 | 12.5848302 | 42.1443767 | 38.216740 | 3.574616 | 21.672230 | 28.577535 | 33.725793 | 30.096887 | 26.840428 | 16.854674 | 29.2426390 | 17.805844 | 28.105057 | 36.776377 | 35.956672 |
| 39175 | 38.319407 | 32.696974 | 27.052709 | 23.386555 | 32.815364 | 23.347956 | 35.604741 | 25.699038 | 34.675189 | 19.190383 | 24.954318 | 16.643773 | 15.100014 | 30.154780 | 20.82372 | 21.477064 | 27.28302 | 20.176125 | 12.084586 | 33.819239 | 34.086164 | 28.412405 | 45.729866 | 30.9554722 | 32.459866 | 33.028417 | 56.768738 | 56.934900 | 29.811532 | 20.1306683 | 20.433915 | 40.610206 | 24.107018 | 35.2158929 | 32.309960 | 27.995530 | 22.079910 | 43.593503 | 27.421987 | 32.782260 | 29.170736 | 29.214080 | 25.240820 | 20.813542 | 38.327461 | 38.490949 | 33.384779 | 31.918803 | 32.525489 | 19.847792 | 22.9599726 | 12.9570209 | 37.882655 | 28.891637 | 24.218347 | 30.147575 | 27.233100 | 28.859320 | 26.815610 | 26.740790 | 33.4589551 | 28.508993 | 34.644001 | 32.959862 | 24.826379 |
| 28781 | 30.342502 | 19.497962 | 12.675373 | 30.984692 | 31.064104 | 29.791140 | 24.704786 | 14.842647 | 22.200074 | 29.086472 | 36.692697 | 38.809804 | 30.373317 | 27.053402 | 18.36152 | 34.173890 | 34.26888 | 40.202477 | 17.895859 | 22.803464 | 16.532562 | 41.652934 | 31.756998 | 37.1296149 | 17.125140 | 31.413047 | 26.459293 | 30.371088 | 37.169728 | 27.1780418 | 32.369709 | 41.864477 | 35.990309 | 29.0918185 | 27.224651 | 21.309115 | 28.153378 | 25.980540 | 28.638280 | 23.429881 | 17.719583 | 27.185762 | 29.242403 | 14.026945 | 21.321092 | 31.479053 | 48.876355 | 25.900596 | 32.074154 | 26.328254 | 17.9046121 | 27.7413344 | 7.294124 | 34.324756 | 25.301450 | 24.167285 | 19.613320 | 30.171203 | 29.741957 | 31.835649 | 18.2483821 | 33.320398 | 29.720370 | 19.468378 | 27.500231 |
| 41414 | 23.652472 | 39.491503 | 46.546900 | 37.529554 | 39.693348 | 35.594942 | 40.692032 | 24.805848 | 44.411155 | 42.350617 | 37.030210 | 24.341743 | 20.844174 | 38.547234 | 21.84600 | 41.740203 | 32.99011 | 27.929769 | 31.674518 | 25.837012 | 32.391941 | 44.784426 | 44.063373 | 37.5239539 | 29.799258 | 32.532944 | 35.931925 | 41.407797 | 25.137893 | 27.5003012 | 30.789462 | 51.199376 | 30.825670 | 26.9273593 | 10.469037 | 25.833713 | 39.799003 | 30.527296 | 34.619283 | 35.587627 | 14.164378 | 39.996057 | 39.259612 | 37.285998 | 36.861044 | 30.619770 | 23.011962 | 21.257054 | 36.376284 | 26.047601 | 38.1973005 | 30.0807514 | 42.035552 | 35.365574 | 16.939646 | 32.237430 | 28.791920 | 20.165024 | 25.541742 | 31.936731 | 15.9524205 | 36.552131 | 41.720731 | 18.207846 | 33.061191 |
| 27859 | 34.336703 | 37.273294 | 25.151628 | 28.122813 | 23.784461 | 30.187672 | 43.718512 | 38.263057 | 38.089322 | 24.468400 | 19.037920 | 37.999013 | 28.569799 | 16.209131 | 24.50369 | 25.707580 | 35.06936 | 36.817886 | 50.100097 | 20.004987 | 27.250476 | 32.043193 | 35.838712 | 33.1040397 | 24.354488 | 37.925100 | 39.097414 | 40.916969 | 45.203625 | 40.4233586 | 17.086483 | 44.386096 | 23.800869 | 39.2415731 | 19.916403 | 26.770364 | 28.296065 | 33.606780 | 11.978688 | 40.365108 | 30.545010 | 39.880705 | 29.823905 | 26.597178 | 48.118338 | 27.397093 | 36.299245 | 35.447223 | 25.622282 | 45.184274 | 17.5229611 | 36.5369535 | 52.294081 | 36.731934 | 26.195497 | 31.403854 | 18.650371 | 30.328702 | 47.880245 | 29.395186 | 32.3822384 | 31.234302 | 28.735963 | 28.277450 | 34.256104 |
| 27831 | 27.260559 | 32.241270 | 23.474782 | 28.023062 | 26.202272 | 39.553832 | 20.987691 | 49.404307 | 31.164847 | 23.084112 | 31.649817 | 21.808472 | 23.098207 | 27.707645 | 33.16717 | 33.044289 | 19.53659 | 18.714396 | 31.186020 | 25.974292 | 25.025958 | 32.766565 | 29.981442 | 26.9590745 | 24.251950 | 32.670396 | 21.085425 | 43.944533 | 20.848885 | 23.6919150 | 25.532943 | 31.909152 | 29.196011 | 37.7691858 | 6.775558 | 39.741964 | 30.415874 | 26.631878 | 33.677585 | 23.867698 | 26.826057 | 31.500555 | 31.516240 | 21.932192 | 21.290550 | 38.030753 | 51.041438 | 33.640522 | 19.100435 | 35.002132 | 34.0274665 | 21.7593558 | 30.104443 | 18.854888 | 12.628264 | 17.147506 | 32.019957 | 48.079635 | 32.100338 | 21.894022 | 37.4100752 | 34.112005 | 41.446190 | 41.502617 | 26.195747 |
| 85062 | 29.421863 | 39.678396 | 29.427716 | 26.276194 | 25.226424 | 27.523363 | 14.346151 | 22.927294 | 13.141265 | 25.294514 | 24.157342 | 32.857496 | 17.864062 | 36.894794 | 29.73120 | 21.095048 | 25.31294 | 25.151586 | 36.437836 | 23.473911 | 30.276801 | 18.477646 | 33.469361 | 18.1749230 | 26.286666 | 36.314357 | 37.201828 | 37.366700 | 11.473372 | 42.3249729 | 10.785737 | 32.595265 | 18.021417 | 22.9201352 | 22.665871 | 29.950438 | 26.229711 | 38.494357 | 16.449670 | 38.053132 | 41.243341 | 16.984476 | 16.631092 | 28.304179 | 42.566946 | 35.409921 | 22.367816 | 40.190306 | 31.417836 | 23.596997 | 28.9044344 | 20.9037033 | 37.007850 | 34.928675 | 29.048117 | 23.527534 | 27.226442 | 35.115329 | 29.919530 | 33.670833 | 49.9593376 | 40.372092 | 35.235731 | 41.235335 | 27.495120 |
| 83382 | 49.012020 | 23.967335 | 18.054308 | 26.254880 | 26.194776 | 42.889811 | 27.419645 | 22.580042 | 18.690662 | 37.073179 | 33.014314 | 8.158597 | 37.108833 | 33.955627 | 26.36270 | 34.815806 | 41.84197 | 19.976880 | 24.028384 | 46.837549 | 42.598089 | 22.122982 | 34.135756 | 38.7811660 | 25.048306 | 25.756179 | 26.880977 | 22.363576 | 30.472912 | 34.6156782 | 33.524642 | 31.786216 | 47.234831 | 34.7151127 | 25.218462 | 34.112047 | 28.081844 | 27.416651 | 34.894026 | 36.533317 | 37.637639 | 39.301361 | 48.771920 | 31.892002 | 13.849109 | 48.784969 | 33.449317 | 37.453578 | 27.216576 | 28.688189 | 25.9087835 | 22.8902169 | 23.743603 | 27.900805 | 32.648274 | 28.130613 | 40.598931 | 60.521115 | 36.976783 | 40.017904 | 32.9990534 | 32.060432 | 41.345835 | 46.374386 | 38.968866 |
| 31169 | 45.641778 | 38.096921 | 27.593341 | 26.364169 | 28.488318 | 37.443951 | 23.079751 | 29.187541 | 13.333301 | 24.682423 | 25.521769 | 22.626800 | 18.677838 | 21.303640 | 37.07629 | 36.695118 | 27.55296 | 22.697101 | 19.247630 | 44.112025 | 30.398200 | 16.020966 | 25.940813 | 31.3625405 | 19.174897 | 30.935709 | 28.125679 | 18.137374 | 25.483331 | 24.0132971 | 42.113046 | 30.922873 | 40.785427 | 18.1618647 | 37.074830 | 40.505207 | 16.652070 | 21.706716 | 41.749457 | 18.592981 | 31.229671 | 24.137878 | 31.463503 | 24.808817 | 28.509805 | 44.423519 | 49.512129 | 39.394866 | 44.618185 | 32.869034 | 1.3696894 | 21.2452452 | 34.224012 | 32.027011 | 24.944454 | 33.089342 | 57.298424 | 42.469247 | 35.007265 | 31.467148 | 33.4771461 | 41.858364 | 36.455767 | 38.184998 | 31.886407 |
| 82541 | 38.503855 | 37.181197 | 32.858571 | 12.063342 | 32.889466 | 14.037810 | 17.732312 | 38.558344 | 31.976543 | 19.398283 | 32.932418 | 29.522201 | 23.344136 | 27.110778 | 15.33871 | 18.633894 | 24.45192 | 22.512370 | 18.796027 | 25.062089 | 27.902852 | 10.737122 | 26.607785 | 29.4163974 | 22.196347 | 40.440644 | 54.705640 | 33.712475 | 36.629357 | 13.3005740 | 33.934768 | 35.276951 | 31.410183 | 34.8309519 | 34.838757 | 24.896687 | 38.902366 | 32.120059 | 22.603436 | 22.783595 | 40.855481 | 21.408605 | 28.639171 | 28.614232 | 35.695709 | 28.952322 | 31.092904 | 40.984910 | 28.546433 | 24.953078 | 27.8825653 | 26.3778373 | 33.608614 | 32.116890 | 38.567309 | 29.067231 | 24.297533 | 33.530064 | 27.327897 | 28.253234 | 40.4714408 | 19.185681 | 31.506393 | 26.072464 | 29.881946 |
| 26114 | 51.998317 | 26.017316 | 35.442194 | 36.444206 | 14.565318 | 20.680503 | 29.263285 | 27.570015 | 34.974436 | 28.529136 | 32.223542 | 36.720419 | 27.392308 | 26.036745 | 36.08522 | 41.459714 | 15.08455 | 25.150413 | 27.519514 | 50.723547 | 29.864420 | 46.537647 | 26.611841 | 25.8110298 | 23.667132 | 26.194002 | 42.189704 | 28.871721 | 41.426494 | 32.9187452 | 14.462149 | 44.595294 | 45.156277 | 54.0455841 | 19.212928 | 30.019408 | 47.885290 | 19.049081 | 44.161588 | 39.452776 | 22.273899 | 39.835381 | 37.656375 | 23.483704 | 44.709689 | 40.612702 | 46.938869 | 43.152839 | 17.718011 | 7.901998 | 22.8101388 | 26.4254995 | 38.821972 | 24.222431 | 18.763228 | 31.857084 | 33.452282 | 35.193194 | 40.602217 | 26.827314 | 24.4932561 | 22.813185 | 52.710382 | 36.083975 | 40.665915 |
| 28725 | 35.256708 | 22.763696 | 24.677674 | 22.711244 | 25.140601 | 33.646150 | 35.295529 | 16.805698 | 32.827716 | 25.530481 | 19.095902 | 35.561872 | 38.332066 | 41.030852 | 33.10698 | 36.509256 | 29.60835 | 15.429310 | 27.723031 | 30.032495 | 29.661619 | 26.613369 | 38.865862 | 34.0144883 | 18.699435 | 21.033951 | 42.725444 | 36.310849 | 14.362342 | 29.5767959 | 20.933400 | 21.109231 | 39.590108 | 23.3999712 | 36.725192 | 24.638942 | 19.037876 | 31.904914 | 30.696767 | 33.859605 | 24.875426 | 31.408316 | 26.967829 | 32.860126 | 24.096590 | 29.552360 | 29.138620 | 23.661878 | 33.845257 | 27.171672 | 38.5216014 | 20.0805148 | 33.359647 | 31.882867 | 16.152203 | 21.494279 | 42.441934 | 35.188483 | 15.896519 | 21.831551 | 22.7784040 | 41.602692 | 30.410739 | 19.123599 | 13.588012 |
| 79502 | 42.917746 | 30.155362 | 19.030946 | 38.612593 | 12.858863 | 29.368462 | 30.011694 | 18.732131 | 35.843038 | 25.897848 | 28.192154 | 27.027730 | 16.072610 | 23.667973 | 17.20144 | 20.939003 | 19.53510 | 31.472057 | 40.693754 | 24.345944 | 24.574132 | 23.634713 | 19.414271 | 35.1493563 | 25.238859 | 24.021729 | 35.924942 | 22.295985 | 25.874398 | 34.3248721 | 34.338641 | 25.129829 | 32.716735 | 30.6245522 | 35.398652 | 41.370141 | 33.155383 | 27.003798 | 29.219883 | 28.184332 | 22.884510 | 23.593722 | 39.870446 | 21.340884 | 31.121589 | 21.256984 | 40.456194 | 23.248620 | 25.549212 | 35.462187 | 19.6399474 | 25.4556921 | 15.139065 | 32.312757 | 19.831095 | 36.435982 | 21.624553 | 27.388445 | 31.223832 | 29.457436 | 33.0987866 | 22.806483 | 24.885749 | 35.353486 | 38.818122 |
| 53559 | 46.813677 | 48.929086 | 33.425277 | 23.813442 | 34.592452 | 22.772047 | 22.704377 | 13.896277 | 30.002834 | 17.626746 | 36.799746 | 39.253091 | 31.755722 | 29.106058 | 16.37126 | 42.115665 | 45.34072 | 31.266161 | 22.757057 | 30.712842 | 24.950001 | 33.971737 | 39.431996 | 27.3150707 | 19.546715 | 29.413785 | 44.118072 | 35.727243 | 38.123685 | 36.2734046 | 34.347721 | 29.655431 | 33.818757 | 33.7309773 | 22.686345 | 45.979537 | 18.799888 | 47.462002 | 40.857593 | 41.419476 | 39.044923 | 28.695294 | 37.142420 | 30.239612 | 28.211793 | 35.008846 | 36.127598 | 33.652420 | 40.536438 | 20.189667 | 37.4487644 | 17.8442004 | 32.223759 | 32.343487 | 35.036853 | 48.049102 | 25.582995 | 25.991947 | 21.933694 | 27.291895 | 39.3872506 | 38.248137 | 35.698545 | 35.997309 | 38.686462 |
| 55967 | 23.510220 | 35.851152 | 27.760132 | 39.401778 | 46.825286 | 31.557905 | 25.227607 | 25.761457 | 24.633124 | 31.741515 | 27.550109 | 20.674765 | 29.157900 | 16.783585 | 23.07275 | 26.707199 | 23.92843 | 30.857070 | 23.180069 | 25.752951 | 29.723767 | 33.946027 | 5.975574 | 23.4739934 | 35.733456 | 22.235040 | 27.505668 | 39.172710 | 36.307416 | 40.7843770 | 31.013500 | 35.401912 | 40.657899 | 36.5258898 | 40.159371 | 10.032562 | 24.278881 | 35.210182 | 22.839019 | 20.094025 | 41.360118 | 26.278527 | 30.995544 | 33.922595 | 41.014251 | 33.019071 | 27.622617 | 43.774314 | 39.412613 | 33.584777 | 25.2303379 | 33.3689937 | 19.064557 | 35.929687 | 12.222467 | 31.339149 | 34.262743 | 37.727705 | 38.037393 | 22.707320 | 42.7957265 | 26.448591 | 32.386635 | 39.984502 | 22.895858 |
| 34341 | 13.843435 | 34.368062 | 30.537693 | 10.802905 | 28.350869 | 20.298410 | 22.921571 | 19.217019 | 27.494466 | 40.186402 | 20.423880 | 17.040307 | 22.783548 | 42.202976 | 24.24978 | 26.201714 | 33.52215 | 15.313727 | 34.545019 | 25.237916 | 33.408704 | 23.277336 | 22.146227 | 41.2814934 | 21.239595 | 12.198227 | 13.712835 | 33.540521 | 19.473926 | 26.7787565 | 16.956887 | 25.557333 | 24.639686 | 20.9533367 | 29.351781 | 11.373186 | 22.847776 | 24.208585 | 27.743540 | 34.648683 | 27.808623 | 45.751276 | 28.130845 | 23.570543 | 22.637481 | 19.121756 | 23.996637 | 9.763990 | 32.079790 | 24.575797 | 12.4059223 | 24.4895244 | 18.889649 | 34.630668 | 28.473805 | 19.931850 | 21.124329 | 35.379285 | 24.944802 | 17.956812 | 33.2302042 | 33.926784 | 15.015668 | 34.939972 | 37.055642 |
| 63359 | 33.482428 | 23.232600 | 44.726443 | 24.111715 | 31.108006 | 45.853106 | 30.727653 | 25.773558 | 21.977430 | 20.697075 | 29.450943 | 41.805518 | 21.840008 | 21.611925 | 31.45355 | 30.391621 | 25.38084 | 30.545440 | 27.887968 | 30.191678 | 32.369542 | 25.284232 | 31.277738 | 27.1995246 | 25.819741 | 47.880512 | 32.501779 | 30.062004 | 40.278171 | 30.4582835 | 15.350197 | 45.369940 | 20.389187 | 24.6532135 | 29.224230 | 36.521120 | 22.046790 | 27.051204 | 31.285094 | 33.872671 | 25.801740 | 24.725502 | 20.047515 | 40.059883 | 32.632081 | 37.813111 | 45.294109 | 35.260796 | 26.427309 | 22.061035 | 26.5695883 | 27.1070986 | 20.809132 | 22.437962 | 35.026384 | 16.043819 | 19.120386 | 30.288003 | 30.855123 | 20.905683 | 16.6256704 | 39.993216 | 38.217107 | 44.292869 | 18.695701 |
| 27507 | 37.406905 | 48.959342 | 32.555590 | 31.564985 | 44.442925 | 15.503313 | 28.251757 | 25.430908 | 17.421282 | 30.058153 | 27.033610 | 37.446964 | 28.382384 | 32.652100 | 20.85835 | 13.874775 | 28.86786 | 29.594695 | 23.872789 | 34.906507 | 42.871938 | 39.738342 | 29.572470 | 32.6884014 | 41.145527 | 46.432112 | 36.784052 | 29.984319 | 33.962903 | 21.5786510 | 43.867307 | 19.019687 | 33.307009 | 29.5291280 | 24.195367 | 25.520285 | 45.482267 | 44.856135 | 26.064365 | 29.294252 | 28.439798 | 30.571229 | 30.281455 | 16.351273 | 41.007326 | 32.580806 | 20.094110 | 23.238374 | 36.381956 | 28.164600 | 27.5300012 | 22.5581702 | 23.603231 | 37.919576 | 33.180105 | 44.715388 | 21.160689 | 14.049216 | 27.732683 | 37.789335 | 26.9235391 | 33.942560 | 45.031779 | 25.017018 | 15.600095 |
| 56296 | 30.056801 | 18.004244 | 31.940874 | 31.546937 | 20.803685 | 44.984347 | 23.437979 | 19.831621 | 13.727318 | 46.601648 | 39.692751 | 26.057093 | 45.209272 | 28.752288 | 27.08401 | 50.412420 | 19.37222 | 13.768098 | 19.617187 | 30.418492 | 25.360146 | 27.749286 | 24.110426 | 23.4370137 | 19.922519 | 25.284686 | 26.160249 | 30.970175 | 36.177879 | 28.7087814 | 13.002211 | 32.737211 | 41.569165 | 33.2719898 | 19.142171 | 26.224457 | 29.877849 | 19.096103 | 53.715964 | 18.898966 | 15.641991 | 26.674189 | 44.735364 | 38.169045 | 29.701896 | 57.890536 | 36.877504 | 22.231222 | 20.970737 | 28.785524 | 27.1658413 | 36.8808621 | 27.878991 | 34.890407 | 23.597859 | 18.736919 | 38.584414 | 34.651571 | 36.735392 | 18.003467 | 16.2904233 | 31.749506 | 34.222090 | 42.336187 | 21.760614 |
| 71256 | 43.030583 | 23.850973 | 35.582553 | 20.056932 | 31.191499 | 58.049594 | 29.743964 | 42.547303 | 30.116380 | 21.154528 | 46.037050 | 10.667543 | 14.813461 | 35.729575 | 26.79904 | 41.957848 | 19.40015 | 25.091039 | 24.661249 | 35.384806 | 37.618216 | 39.203994 | 32.577329 | 17.9919579 | 28.292860 | 14.900661 | 29.184561 | 23.699528 | 23.262950 | 25.0427005 | 31.016379 | 14.899723 | 43.677990 | 43.5131259 | 31.091178 | 43.361453 | 14.148084 | 32.855744 | 43.245275 | 12.124246 | 46.044223 | 24.792644 | 47.429184 | 28.238653 | 20.127230 | 34.487462 | 59.062298 | 5.657355 | 12.428636 | 29.636541 | 22.9768765 | 23.2368182 | 46.904272 | 32.126549 | 32.244917 | 13.107648 | 56.982635 | 48.658749 | 39.685662 | 17.094715 | 45.4708415 | 38.243679 | 34.644122 | 37.348627 | 31.038156 |
| 52051 | 15.248024 | 32.597498 | 30.042526 | 23.610305 | 39.068496 | 12.102068 | 33.102924 | 18.436057 | 46.714144 | 19.576088 | 27.411046 | 20.207006 | 24.215210 | 33.179210 | 26.74760 | 20.756341 | 43.41812 | 30.658244 | 26.849310 | 21.528764 | 25.603363 | 34.890464 | 19.320243 | 13.9527782 | 31.319835 | 20.916650 | 34.289791 | 28.530029 | 39.741656 | 10.6202639 | 34.766266 | 20.840570 | 18.650823 | 10.1737109 | 37.274715 | 24.160587 | 26.352953 | 22.109774 | 27.770531 | 33.197548 | 24.217864 | 29.437875 | 22.430131 | 38.636800 | 37.586090 | 25.426329 | 22.185566 | 33.444480 | 22.518018 | 32.077073 | 27.1868310 | 34.1979723 | 34.370417 | 32.643462 | 36.656757 | 32.593946 | 30.611551 | 12.594925 | 6.150805 | 36.210606 | 24.4250883 | 25.912071 | 24.353463 | 34.224659 | 33.518118 |
| 51534 | 21.985474 | 38.103829 | 48.989902 | 30.570805 | 29.565918 | 33.220968 | 45.821032 | 37.644650 | 17.250781 | 20.836755 | 21.563312 | 38.974519 | 25.038278 | 32.112231 | 14.48467 | 23.635935 | 27.94541 | 22.778352 | 20.783051 | 30.143007 | 47.813609 | 30.740230 | 25.137136 | 20.5803404 | 24.198232 | 20.920226 | 31.567385 | 33.925685 | 45.567056 | 33.0283722 | 26.695878 | 36.114154 | 26.715692 | 35.7574005 | 36.808627 | 22.809242 | 30.851642 | 29.401938 | 22.672581 | 37.625478 | 34.977812 | 24.924574 | 23.727457 | 26.560056 | 44.678093 | 23.908950 | 29.905889 | 31.026512 | 51.427563 | 42.117258 | 33.8336460 | 35.3784684 | 33.572867 | 37.153470 | 32.447522 | 29.127248 | 32.290202 | 39.398073 | 28.162009 | 25.721515 | 37.7921387 | 33.139358 | 41.359353 | 25.720658 | 19.604180 |
| 53801 | 30.248648 | 41.036407 | 23.277141 | 15.951026 | 35.742036 | 32.493764 | 24.320183 | 13.402672 | 21.863399 | 25.324001 | 24.336191 | 30.796770 | 22.550272 | 13.600519 | 28.37036 | 35.565361 | 18.84771 | 43.899479 | 41.940754 | 18.686505 | 25.949779 | 17.636799 | 22.648505 | 19.6210628 | 30.889783 | 16.169380 | 14.808968 | 37.117814 | 31.142684 | 24.4226274 | 39.833424 | 23.996309 | 21.202632 | 9.3841992 | 35.098032 | 29.152969 | 10.907234 | 34.801563 | 20.223706 | 23.664283 | 18.799196 | 23.080399 | 7.317176 | 30.169704 | 18.692061 | 34.946850 | 22.591808 | 26.887874 | 16.102916 | 21.783138 | 30.6035421 | 23.9515744 | 32.980657 | 28.611002 | 11.085242 | 38.074130 | 23.144210 | 29.089262 | 30.859259 | 23.783157 | 13.1552554 | 12.073792 | 28.013099 | 30.843817 | 22.484843 |
| 58087 | 18.041025 | 42.990217 | 41.895839 | 11.364375 | 33.600833 | 19.675543 | 32.304509 | 35.745218 | 20.506115 | 26.140702 | 38.232455 | 31.755851 | 7.050419 | 38.171378 | 16.67868 | 21.338579 | 37.89382 | 19.936199 | 16.258611 | 44.913418 | 30.307117 | 27.789330 | 22.463892 | 21.8741521 | 45.451817 | 42.219717 | 29.148793 | 34.402571 | 32.762838 | 3.5163028 | 31.704138 | 38.515968 | 36.069987 | 11.0223668 | 39.993729 | 34.117077 | 18.135603 | 44.705658 | 21.723333 | 39.540334 | 21.508198 | 33.820169 | 23.042596 | 28.177170 | 34.197769 | 22.331220 | 23.443659 | 33.264091 | 36.563925 | 11.914555 | 39.8245805 | 21.0785318 | 35.928967 | 35.938010 | 43.419014 | 39.920129 | 31.930120 | 23.809856 | 14.849531 | 33.033768 | 26.5426274 | 26.830544 | 26.479510 | 19.476947 | 25.832344 |
| 79500 | 20.478155 | 32.277288 | 32.480455 | 26.526530 | 31.512083 | 39.393802 | 33.152843 | 39.035088 | 47.611329 | 28.020656 | 35.370942 | 45.868367 | 31.074404 | 42.125242 | 45.18797 | 29.235276 | 13.31417 | 21.106537 | 24.630486 | 29.468028 | 13.112584 | 32.001212 | 25.807879 | 31.5961226 | 38.946767 | 44.570122 | 15.338346 | 36.663879 | 24.473975 | 32.0393520 | 20.062700 | 33.562286 | 31.940829 | 27.9317152 | 29.136855 | 25.456447 | 24.862130 | 34.921614 | 42.710046 | 28.855027 | 17.871743 | 37.851794 | 28.274641 | 39.993797 | 29.974501 | 33.816063 | 33.889475 | 48.077973 | 17.225484 | 38.492412 | 40.2868517 | 34.3918662 | 35.430597 | 52.184831 | 43.538548 | 42.067533 | 43.789619 | 28.154869 | 25.331816 | 31.011993 | 23.0018693 | 33.282200 | 28.878844 | 33.141250 | 30.439063 |
| 43069 | 18.287229 | 29.063946 | 31.497083 | 20.288120 | 35.160955 | 33.295756 | 18.413919 | 23.721011 | 24.614746 | 16.849566 | 49.377780 | 26.180596 | 40.555672 | 27.954971 | 23.34654 | 38.608276 | 33.08382 | 25.097923 | 12.308791 | 32.267173 | 30.618105 | 34.678238 | 23.785488 | 34.1414533 | 23.226461 | 35.679284 | 37.112747 | 24.559036 | 19.236789 | 20.4681588 | 28.607148 | 37.102184 | 33.666495 | 36.7547318 | 27.678568 | 31.663482 | 27.268204 | 26.964535 | 22.712990 | 37.748063 | 55.037652 | 35.442213 | 39.780514 | 28.472089 | 25.576560 | 54.016634 | 36.413025 | 41.207661 | 29.727853 | 34.504239 | 19.1421801 | 19.8946720 | 22.462599 | 34.712489 | 29.110628 | 25.451511 | 39.932316 | 48.660565 | 21.145636 | 36.733614 | 51.6089664 | 22.424983 | 42.905807 | 40.044033 | 23.096722 |
| 74506 | 22.460745 | 23.499078 | 23.305750 | 39.767787 | 24.363158 | 30.188802 | 33.876028 | 46.312219 | 12.651684 | 37.390442 | 29.693198 | 28.482837 | 30.201325 | 39.536792 | 42.56704 | 22.681116 | 19.48448 | 46.509003 | 52.552442 | 15.023013 | 17.140063 | 21.093703 | 36.475652 | 22.8784168 | 25.309554 | 21.645871 | 36.560035 | 34.455301 | 37.479432 | 43.3994344 | 26.056883 | 30.834288 | 36.449151 | 27.0853620 | 13.885865 | 27.342701 | 39.757268 | 22.808897 | 23.661247 | 24.550676 | 31.252010 | 28.462545 | 29.902489 | 48.659291 | 19.674669 | 29.324754 | 26.176095 | 40.240862 | 19.251774 | 42.077234 | 12.6276417 | 37.9085168 | 36.617626 | 21.481045 | 14.005822 | 21.918188 | 37.592244 | 31.511342 | 29.974601 | 13.310919 | 32.6076099 | 17.935189 | 26.321741 | 11.138388 | 42.852096 |
| 36694 | 34.743353 | 10.513972 | 29.945134 | 32.835667 | 18.087817 | 27.968562 | 29.031286 | 26.690377 | 25.577067 | 27.328846 | 26.597904 | 53.235027 | 26.047543 | 49.287885 | 39.12070 | 32.896246 | 20.42567 | 21.989059 | 32.451458 | 17.521812 | 25.842511 | 31.577337 | 24.071580 | 17.7686590 | 20.339241 | 37.390737 | 32.104136 | 19.371942 | 18.379012 | 30.3351294 | 14.690055 | 52.362468 | 28.330326 | 29.5640708 | 30.372475 | 33.696855 | 30.299234 | 24.412355 | 33.558692 | 46.345669 | 28.492550 | 27.851092 | 35.724876 | 29.145446 | 36.840076 | 35.624315 | 40.048504 | 34.147742 | 17.937159 | 21.692111 | 20.9019942 | 22.6484928 | 40.260604 | 26.993694 | 14.938320 | 25.537245 | 36.008266 | 24.863460 | 24.710853 | 20.440958 | 23.8338686 | 32.765091 | 18.168800 | 28.608891 | 25.471005 |
| 44671 | 28.631421 | 23.531111 | 21.141422 | 37.304270 | 28.867477 | 42.211751 | 17.707123 | 42.695026 | 19.848733 | 27.062422 | 15.422633 | 30.482113 | 37.954359 | 15.955085 | 20.19464 | 26.262550 | 34.05957 | 27.291522 | 48.510281 | 30.251761 | 35.276330 | 29.256670 | 25.568413 | 33.9519922 | 30.306769 | 37.812174 | 15.703629 | 40.100554 | 34.920289 | 50.5042983 | 37.596066 | 33.661668 | 10.825905 | 27.3845423 | 22.764289 | 28.461862 | 24.584620 | 30.173216 | 39.198863 | 26.376430 | 25.076983 | 17.960793 | 24.185669 | 38.138655 | 26.933405 | 19.380924 | 27.047276 | 41.414819 | 19.896131 | 22.291525 | 29.5423310 | 41.0756986 | 7.879394 | 43.801644 | 25.099423 | 41.684462 | 21.117235 | 24.363584 | 40.929859 | 36.524487 | 18.7296810 | 14.348734 | 24.518714 | 17.259258 | 38.424020 |
| 28645 | 32.118512 | 40.152986 | 37.748109 | 40.560045 | 45.093281 | 35.728998 | 31.765203 | 49.748597 | 28.383336 | 44.194308 | 28.301340 | 17.780528 | 38.196216 | 33.046693 | 40.76483 | 44.400567 | 44.52034 | 43.765462 | 48.290784 | 38.668918 | 46.432757 | 53.568379 | 39.303018 | 35.7918873 | 33.464773 | 35.626613 | 29.674641 | 41.855974 | 28.146844 | 37.5262841 | 24.383400 | 33.157365 | 16.700455 | 39.9004943 | 32.984144 | 43.937677 | 46.588145 | 40.096359 | 35.906911 | 45.523242 | 28.930931 | 32.110443 | 45.880152 | 43.181118 | 26.207800 | 40.315531 | 47.446262 | 47.142435 | 24.571262 | 51.829404 | 28.3218100 | 45.2325864 | 26.228839 | 22.879433 | 37.327980 | 27.582523 | 38.840097 | 38.173628 | 32.823960 | 33.578405 | 31.3796526 | 36.974637 | 42.438304 | 43.643628 | 35.985019 |
| 73025 | 15.559144 | 25.559303 | 25.214893 | 10.878793 | 13.567701 | 11.198338 | 24.685443 | 26.070656 | 38.605174 | 30.942294 | 22.640865 | 26.797701 | 31.593117 | 21.627268 | 38.58525 | 22.057030 | 22.97168 | 27.838545 | 28.346899 | 20.003313 | 26.525194 | 17.315182 | 11.520959 | 22.2924195 | 18.834339 | 31.771756 | 52.962975 | 9.290169 | 19.515770 | 18.8228376 | 40.458665 | 35.353569 | 33.047164 | 16.7128062 | 24.105658 | 24.865546 | 34.513672 | 24.010676 | 37.259487 | 26.462252 | 28.276279 | 37.547261 | 20.733704 | 13.120040 | 32.699129 | 14.593880 | 34.253872 | 35.362086 | 24.151893 | 31.027468 | 28.8898846 | 25.9153080 | 20.890618 | 22.519894 | 31.401785 | 27.493076 | 21.388671 | 12.653832 | 35.688083 | 26.121491 | 31.0403906 | 26.399097 | 35.567288 | 29.611060 | 39.750462 |
| 92596 | 39.369611 | 21.191599 | 17.702082 | 27.545505 | 18.465859 | 34.311919 | 22.738736 | 35.182882 | 12.612692 | 42.715767 | 14.557398 | 52.322938 | 39.971449 | 21.167120 | 24.77349 | 20.455362 | 19.69425 | 33.636945 | 38.013509 | 36.256876 | 17.819419 | 16.287691 | 14.358640 | 23.8542534 | 19.533376 | 43.377426 | 22.283946 | 18.800117 | 39.533172 | 37.7108432 | 36.159197 | 50.657116 | 27.488181 | 40.2388390 | 13.498948 | 45.230098 | 35.626719 | 22.363126 | 18.406288 | 19.658327 | 42.093569 | 24.371512 | 26.893399 | 25.650244 | 47.957802 | 27.237045 | 26.459507 | 37.896451 | 18.604437 | 32.451830 | 29.1840315 | 33.0323084 | 24.867042 | 27.544822 | 12.771734 | 24.381619 | 33.116287 | 26.067718 | 44.395222 | 17.503678 | 39.1828538 | 30.216397 | 38.929366 | 18.780620 | 23.204369 |
| 49440 | 47.592005 | 27.239499 | 10.358509 | 33.510366 | 28.072899 | 33.410149 | 31.895185 | 31.637863 | 25.037077 | 24.962097 | 47.909912 | 25.962041 | 32.500675 | 20.090719 | 43.05471 | 45.460354 | 31.25827 | 26.617756 | 22.813129 | 38.103557 | 34.898222 | 35.936290 | 8.112803 | 23.3107994 | 36.749529 | 24.480149 | 36.775527 | 21.899818 | 21.391308 | 40.6093404 | 22.852118 | 36.076969 | 53.953871 | 33.9096123 | 34.556964 | 47.209185 | 40.308251 | 26.187391 | 38.394453 | 28.697843 | 41.450602 | 23.469604 | 38.676773 | 19.222080 | 26.150293 | 36.846613 | 40.343910 | 16.496230 | 28.163971 | 37.241423 | 47.6517151 | 31.8235207 | 20.055260 | 36.270407 | 36.340684 | 28.783229 | 50.757836 | 47.331902 | 32.711334 | 52.699154 | 42.3838275 | 32.683286 | 44.045419 | 48.418439 | 35.086407 |
| 67301 | 37.136206 | 44.411907 | 9.055689 | 25.901982 | 50.426618 | 37.328023 | 14.681972 | 16.320715 | 25.036519 | 16.821621 | 31.044024 | 44.629776 | 18.791017 | 17.746710 | 24.13037 | 23.596298 | 43.55149 | 24.984763 | 24.049156 | 35.790627 | 33.948683 | 5.313142 | 16.477825 | 20.1697763 | 44.514068 | 32.595726 | 41.930104 | 24.108071 | 44.146758 | 0.8717352 | 43.642893 | 36.001531 | 35.306284 | 37.0005844 | 36.858530 | 22.914618 | 23.627442 | 31.170685 | 40.811253 | 37.931149 | 25.482418 | 14.066166 | 30.101696 | 19.318656 | 30.629997 | 36.633985 | 26.068824 | 42.361805 | 41.251127 | 33.005341 | 44.9536952 | 14.3488019 | 21.280839 | 34.223318 | 26.761354 | 26.296354 | 30.321631 | 24.643857 | 17.861890 | 37.165097 | 27.5520971 | 26.227446 | 41.026413 | 38.848638 | 19.402127 |
| 79823 | 31.182794 | 42.195507 | 25.313050 | 26.544142 | 22.177286 | 38.606651 | 27.474083 | 26.065698 | 13.507050 | 22.070480 | 35.374526 | 37.842492 | 23.268529 | 6.903543 | 31.53236 | 33.167088 | 27.66212 | 11.250093 | 30.994778 | 41.836351 | 33.607815 | 18.947005 | 13.956319 | 21.8398600 | 38.635221 | 24.798599 | 21.758860 | 16.986873 | 24.941486 | 25.7928978 | 36.264639 | 20.607355 | 37.886142 | 42.6396394 | 23.459874 | 40.064459 | 36.677735 | 23.792032 | 44.176387 | 14.922586 | 33.788289 | 17.406838 | 30.683310 | 25.152263 | 28.605422 | 45.029448 | 54.126099 | 33.001165 | 21.028594 | 22.000732 | 35.8692609 | 27.9533415 | 19.562250 | 33.229261 | 26.216285 | 30.201029 | 34.146095 | 39.570878 | 23.724673 | 28.858356 | 31.0655043 | 31.992899 | 38.828805 | 37.751964 | 28.307361 |
| 39228 | 44.204919 | 25.237955 | 34.330695 | 32.912808 | 32.804909 | 37.796058 | 23.388084 | 27.424953 | 14.419296 | 30.216233 | 31.154212 | 28.788038 | 21.800995 | 29.762266 | 46.37470 | 24.673554 | 40.81188 | 30.910479 | 33.812789 | 38.132959 | 25.833923 | 21.639172 | 15.998879 | 24.5136277 | 30.233666 | 27.435132 | 25.153359 | 17.240430 | 25.651582 | 29.0473463 | 24.640555 | 22.400573 | 32.261913 | 31.8503798 | 36.274764 | 22.373292 | 34.943936 | 25.439763 | 34.435818 | 35.404825 | 46.002028 | 26.856677 | 43.098949 | 9.485391 | 20.155713 | 34.259468 | 37.460904 | 26.799550 | 26.278234 | 28.318725 | 37.1736726 | 24.3701581 | 16.602542 | 44.971931 | 22.160447 | 35.921308 | 30.991572 | 38.207989 | 8.597272 | 23.606886 | 32.3068128 | 35.994538 | 26.125278 | 36.263168 | 25.766706 |
| 80774 | 34.860171 | 35.961321 | 33.794436 | 29.701055 | 16.161518 | 19.090926 | 38.492206 | 34.101263 | 52.056007 | 31.896786 | 24.363568 | 21.484450 | 39.669580 | 30.385617 | 24.41208 | 43.516503 | 16.95084 | 24.934490 | 33.616017 | 36.536271 | 30.144079 | 36.182159 | 39.426285 | 43.5036879 | 37.475920 | 18.740241 | 1.097806 | 48.120550 | 23.446780 | 37.7775229 | 27.626653 | 15.991906 | 26.386952 | 20.3139682 | 19.706734 | 21.131888 | 41.983997 | 31.726747 | 28.841090 | 37.962720 | 50.763514 | 40.422031 | 10.102373 | 34.751778 | 31.255391 | 39.411375 | 29.845919 | 15.683134 | 19.886359 | 22.302229 | 41.7759963 | 27.5385701 | 45.420974 | 21.480362 | 16.370803 | 24.058966 | 38.447446 | 37.895303 | 33.408668 | 38.879258 | 48.1010237 | 26.259612 | 31.732025 | 41.763899 | 28.965940 |
| 24429 | 42.553033 | 35.577170 | 26.154832 | 18.958634 | 42.064993 | 45.290458 | 34.852027 | 19.978657 | 29.150136 | 27.692622 | 28.822526 | 20.451297 | 17.855789 | 29.731334 | 13.26094 | 13.678831 | 41.84462 | 35.427779 | 28.361395 | 13.819344 | 50.277365 | 23.315734 | 31.137217 | 35.9912923 | 32.113428 | 21.794540 | 30.093479 | 38.054640 | 26.285999 | 19.9478432 | 25.721463 | 17.797799 | 22.922652 | 35.4855811 | 36.512011 | 34.602814 | 25.133231 | 52.292368 | 24.569207 | 24.143422 | 35.699965 | 48.545818 | 23.538483 | 39.543292 | 27.928918 | 28.150406 | 32.413930 | 25.708663 | 43.849543 | 25.619551 | 35.8458527 | 38.9113498 | 39.098432 | 35.929912 | 30.732053 | 28.746942 | 26.886615 | 32.957749 | 6.991291 | 31.915647 | 36.9903421 | 28.124732 | 35.825827 | 27.586958 | 26.637331 |
| 33076 | 35.067335 | 37.278264 | 26.807831 | 39.070281 | 19.037626 | 34.697956 | 27.108276 | 39.158880 | 26.053809 | 37.268877 | 29.791181 | 43.741464 | 27.456055 | 29.996405 | 22.44319 | 25.245702 | 39.68397 | 36.553837 | 33.479596 | 27.531605 | 21.985100 | 30.395162 | 29.318328 | 43.4731907 | 34.473074 | 28.517359 | 25.486798 | 30.079739 | 28.584730 | 30.3813338 | 34.773626 | 39.426647 | 29.795611 | 33.1513162 | 25.245529 | 33.989382 | 27.105814 | 34.624469 | 28.530324 | 23.943280 | 32.683560 | 20.848766 | 35.248421 | 27.246520 | 30.314894 | 20.804265 | 37.339788 | 30.873789 | 34.812074 | 45.522698 | 35.0709470 | 30.0690975 | 15.066717 | 42.953771 | 25.232817 | 35.762870 | 34.563651 | 32.602125 | 24.128641 | 31.666530 | 31.5936880 | 28.210334 | 35.729066 | 29.415934 | 24.012232 |
| 80140 | 26.943616 | 44.733251 | 25.136482 | 23.063649 | 36.409965 | 42.873643 | 16.780054 | 18.796209 | 38.469994 | 29.579931 | 22.905738 | 41.728906 | 13.235198 | 29.010668 | 22.20629 | 30.471276 | 42.78440 | 26.402171 | 29.486422 | 39.823483 | 32.097235 | 34.698490 | 34.817329 | 40.5546721 | 27.538450 | 47.122783 | 39.004170 | 26.231577 | 42.245179 | 37.3706963 | 32.922535 | 25.790250 | 30.575351 | 23.5586407 | 36.239811 | 42.103025 | 22.766544 | 51.069513 | 36.110319 | 29.950150 | 27.982446 | 24.457108 | 24.121689 | 22.607949 | 42.111628 | 20.083687 | 22.617047 | 26.012068 | 33.307230 | 28.145243 | 31.2455604 | 31.4779670 | 35.764572 | 31.024848 | 41.464184 | 43.753856 | 36.250940 | 23.542515 | 39.892324 | 29.057433 | 34.9362445 | 30.126134 | 23.673414 | 29.583095 | 24.432556 |
| 55837 | 56.291057 | 28.321341 | 12.883891 | 11.589430 | 36.850943 | 51.446967 | 26.830115 | 15.033401 | 16.560443 | 9.836096 | 41.160809 | 20.895457 | 17.760908 | 26.864395 | 15.45144 | 29.204209 | 32.30257 | 32.319702 | 23.798899 | 24.670122 | 41.180502 | 22.128655 | 31.264407 | 41.5792394 | 31.491219 | 23.645733 | 13.554747 | 16.808993 | 18.703089 | 13.2562410 | 35.231930 | 24.348016 | 33.233338 | 38.2534018 | 40.229502 | 38.574321 | 21.871206 | 28.856715 | 32.620794 | 42.097403 | 37.688036 | 19.599601 | 36.483215 | 28.993967 | 26.787766 | 43.601447 | 32.355920 | 37.103776 | 34.909831 | 25.111639 | 30.8837289 | 24.7496077 | 24.395254 | 23.070857 | 27.885043 | 36.503811 | 44.802617 | 32.443060 | 29.584493 | 22.389538 | 41.4586385 | 32.233830 | 40.443857 | 41.962173 | 23.931231 |
| 56993 | 17.091827 | 27.970720 | 31.786935 | 44.045700 | 40.902280 | 18.067058 | 27.087843 | 48.932047 | 34.574560 | 41.054310 | 42.982010 | 27.970752 | 52.923210 | 32.800589 | 54.02447 | 16.278174 | 34.80411 | 45.798669 | 39.068758 | 23.487129 | 35.926384 | 42.401716 | 40.406259 | 17.2805777 | 25.508193 | 40.772740 | 39.104383 | 46.541871 | 31.405500 | 47.9415821 | 15.627425 | 19.097092 | 27.572787 | 25.6536835 | 22.559425 | 14.155772 | 47.311169 | 12.962581 | 27.100239 | 37.509522 | 46.395358 | 35.970954 | 37.688883 | 37.481774 | 27.752844 | 41.684043 | 14.176880 | 37.650722 | 36.646518 | 42.781470 | 17.2873482 | 59.5208967 | 38.458998 | 30.832080 | 27.350508 | 18.211928 | 42.324752 | 18.444692 | 42.482088 | 31.746776 | 34.8599546 | 15.455200 | 21.368745 | 26.918252 | 29.089910 |
| 37843 | 37.299534 | 19.545668 | 21.043538 | 29.278050 | 25.257687 | 30.719925 | 32.586043 | 33.020043 | 25.763652 | 39.648243 | 36.354152 | 47.630202 | 19.409346 | 27.236831 | 34.95811 | 33.857095 | 24.39212 | 46.805480 | 46.545086 | 36.554103 | 35.323586 | 34.343665 | 39.889068 | 30.4825710 | 36.772467 | 25.514042 | 38.677399 | 27.906136 | 31.340386 | 19.3111765 | 22.505028 | 29.964492 | 29.881463 | 29.3706689 | 28.711016 | 22.404849 | 17.323580 | 24.531277 | 29.862578 | 22.404873 | 17.847514 | 24.496217 | 28.732397 | 25.802227 | 27.039775 | 21.472203 | 17.722675 | 17.905194 | 37.146774 | 34.892389 | 23.0780352 | 29.2007006 | 27.410040 | 37.744996 | 34.777456 | 17.884580 | 26.746099 | 42.810977 | 33.692788 | 35.425597 | 18.4076258 | 21.728103 | 37.103715 | 31.535869 | 24.917603 |
| 54460 | 49.850366 | 27.031114 | 38.549359 | 22.720750 | 21.053714 | 54.168701 | 35.567073 | 26.819106 | 24.823631 | 28.320586 | 48.983832 | 40.625713 | 19.970865 | 20.165004 | 21.34387 | 25.911097 | 18.81699 | 24.526525 | 23.016154 | 47.389786 | 32.823322 | 34.924694 | 29.597962 | 39.8706264 | 32.827273 | 53.331985 | 34.870999 | 38.466024 | 40.877288 | 31.2085964 | 31.212360 | 51.356212 | 45.145682 | 49.9398269 | 32.110224 | 35.614024 | 34.250905 | 32.460858 | 42.563985 | 42.576014 | 22.699850 | 46.544124 | 39.693453 | 22.435602 | 49.678655 | 42.142705 | 37.060240 | 36.399948 | 28.771532 | 35.288142 | 25.3099020 | 22.5385738 | 34.798573 | 19.594097 | 30.165525 | 38.006087 | 54.893943 | 41.710678 | 31.476015 | 29.689787 | 9.4388904 | 38.328069 | 57.676979 | 49.854915 | 36.371973 |
| 88641 | 21.102250 | 18.013433 | 38.381162 | 27.519922 | 28.707818 | 54.460858 | 37.761415 | 11.356956 | 38.327185 | 27.249985 | 35.505003 | 28.743238 | 14.837592 | 40.986905 | 21.37655 | 44.910526 | 27.04519 | 26.473045 | 17.597863 | 26.504489 | 26.304299 | 31.079887 | 30.881751 | 23.8849323 | 25.531339 | 38.751641 | 30.055165 | 31.207869 | 25.430584 | 8.3887837 | 20.096488 | 26.955083 | 33.131952 | 26.5727279 | 26.638254 | 25.963741 | 31.811469 | 25.719997 | 24.983812 | 31.062545 | 21.224612 | 42.352725 | 37.417163 | 45.844733 | 36.195249 | 37.016000 | 34.689552 | 39.995062 | 10.302186 | 26.443261 | 18.7050827 | 33.1596037 | 45.572215 | 20.437723 | 20.904658 | 11.191712 | 30.138888 | 40.866835 | 22.090545 | 15.869965 | 18.9613997 | 50.169024 | 49.152926 | 56.500473 | 35.124801 |
| 65296 | 30.092233 | 17.468024 | 32.973273 | 28.535634 | 25.354057 | 21.885100 | 42.669116 | 21.675829 | 50.997378 | 36.815802 | 29.634873 | 51.293082 | 24.658123 | 30.483556 | 37.61129 | 33.238732 | 17.77875 | 29.115980 | 33.519696 | 29.440416 | 19.975594 | 41.165339 | 53.330376 | 22.4767294 | 30.936562 | 56.162341 | 50.741205 | 52.318179 | 41.998621 | 44.1201974 | 29.745635 | 40.365631 | 23.209578 | 20.3631333 | 24.223132 | 29.013701 | 39.860165 | 30.000040 | 30.943510 | 31.360836 | 31.331857 | 42.281641 | 19.573851 | 30.224603 | 42.705706 | 32.651577 | 35.066985 | 61.775693 | 19.359671 | 43.480030 | 7.4746819 | 9.2897566 | 37.540521 | 22.693969 | 28.255399 | 26.416799 | 22.520677 | 40.610328 | 28.164861 | 25.320642 | 36.4175179 | 23.390062 | 23.983917 | 33.858795 | 33.582952 |
| 88082 | 32.157957 | 40.019433 | 31.101260 | 30.820729 | 34.628624 | 24.544082 | 34.376427 | 29.138851 | 29.973109 | 17.689081 | 36.897028 | 17.707984 | 36.878786 | 14.986314 | 34.55580 | 26.806369 | 35.56000 | 22.681137 | 46.829184 | 31.554865 | 42.756990 | 29.227812 | 37.008746 | 40.3397209 | 34.372949 | 15.829363 | 31.716790 | 37.066825 | 20.728892 | 23.6571465 | 50.537104 | 27.958348 | 39.050588 | 41.1432799 | 50.458807 | 29.688522 | 42.040382 | 36.838535 | 21.290237 | 37.657697 | 43.748945 | 23.330419 | 31.265343 | 32.899187 | 35.456977 | 21.543644 | 31.840759 | 32.980385 | 41.371414 | 35.220813 | 49.9924436 | 45.7832173 | 27.712092 | 44.653682 | 45.944453 | 36.078517 | 35.622877 | 16.059600 | 26.489351 | 45.885273 | 45.2347146 | 16.437147 | 24.257292 | 20.644243 | 45.088165 |
| 32719 | 29.807441 | 32.684950 | 36.489655 | 32.710853 | 28.110391 | 27.469694 | 21.546154 | 17.672818 | 17.519706 | 34.505330 | 29.707318 | 1.051632 | 33.909281 | 27.933080 | 23.82512 | 22.803103 | 29.94597 | 30.166801 | 26.286683 | 36.179680 | 31.040777 | 18.580806 | 7.228111 | 13.4782367 | 11.063285 | 22.454463 | 17.482261 | 26.286671 | 23.860684 | 15.6605859 | 31.049662 | 25.325065 | 30.756069 | 31.5572682 | 19.167228 | 25.209477 | 23.014019 | 20.153229 | 31.992929 | 15.795846 | 33.959522 | 20.209093 | 18.800731 | 17.320500 | 20.728577 | 40.437050 | 32.098881 | 19.297281 | 19.563315 | 25.630732 | 29.8017948 | 33.9675797 | 28.682752 | 24.513313 | 19.475308 | 24.123200 | 34.732852 | 33.163500 | 34.395832 | 21.887542 | 35.7690743 | 23.975785 | 53.151500 | 41.363978 | 33.469390 |
| 50228 | 26.548839 | 40.159515 | 31.289990 | 27.651806 | 19.969608 | 28.092737 | 33.777023 | 23.938798 | 39.334327 | 31.725883 | 39.362070 | 35.122476 | 41.386610 | 33.707030 | 46.30391 | 35.937287 | 34.93491 | 30.504167 | 38.073625 | 41.780882 | 31.302762 | 25.312861 | 27.824331 | 21.2289972 | 44.372169 | 34.574377 | 57.157701 | 21.301413 | 28.446566 | 32.8019400 | 29.400698 | 44.222730 | 32.044755 | 28.4438766 | 39.830150 | 20.429484 | 30.574494 | 27.827885 | 30.311053 | 26.939640 | 25.974261 | 29.738393 | 43.873394 | 25.243209 | 40.719100 | 35.770865 | 11.192300 | 25.419365 | 35.233844 | 31.577931 | 46.6701627 | 18.7391167 | 33.001521 | 28.945174 | 31.312028 | 32.487452 | 34.805419 | 27.108119 | 25.062926 | 41.966521 | 12.5800994 | 29.174357 | 36.113394 | 41.391799 | 11.513271 |
| 73421 | 25.400252 | 51.675805 | 38.971445 | 29.207032 | 27.759218 | 38.755731 | 36.723627 | 35.162050 | 35.634251 | 23.575532 | 23.696171 | 30.248119 | 34.721026 | 31.129630 | 29.99285 | 30.482609 | 26.59785 | 32.611425 | 23.958193 | 31.811963 | 35.539476 | 17.866866 | 30.786091 | 40.1672414 | 48.243318 | 39.170412 | 34.680859 | 21.299989 | 24.443246 | 23.7869077 | 44.427882 | 15.003556 | 20.846337 | 20.1596969 | 33.655539 | 34.508693 | 36.672567 | 23.420446 | 27.279287 | 27.882305 | 22.695625 | 31.237728 | 33.910604 | 20.971293 | 28.841548 | 27.820093 | 31.638713 | 32.445758 | 30.527473 | 29.895342 | 30.2511744 | 28.1205265 | 28.331873 | 35.316302 | 30.915962 | 45.655899 | 29.129097 | 39.716415 | 12.053910 | 31.963761 | 18.0684272 | 32.050710 | 21.859938 | 36.839807 | 18.446585 |
| 90981 | 20.638565 | 27.719040 | 37.492694 | 25.963211 | 38.372933 | 27.917673 | 21.866666 | 12.230388 | 52.492960 | 27.466223 | 35.241796 | 31.763602 | 11.687276 | 32.510727 | 23.19826 | 32.700910 | 31.93667 | 16.242677 | 40.430545 | 26.670800 | 36.011434 | 41.970802 | 33.849232 | 20.0443383 | 21.795966 | 36.650404 | 28.627335 | 31.414607 | 30.144462 | 35.0330037 | 20.969546 | 30.191315 | 38.384442 | 22.5556248 | 11.847821 | 32.183250 | 20.943188 | 18.681820 | 37.492478 | 39.553919 | 35.770674 | 42.702216 | 39.931612 | 40.561822 | 19.060626 | 38.423007 | 20.742876 | 12.270856 | 24.813878 | 24.701554 | 12.9861682 | 28.1713243 | 33.499385 | 26.523610 | 28.383125 | 39.792794 | 36.490420 | 35.487965 | 13.729951 | 17.115482 | 44.4781547 | 29.320080 | 40.006476 | 41.326181 | 18.300699 |
| 55926 | 28.373600 | 41.029635 | 29.528688 | 29.716949 | 47.910267 | 31.367745 | 50.479192 | 25.531891 | 36.782574 | 52.076121 | 20.228002 | 44.986186 | 46.511529 | 22.758050 | 30.67905 | 21.411408 | 28.16836 | 26.023795 | 25.099365 | 11.518596 | 39.010543 | 43.655801 | 47.427233 | 40.2243238 | 44.714998 | 37.807028 | 34.283552 | 45.527283 | 38.553659 | 31.2726414 | 31.676185 | 40.678285 | 9.130784 | 31.0745726 | 38.321445 | 24.278742 | 38.825100 | 47.201642 | 21.042906 | 45.290923 | 26.032313 | 22.457628 | 21.214387 | 32.049263 | 35.844465 | 12.928247 | 33.298171 | 34.579071 | 21.580677 | 42.512713 | 31.5719198 | 23.5060844 | 31.215767 | 32.726869 | 33.592000 | 35.176735 | 17.830856 | 23.875070 | 27.715664 | 33.923950 | 18.7190656 | 27.567279 | 26.382412 | 29.626919 | 21.393443 |
| 49857 | 30.142449 | 28.396649 | 27.184411 | 37.346653 | 24.500856 | 26.148385 | 24.862774 | 36.872258 | 32.304591 | 37.727728 | 10.593937 | 35.729252 | 37.836285 | 26.564473 | 26.14587 | 12.286223 | 36.67752 | 35.806791 | 25.916621 | 31.884284 | 22.384088 | 35.789599 | 39.238305 | 28.7547003 | 42.401083 | 23.118147 | 40.278388 | 35.868212 | 37.748586 | 31.5276914 | 38.320223 | 27.307259 | 25.555210 | 16.9962229 | 45.310864 | 30.489950 | 27.751763 | 31.589024 | 21.597838 | 36.980648 | 28.301637 | 37.316465 | 24.951953 | 15.259211 | 29.343595 | 30.733141 | 30.070228 | 17.994291 | 42.334037 | 41.498242 | 28.4748682 | 27.5900451 | 33.764976 | 32.594788 | 39.683142 | 38.350628 | 26.277379 | 28.528943 | 34.673531 | 38.077686 | 28.1792979 | 16.523215 | 37.287905 | 20.234911 | 34.209010 |
| 51945 | 35.586028 | 30.857750 | 27.346254 | 39.518663 | 19.385941 | 28.073912 | 39.968116 | 38.753240 | 26.121575 | 28.062897 | 39.866021 | 20.369680 | 43.801177 | 45.452956 | 30.65766 | 40.412408 | 21.63836 | 25.241121 | 35.813350 | 29.038027 | 39.839006 | 22.969356 | 31.578112 | 26.3047270 | 34.926563 | 21.483596 | 23.515512 | 35.664570 | 33.121473 | 19.5635743 | 11.336031 | 32.615996 | 36.767827 | 42.0215666 | 27.539996 | 17.302462 | 36.178736 | 29.901103 | 36.975612 | 23.510169 | 29.052402 | 30.642416 | 28.190962 | 38.669091 | 25.349171 | 35.505789 | 27.668008 | 34.648665 | 34.735580 | 43.044811 | 20.3938320 | 31.3849832 | 30.943647 | 27.573437 | 37.948322 | 34.124401 | 29.437781 | 31.367346 | 31.123935 | 34.779829 | 26.3352477 | 31.041712 | 32.941144 | 28.887585 | 42.031182 |
| 43389 | 36.661933 | 24.203605 | 21.003895 | 24.254482 | 21.226479 | 33.750161 | 33.292483 | 24.751179 | 27.068539 | 30.853937 | 42.613704 | 32.566119 | 40.291638 | 21.932111 | 33.08292 | 24.017046 | 20.67578 | 29.377255 | 23.296651 | 18.938633 | 21.701294 | 18.409417 | 17.374946 | 26.6673909 | 17.153418 | 21.328089 | 46.187647 | 22.343100 | 50.307993 | 36.8280920 | 19.182799 | 36.411879 | 19.699398 | 30.7854775 | 16.686720 | 23.411928 | 26.436695 | 22.234491 | 20.550634 | 20.622346 | 45.423535 | 11.710235 | 34.011529 | 18.698466 | 34.704256 | 31.900049 | 14.169588 | 39.032372 | 13.592396 | 16.781674 | 21.6464461 | 20.4724297 | 9.731794 | 34.145962 | 25.431100 | 20.857431 | 40.441533 | 28.287502 | 27.187868 | 23.558500 | 41.3279904 | 36.989362 | 27.705653 | 33.299596 | 19.705664 |
| 89998 | 25.298909 | 26.688077 | 41.210235 | 12.766144 | 29.376756 | 21.080219 | 27.535775 | 20.464682 | 28.771608 | 19.216062 | 39.007625 | 22.761743 | 27.871229 | 53.238559 | 21.26066 | 18.263202 | 50.50946 | 22.492345 | 25.780662 | 22.759865 | 28.682754 | 30.566610 | 42.201210 | 27.9087641 | 21.447952 | 22.167808 | 25.895937 | 35.720670 | 32.086432 | 37.5315775 | 26.482422 | 31.575370 | 36.394552 | 17.8428791 | 35.158329 | 17.412126 | 28.392276 | 27.230509 | 14.872626 | 33.644891 | 26.440813 | 23.427343 | 16.395471 | 34.650053 | 44.056020 | 25.046835 | 33.306001 | 32.729582 | 35.065387 | 25.151044 | 52.0884694 | 21.9031208 | 31.922781 | 47.852182 | 31.942588 | 35.043339 | 29.533255 | 25.118997 | 22.517323 | 27.785522 | 30.6718865 | 16.099374 | 26.294341 | 39.121273 | 21.500859 |
| 85556 | 22.554299 | 29.979727 | 30.427798 | 28.426858 | 42.828450 | 25.556149 | 11.150566 | 34.024293 | 19.634996 | 29.497382 | 26.306740 | 26.793117 | 27.055446 | 22.275699 | 37.29215 | 24.571525 | 36.09528 | 27.875519 | 18.231521 | 32.785482 | 17.536686 | 40.099985 | 25.562032 | 38.5568417 | 29.212220 | 36.023587 | 32.645989 | 40.168125 | 31.011257 | 33.3647750 | 36.954604 | 21.443828 | 40.691569 | 23.1393488 | 32.227733 | 16.804317 | 28.756379 | 25.984882 | 28.083113 | 18.089105 | 29.371986 | 23.241331 | 18.372704 | 26.307733 | 23.774754 | 29.895429 | 37.895770 | 33.176869 | 29.500170 | 29.029391 | 41.3902719 | 16.5660122 | 20.492842 | 22.194473 | 36.744781 | 34.273966 | 37.784201 | 34.637118 | 31.447064 | 19.546125 | 22.0564096 | 34.581337 | 32.827119 | 32.149023 | 31.429807 |
| 24818 | 35.163454 | 24.376065 | 24.676656 | 27.853979 | 33.215515 | 46.104355 | 46.842039 | 26.015915 | 40.720525 | 30.029368 | 30.261416 | 22.168505 | 43.086315 | 33.064504 | 22.79823 | 41.385201 | 34.28664 | 28.011211 | 23.684410 | 29.433801 | 31.107626 | 37.005513 | 29.998566 | 31.0257236 | 27.619160 | 30.819401 | 41.222089 | 35.786258 | 35.740865 | 26.6068220 | 34.809045 | 35.404682 | 42.354501 | 49.5507312 | 27.547292 | 31.622365 | 21.681193 | 46.250084 | 27.104488 | 33.372169 | 33.365683 | 37.067662 | 26.435376 | 36.375152 | 39.373227 | 28.215688 | 42.432421 | 39.715872 | 32.433264 | 27.482456 | 18.6722796 | 32.2662965 | 26.032828 | 46.809654 | 28.924927 | 33.243462 | 26.867851 | 32.602415 | 18.962156 | 23.116180 | 25.0666911 | 36.169717 | 38.485428 | 32.239324 | 28.943578 |
| 74548 | 30.993056 | 26.662672 | 21.422579 | 30.263368 | 24.738401 | 31.627381 | 21.208400 | 23.775332 | 32.870076 | 37.500330 | 32.902758 | 38.306198 | 28.868524 | 28.409288 | 48.89111 | 41.410063 | 26.15785 | 39.098213 | 27.679186 | 26.871948 | 31.537770 | 30.318569 | 42.690451 | 25.2030840 | 33.210066 | 9.790877 | 27.851281 | 25.830511 | 45.128277 | 27.5372691 | 31.212159 | 30.702345 | 30.059280 | 30.0320147 | 31.873373 | 24.840684 | 21.615056 | 21.625273 | 35.341973 | 37.711947 | 30.313438 | 30.706574 | 30.855804 | 25.114068 | 29.118422 | 24.682835 | 32.540120 | 19.137525 | 27.408713 | 24.093393 | 37.7849045 | 33.6533452 | 30.896988 | 15.823008 | 20.223753 | 42.735453 | 43.553568 | 43.025941 | 33.506093 | 27.239775 | 35.4429725 | 31.466220 | 47.073787 | 28.406773 | 37.188388 |
| 58944 | 19.675156 | 24.726887 | 33.183272 | 36.341157 | 27.368564 | 36.606957 | 34.857340 | 30.644271 | 41.288143 | 34.416912 | 17.900908 | 37.595022 | 27.072290 | 29.762763 | 19.74335 | 10.745044 | 38.49924 | 22.272961 | 13.676640 | 14.547857 | 25.334190 | 43.436239 | 30.725883 | 22.4033611 | 30.174857 | 28.950025 | 36.695333 | 40.358526 | 25.412785 | 8.6373503 | 28.771566 | 24.811323 | 18.219245 | 24.0190765 | 16.363847 | 12.857181 | 28.635881 | 34.001464 | 23.836262 | 40.110247 | 41.504497 | 42.620080 | 31.373713 | 45.861952 | 28.186200 | 17.332204 | 19.564125 | 31.870602 | 19.104639 | 39.611820 | 25.4123314 | 26.1715226 | 60.596918 | 14.592693 | 18.915141 | 39.287720 | 21.984502 | 16.164946 | 17.359669 | 29.060146 | 39.1938928 | 31.706079 | 28.103037 | 27.359021 | 28.744515 |
| 56303 | 24.550362 | 25.223081 | 23.603308 | 21.400296 | 25.810918 | 35.046167 | 27.692299 | 35.259154 | 12.035891 | 35.567737 | 17.279519 | 44.085964 | 33.725196 | 10.949564 | 42.97405 | 14.145455 | 30.77811 | 27.339384 | 37.484201 | 14.151460 | 43.421265 | 33.926294 | 27.271535 | 28.4071897 | 31.908326 | 25.487454 | 19.503683 | 32.320764 | 28.782895 | 35.1943841 | 20.287279 | 35.743073 | 24.581384 | 28.5386328 | 28.330239 | 25.764559 | 46.895909 | 29.185889 | 17.455341 | 24.975219 | 35.018555 | 24.658325 | 14.057144 | 9.588534 | 42.117711 | 34.848389 | 23.503578 | 32.253281 | 29.598867 | 46.221737 | 34.7513767 | 39.6291591 | 22.436835 | 24.225185 | 33.800969 | 33.582363 | 25.055592 | 23.641473 | 28.879156 | 39.999247 | 39.5613356 | 19.394419 | 27.409421 | 21.878645 | 48.446195 |
| 82130 | 28.839644 | 33.215603 | 36.634081 | 24.484687 | 31.177013 | 37.726748 | 17.515657 | 33.516478 | 24.938788 | 31.580589 | 41.382277 | 50.190569 | 21.423617 | 25.634309 | 22.84273 | 29.251803 | 47.11628 | 36.018203 | 22.657115 | 31.698511 | 26.485158 | 33.874401 | 28.866132 | 30.3975346 | 29.810090 | 30.700393 | 28.451885 | 21.768430 | 15.343171 | 27.9626040 | 42.036347 | 26.220854 | 40.445202 | 40.0914452 | 20.490602 | 26.348403 | 31.927905 | 29.904806 | 22.908040 | 25.995000 | 26.798366 | 26.901710 | 33.652350 | 32.413582 | 16.779217 | 23.782093 | 21.780275 | 50.434887 | 34.640219 | 24.097386 | 28.6424687 | 29.7723512 | 30.630791 | 26.384603 | 32.865518 | 23.584810 | 39.286916 | 25.454419 | 40.260394 | 32.438899 | 20.6273210 | 36.098509 | 29.655958 | 24.922721 | 29.384304 |
| 90624 | 29.064979 | 31.423367 | 31.327026 | 29.407571 | 38.640951 | 27.534585 | 41.085827 | 31.531323 | 25.852012 | 28.737521 | 31.391480 | 15.986058 | 27.596331 | 24.285163 | 38.77718 | 24.220643 | 34.37504 | 34.231729 | 36.437919 | 22.562969 | 20.929944 | 36.815102 | 38.550403 | 40.7640250 | 40.545446 | 23.204379 | 17.286656 | 41.645120 | 20.633851 | 34.7645645 | 21.005199 | 27.938663 | 19.935676 | 17.6425069 | 27.111862 | 17.993037 | 35.940542 | 30.393185 | 30.122350 | 40.192325 | 30.357999 | 30.926777 | 14.102165 | 15.207738 | 9.877355 | 38.158196 | 22.263016 | 37.838765 | 25.519174 | 26.003991 | 26.3503964 | 39.1640923 | 34.764122 | 29.214222 | 30.851509 | 30.612447 | 35.204032 | 31.151135 | 23.252682 | 21.739273 | 33.0871495 | 35.287460 | 17.102841 | 24.961313 | 36.819234 |
| 58971 | 19.684029 | 38.891436 | 35.187192 | 31.859547 | 24.689670 | 22.674051 | 27.301160 | 43.740982 | 21.625473 | 40.889587 | 34.287739 | 41.029672 | 58.857989 | 20.605976 | 35.46098 | 19.571034 | 23.11867 | 36.857789 | 45.265096 | 38.291826 | 24.426167 | 36.322754 | 31.907001 | 24.6221194 | 27.652506 | 39.687970 | 41.420372 | 29.455725 | 46.496797 | 37.7175944 | 37.757379 | 39.581505 | 33.576833 | 23.6956662 | 24.652354 | 22.323725 | 44.776237 | 31.128993 | 36.054383 | 36.162270 | 43.286935 | 26.157874 | 23.309820 | 23.271153 | 38.940572 | 26.778773 | 23.444910 | 34.418369 | 35.812586 | 39.972287 | 31.4988558 | 22.5970095 | 20.108252 | 28.288836 | 27.267111 | 34.154340 | 29.937289 | 29.096664 | 46.342097 | 39.767127 | 44.7750831 | 35.976850 | 30.229257 | 34.321835 | 34.569911 |
| 92749 | 25.801052 | 25.805791 | 32.612326 | 22.007853 | 32.187016 | 32.923747 | 32.903404 | 39.115643 | 41.893379 | 39.552533 | 25.418053 | 16.488851 | 20.329157 | 35.701300 | 35.58646 | 34.900399 | 31.63869 | 16.906672 | 25.297310 | 36.399037 | 27.803000 | 32.649159 | 27.876614 | 26.4625918 | 25.913082 | 26.880166 | 28.189407 | 32.022071 | 27.788457 | 20.0976177 | 32.250611 | 20.703117 | 32.219310 | 30.3578141 | 40.683730 | 20.863735 | 23.558607 | 41.598827 | 39.547057 | 38.503994 | 29.467122 | 30.563949 | 10.431234 | 38.011670 | 27.936584 | 43.607151 | 36.853763 | 15.790463 | 20.112987 | 41.273007 | 26.5655541 | 21.8530406 | 17.730412 | 26.788887 | 33.382363 | 25.876066 | 20.160448 | 21.029399 | 21.978021 | 23.120159 | 24.8019840 | 31.259363 | 22.677331 | 23.706920 | 23.726774 |
| 45566 | 26.583192 | 29.982458 | 24.579268 | 31.658675 | 22.718284 | 32.224045 | 24.693885 | 33.867003 | 40.387735 | 35.511376 | 34.264533 | 40.582820 | 32.079732 | 8.692353 | 32.75426 | 39.361479 | 32.03118 | 30.023338 | 26.669717 | 34.082593 | 23.782759 | 28.398482 | 20.449192 | 32.9318576 | 24.301473 | 42.230315 | 37.022680 | 42.774217 | 41.977409 | 40.9251998 | 14.424537 | 34.245803 | 27.768333 | 28.7768892 | 35.747759 | 29.440824 | 27.711052 | 37.266153 | 47.232601 | 27.946364 | 29.051063 | 15.018062 | 25.935745 | 30.323416 | 33.332280 | 36.737514 | 28.066115 | 43.687858 | 27.882324 | 32.091021 | 37.8155287 | 38.6675171 | 31.488027 | 23.366170 | 45.210197 | 32.278551 | 32.432074 | 21.931678 | 31.509537 | 40.839650 | 30.4147903 | 27.533437 | 22.653444 | 31.149123 | 34.444319 |
| 41496 | 25.981489 | 38.036872 | 11.090978 | 25.122838 | 33.044584 | 25.590111 | 22.044129 | 23.901367 | 13.242268 | 22.631940 | 19.989030 | 33.577786 | 19.501967 | 18.547963 | 32.12320 | 26.240466 | 28.72965 | 10.045151 | 22.551652 | 24.734996 | 29.651509 | 27.478613 | 22.023138 | 14.2949119 | 31.372292 | 17.358071 | 32.894093 | 19.139761 | 29.667734 | 20.6518646 | 16.939101 | 38.557013 | 26.711555 | 25.5980264 | 36.804293 | 26.124434 | 21.818729 | 11.112613 | 20.359220 | 24.468060 | 32.478591 | 12.376986 | 14.639822 | 18.593983 | 25.090446 | 22.493977 | 34.648350 | 21.886717 | 25.677535 | 22.976636 | 31.9389134 | 8.4423428 | 3.792358 | 27.167311 | 28.388906 | 26.298311 | 30.209528 | 22.521878 | 15.747997 | 32.758096 | 27.9861805 | 26.883051 | 20.200317 | 25.369322 | 23.441060 |
| 52766 | 31.914660 | 13.243312 | 33.375099 | 38.927707 | 18.202145 | 27.140465 | 39.480033 | 46.900497 | 27.565879 | 30.684713 | 25.858022 | 46.230026 | 27.218307 | 36.356147 | 36.43644 | 26.380024 | 26.82327 | 31.319281 | 50.321161 | 17.092689 | 46.160292 | 32.854924 | 23.882763 | 36.0008288 | 44.526570 | 35.916800 | 44.919633 | 26.141744 | 29.441171 | 41.0482167 | 24.324049 | 49.152252 | 25.886378 | 33.4785454 | 24.332078 | 26.695742 | 37.625251 | 30.362971 | 21.555843 | 32.018500 | 37.101493 | 36.760490 | 25.276450 | 50.343318 | 35.588956 | 25.583685 | 31.165047 | 49.647814 | 32.184949 | 28.941914 | 31.8193352 | 36.7132714 | 44.725141 | 35.924831 | 30.512722 | 21.617285 | 24.537646 | 9.161712 | 33.917101 | 28.862260 | 34.0558674 | 30.830651 | 25.164639 | 26.860455 | 37.637884 |
| 32042 | 37.633643 | 42.015338 | 26.474331 | 38.158581 | 26.543835 | 38.348424 | 20.699144 | 25.480524 | 18.048877 | 23.149088 | 34.762803 | 48.022851 | 24.534198 | 23.485435 | 40.73449 | 24.123195 | 29.98146 | 28.030655 | 22.989257 | 39.572244 | 26.698877 | 38.550763 | 34.516115 | 19.4043449 | 40.760112 | 39.111137 | 41.129888 | 28.807493 | 42.010818 | 45.5307712 | 22.834458 | 34.051813 | 38.917823 | 34.7736533 | 38.492663 | 39.814909 | 28.604939 | 35.688234 | 25.110330 | 23.822001 | 41.410802 | 26.129061 | 29.996275 | 12.206899 | 41.716008 | 45.045941 | 51.761728 | 55.639406 | 46.961365 | 36.677338 | 33.9202929 | 17.6265319 | 17.574537 | 39.915773 | 29.565817 | 35.565448 | 39.769048 | 42.352035 | 21.589371 | 24.729289 | 45.7071567 | 29.564419 | 41.046115 | 36.148222 | 30.439921 |
| 29604 | 2.420639 | 34.343170 | 34.214025 | 25.413038 | 34.954166 | 7.064840 | 2.446944 | 48.511145 | 22.632237 | 28.564961 | 19.078566 | 20.392909 | 29.264223 | 25.149078 | 31.08646 | 19.994237 | 33.02836 | 18.708201 | 25.805493 | 19.948129 | 38.387501 | 32.292846 | 30.521602 | 39.5658046 | 24.120747 | 31.473172 | 37.501791 | 14.364597 | 35.617111 | 29.8602114 | 38.490792 | 34.179116 | 27.773948 | 21.1141408 | 18.358861 | 14.022599 | 31.719753 | 22.911239 | 5.672416 | 32.019540 | 32.343585 | 20.801648 | 9.368562 | 20.630559 | 27.657616 | 19.231063 | 20.998279 | 30.275459 | 28.541069 | 29.432911 | 39.5770855 | 36.5048450 | 25.905067 | 31.520186 | 33.596912 | 31.945084 | 9.318868 | 10.967399 | 28.738010 | 55.103217 | 25.2969364 | 6.336826 | 17.815075 | 12.647980 | 29.020860 |
| 49977 | 42.367982 | 35.628394 | 63.386302 | 31.798330 | 40.448562 | 30.101761 | 39.337573 | 36.887914 | 36.568364 | 24.853534 | 37.591616 | 29.847296 | 36.143351 | 27.957477 | 37.02924 | 34.340559 | 25.31018 | 39.323443 | 38.385332 | 41.386654 | 10.083117 | 37.621319 | 60.314151 | 15.0169239 | 25.306451 | 23.823680 | 22.522782 | 54.791080 | 35.588405 | 44.1317923 | 30.989500 | 15.966913 | 24.713221 | 37.8539147 | 16.465251 | 36.623721 | 39.711937 | 39.180785 | 18.003388 | 36.801627 | 31.950428 | 31.759733 | 29.862149 | 32.057185 | 31.106927 | 34.992052 | 36.640967 | 17.055519 | 22.983694 | 34.456634 | 22.6036969 | 29.6022130 | 39.479900 | 30.111803 | 15.854368 | 25.885809 | 18.719752 | 32.502697 | 26.915870 | 39.695951 | 23.3618381 | 37.220652 | 38.470079 | 49.145836 | 41.078735 |
| 57911 | 27.563231 | 28.559320 | 32.143933 | 31.375858 | 37.618114 | 34.451518 | 37.462498 | 18.394229 | 35.975890 | 26.381930 | 37.022688 | 33.097091 | 24.257594 | 34.246320 | 36.47430 | 25.862563 | 23.14319 | 16.881797 | 32.298564 | 49.190543 | 30.185376 | 22.986425 | 31.126531 | 29.8243196 | 29.690115 | 34.964104 | 37.756407 | 33.990819 | 34.775078 | 21.9119994 | 32.370885 | 35.383640 | 32.276739 | 40.5212656 | 39.083818 | 30.022748 | 22.742413 | 34.592808 | 28.549008 | 25.969251 | 35.076470 | 35.744223 | 29.974001 | 27.434696 | 26.682088 | 22.771443 | 29.037806 | 20.707621 | 36.691403 | 31.356441 | 47.8554236 | 35.3278471 | 40.409509 | 46.280040 | 34.733997 | 34.794080 | 38.992976 | 41.365593 | 19.828992 | 31.250416 | 36.1938261 | 24.781798 | 36.849967 | 28.623793 | 26.125580 |
| 66344 | 54.645202 | 11.035614 | 10.572752 | 15.970482 | 21.226332 | 44.203719 | 32.408571 | 21.994000 | 40.475916 | 35.014881 | 46.132466 | 17.129276 | 28.100962 | 35.055235 | 21.68471 | 27.836276 | 17.66537 | 29.855081 | 28.966335 | 49.191582 | 21.493740 | 35.688115 | 31.915562 | 25.7411588 | 20.392373 | 23.375946 | 34.563367 | 20.951144 | 24.298996 | 32.2049602 | 27.785324 | 32.026256 | 40.524600 | 34.2441085 | 28.119147 | 40.066902 | 29.390490 | 34.353319 | 20.842905 | 28.173495 | 23.220519 | 32.538293 | 37.419935 | 17.402624 | 14.755591 | 35.021397 | 30.650918 | 7.409551 | 22.281236 | 26.061563 | 22.7781923 | 30.3133879 | 27.853184 | 28.049751 | 23.953179 | 23.738666 | 44.365273 | 38.186699 | 25.079141 | 7.705860 | 28.4442333 | 36.756850 | 39.024579 | 39.985661 | 23.206388 |
| 50702 | 37.043993 | 34.504502 | 33.176157 | 26.366409 | 31.279278 | 36.229601 | 26.475961 | 33.497649 | 37.195412 | 44.340669 | 24.738809 | 18.797044 | 20.638128 | 30.628168 | 41.58706 | 39.412308 | 27.57748 | 39.461175 | 31.225094 | 33.590231 | 32.488211 | 20.877315 | 27.125501 | 19.7122918 | 28.905026 | 21.581079 | 34.547175 | 30.840974 | 50.795601 | 20.5083979 | 53.465832 | 31.291726 | 39.195158 | 32.2461337 | 35.709957 | 21.612459 | 27.759526 | 34.274145 | 45.437987 | 33.413021 | 31.356673 | 32.971294 | 49.486983 | 21.617422 | 38.985254 | 50.626975 | 23.758016 | 34.868828 | 22.269311 | 42.147342 | 30.4580303 | 27.7710489 | 34.890186 | 35.518282 | 46.657083 | 32.710939 | 38.417128 | 42.476754 | 39.225891 | 36.048613 | 31.6119820 | 39.994774 | 27.388793 | 36.210209 | 39.216273 |
| 42630 | 22.470427 | 31.870540 | 31.172381 | 41.719481 | 22.312694 | 18.458706 | 20.659351 | 23.400437 | 39.731265 | 21.406975 | 19.714254 | 29.244144 | 43.570788 | 47.210309 | 27.25521 | 26.370471 | 28.58592 | 39.527550 | 38.844207 | 22.494376 | 26.417629 | 11.611303 | 21.244297 | 22.8862197 | 27.320723 | 43.280345 | 37.863360 | 23.237833 | 38.229073 | 26.5923272 | 32.656383 | 48.708555 | 29.184987 | 5.5425522 | 39.649107 | 35.392699 | 15.833070 | 32.128845 | 34.914660 | 30.732693 | 26.355525 | 22.329751 | 30.676349 | 30.091716 | 30.059795 | 28.613132 | 35.334119 | 43.443950 | 18.283137 | 29.499964 | 36.7089062 | 23.3695986 | 40.955902 | 29.404510 | 32.553177 | 40.864469 | 25.306780 | 23.746300 | 40.892220 | 22.532867 | 32.2869982 | 27.505221 | 21.714625 | 19.764267 | 41.989114 |
| 36094 | 18.529789 | 30.598952 | 25.482553 | 20.154790 | 24.990048 | 36.885991 | 33.467088 | 22.677412 | 25.839710 | 24.684196 | 29.667619 | 44.886189 | 22.498179 | 27.396772 | 30.14602 | 32.975042 | 40.48107 | 25.666203 | 21.186857 | 31.984296 | 31.781585 | 30.733077 | 11.273877 | 26.8641541 | 45.634278 | 25.362282 | 31.836088 | 27.556718 | 33.470646 | 22.7882375 | 24.215875 | 13.327741 | 39.565115 | 22.7267340 | 31.601511 | 24.502873 | 25.814818 | 30.240062 | 41.279826 | 28.312274 | 22.583588 | 23.515597 | 31.738765 | 36.723352 | 38.662004 | 36.757522 | 13.756303 | 56.535813 | 33.755106 | 23.612212 | 41.0389808 | 17.4112685 | 26.794252 | 31.386537 | 25.481807 | 27.844465 | 30.148104 | 31.258362 | 32.830930 | 34.120409 | 16.5424188 | 29.769373 | 36.767640 | 29.454221 | 30.972742 |
| 65333 | 17.971763 | 56.767361 | 39.220730 | 35.427307 | 44.528725 | 25.721033 | 31.888592 | 29.868953 | 29.240232 | 26.199621 | 20.187628 | 6.509635 | 27.509253 | 46.955056 | 36.35383 | 29.181590 | 38.17227 | 35.964384 | 45.139237 | 25.258643 | 55.494393 | 24.263744 | 39.864062 | 54.1291305 | 51.637611 | 30.399516 | 34.434182 | 33.593338 | 33.953345 | 19.8619055 | 46.417922 | 15.983911 | 23.959431 | 20.5977289 | 52.610991 | 21.855252 | 32.607006 | 38.761615 | 17.966667 | 42.036375 | 38.454206 | 27.859322 | 15.409105 | 36.708156 | 27.531635 | 22.568164 | 29.814929 | 32.493854 | 56.616500 | 29.560212 | 33.0353730 | 22.2275172 | 28.714097 | 49.244374 | 44.611321 | 51.649406 | 27.729833 | 14.683170 | 41.614310 | 53.678939 | 39.7265878 | 21.475806 | 21.109306 | 21.016677 | 18.759779 |
| 29334 | 34.062828 | 49.605184 | 18.490858 | 40.074383 | 33.868652 | 22.509721 | 37.984761 | 27.169050 | 27.869983 | 33.897544 | 30.504221 | 29.497966 | 35.495895 | 30.156730 | 14.31515 | 25.757905 | 21.78094 | 34.654575 | 25.364069 | 17.304696 | 39.440429 | 30.086246 | 38.364430 | 28.1464969 | 30.281779 | 36.761378 | 26.606329 | 21.197555 | 33.130822 | 29.0808125 | 30.638066 | 22.064458 | 32.075775 | 18.3244556 | 40.933663 | 17.821532 | 18.214992 | 41.702240 | 37.970964 | 32.317966 | 32.183299 | 37.956816 | 26.309623 | 36.484784 | 38.026127 | 28.672402 | 20.124476 | 34.935465 | 48.873821 | 42.496141 | 40.7766412 | 32.8273714 | 40.336587 | 32.929739 | 26.979305 | 36.490964 | 23.834394 | 28.910074 | 33.751183 | 50.634411 | 29.5703141 | 24.818131 | 35.125265 | 29.130619 | 28.425423 |
| 50271 | 13.761845 | 31.233799 | 20.844944 | 41.849250 | 23.989193 | 10.167731 | 14.375827 | 35.880441 | 19.160313 | 33.969471 | 18.290171 | 31.590037 | 32.205355 | 14.880612 | 41.73247 | 29.995427 | 27.90507 | 34.693812 | 40.210306 | 23.899651 | 31.216352 | 10.246619 | 24.200831 | 28.1121763 | 21.839253 | 48.842523 | 38.214454 | 28.631820 | 45.082121 | 40.0896229 | 16.275789 | 18.213911 | 27.456925 | 24.6785376 | 31.641633 | 5.570391 | 27.825222 | 26.201480 | 18.420939 | 20.795501 | 25.479263 | 33.664946 | 31.349380 | 31.311047 | 39.240092 | 24.752512 | 11.264700 | 39.127579 | 31.675450 | 44.993665 | 21.9111589 | 32.5013081 | 32.646365 | 18.566429 | 25.331659 | 22.899223 | 31.011239 | 17.301127 | 42.851543 | 38.316571 | 33.6855688 | 30.535277 | 20.257158 | 25.353228 | 50.512292 |
| 28556 | 47.058194 | 24.812649 | 35.599363 | 39.325081 | 34.476010 | 34.209692 | 43.253144 | 26.737335 | 30.519277 | 38.034553 | 30.332739 | 33.697494 | 28.308347 | 28.717212 | 38.47558 | 35.928491 | 21.97285 | 42.400168 | 37.256979 | 39.807229 | 26.711402 | 38.889025 | 38.950170 | 39.2425833 | 35.519640 | 33.634327 | 42.017656 | 37.951478 | 32.640186 | 33.7289735 | 5.737966 | 45.880144 | 31.006734 | 39.5456454 | 22.106997 | 45.250629 | 34.320501 | 22.364881 | 41.988895 | 39.417642 | 10.486271 | 20.834903 | 39.159271 | 29.188490 | 32.806170 | 36.905948 | 39.869687 | 26.236428 | 23.473651 | 31.371644 | 7.2805844 | 37.7787579 | 47.278631 | 21.764705 | 27.193583 | 13.064582 | 30.912796 | 32.882613 | 29.299755 | 28.940803 | 11.4906690 | 29.576381 | 32.883672 | 36.801705 | 40.505262 |
| 67669 | 42.520041 | 11.635249 | 50.094274 | 36.934629 | 15.188864 | 20.467230 | 39.765972 | 31.174767 | 28.498740 | 27.481339 | 29.582855 | 13.366377 | 28.747839 | 27.621246 | 28.42769 | 17.879561 | 27.68174 | 39.890776 | 29.163268 | 27.697341 | 18.640185 | 39.537954 | 26.796144 | 26.8286080 | 32.661625 | 41.023734 | 30.155969 | 37.954333 | 18.701452 | 17.1272225 | 29.804327 | 14.982065 | 45.051259 | 35.8348655 | 39.457791 | 30.383367 | 26.913676 | 16.625443 | 37.229780 | 30.637672 | 12.004177 | 18.926490 | 26.368629 | 32.333400 | 26.168820 | 34.304790 | 29.985249 | 36.835481 | 22.783958 | 21.172898 | 9.7479860 | 32.5344937 | 36.323274 | 31.595080 | 34.096746 | 14.485547 | 34.876073 | 34.139011 | 25.535090 | 25.958180 | 27.6680285 | 36.377017 | 37.573817 | 34.224888 | 26.847442 |
| 61798 | 40.126583 | 32.204183 | 35.141387 | 39.601416 | 27.491318 | 49.164417 | 42.182952 | 48.952828 | 36.023399 | 40.840717 | 50.364951 | 30.357867 | 41.160698 | 45.711531 | 36.47764 | 28.745826 | 19.98333 | 31.854229 | 37.444373 | 39.225136 | 34.895721 | 46.812889 | 26.689137 | 7.8918990 | 17.347621 | 24.067068 | 35.580261 | 40.889919 | 25.755798 | 42.3474550 | 25.198538 | 33.417868 | 37.486306 | 35.9002611 | 24.164688 | 40.647848 | 35.807790 | 17.288436 | 33.546854 | 42.264296 | 33.965030 | 53.063821 | 40.377214 | 31.135338 | 37.372833 | 52.138082 | 39.192455 | 21.110163 | 33.925907 | 37.513202 | 21.6848216 | 23.5014896 | 38.041210 | 24.347429 | 5.032083 | 40.178027 | 48.763378 | 27.391201 | 21.596413 | 20.231999 | 26.2334657 | 41.986432 | 21.141824 | 47.518956 | 30.254263 |
| 70404 | 52.493603 | 41.768948 | 35.900692 | 42.688697 | 20.212863 | 26.854314 | 39.416809 | 31.921086 | 34.696643 | 33.921461 | 49.818098 | 32.654217 | 30.245177 | 26.909453 | 34.37609 | 38.711803 | 43.04855 | 32.148403 | 17.480070 | 36.521765 | 40.841705 | 38.401016 | 33.172644 | 19.0959805 | 46.682425 | 42.131637 | 38.438644 | 34.577533 | 33.350396 | 36.1601292 | 35.009782 | 25.216055 | 41.296295 | 42.4315717 | 26.310492 | 30.440295 | 28.050227 | 28.035071 | 37.714742 | 36.626688 | 46.525664 | 36.316548 | 42.006408 | 42.912736 | 34.657283 | 49.584213 | 39.696929 | 38.855250 | 41.471490 | 39.794077 | 9.6025612 | 38.1996139 | 30.299126 | 31.974974 | 30.195163 | 30.697864 | 39.894139 | 34.542337 | 20.683318 | 22.623065 | 44.6902204 | 34.847617 | 56.723373 | 49.928393 | 36.462807 |
| 82893 | 45.761195 | 30.974428 | 25.427195 | 20.103658 | 30.568641 | 29.705000 | 20.182586 | 27.862398 | 22.502247 | 38.688048 | 36.223369 | 31.632996 | 33.918049 | 29.346913 | 34.12240 | 27.085113 | 37.75540 | 31.933555 | 15.741191 | 33.683324 | 39.349201 | 32.478896 | 32.688733 | 34.4131066 | 27.142164 | 38.823048 | 51.043517 | 22.426621 | 40.467705 | 36.5180339 | 28.867737 | 29.987657 | 30.996329 | 39.6995953 | 19.661078 | 36.266481 | 37.313517 | 28.534489 | 21.104932 | 18.000815 | 42.405981 | 16.662719 | 29.159774 | 26.986626 | 26.088789 | 26.512913 | 18.528100 | 33.381617 | 27.352434 | 28.101075 | 30.8680469 | 24.2088247 | 21.019640 | 17.433383 | 26.808400 | 38.409607 | 39.426196 | 32.062908 | 33.196526 | 21.417347 | 32.0387101 | 30.146507 | 33.150965 | 36.566144 | 35.855018 |
| 71431 | 23.867046 | 28.058032 | 39.080124 | 26.232013 | 22.866853 | 32.038371 | 36.453762 | 32.189078 | 39.152478 | 25.825457 | 20.736167 | 27.291394 | 19.812593 | 40.368492 | 24.92104 | 28.678275 | 15.89268 | 22.219929 | 33.539672 | 32.451994 | 21.740735 | 30.350274 | 33.825055 | 37.2740013 | 30.508007 | 44.801455 | 31.978602 | 33.317951 | 38.378705 | 29.0958321 | 35.674147 | 30.246600 | 17.990102 | 33.6333218 | 20.520340 | 29.685261 | 35.643140 | 26.984263 | 26.846533 | 36.817509 | 27.596054 | 26.997786 | 36.150912 | 26.187450 | 30.788258 | 41.232812 | 40.395380 | 31.791698 | 19.124769 | 16.810242 | 29.4893879 | 38.9359806 | 25.342841 | 12.247021 | 36.959343 | 28.791672 | 44.679099 | 33.260662 | 14.589443 | 38.686279 | 29.2207784 | 25.474957 | 14.111175 | 13.452004 | 37.163302 |
| 77424 | 38.098812 | 38.636096 | 26.130917 | 30.234064 | 29.006009 | 41.171328 | 35.891785 | 24.998867 | 24.368242 | 23.417441 | 37.164953 | 24.230981 | 20.315540 | 33.814059 | 36.38090 | 37.548816 | 34.89308 | 19.152046 | 38.966495 | 27.863466 | 20.631106 | 25.561696 | 6.890810 | 34.0580057 | 41.295506 | 35.349129 | 20.047768 | 20.363611 | 35.028800 | 15.9098490 | 21.951940 | 40.067388 | 25.267210 | 30.2849173 | 30.048873 | 48.116962 | 30.351678 | 36.944138 | 46.254834 | 25.893329 | 32.069017 | 43.824509 | 21.240105 | 19.935105 | 33.423325 | 26.150217 | 25.783034 | 29.656515 | 21.806357 | 23.123114 | 29.9028273 | 33.1302485 | 22.240578 | 23.938724 | 28.561920 | 45.021241 | 30.801606 | 36.253036 | 50.077437 | 31.527659 | 28.2027771 | 25.771948 | 32.853483 | 31.469085 | 35.654070 |
| 72626 | 29.609577 | 38.453056 | 28.106899 | 42.055005 | 32.248632 | 25.520489 | 25.798508 | 36.706078 | 34.006377 | 42.031232 | 36.007582 | 20.966098 | 36.102401 | 22.476004 | 39.50649 | 34.199678 | 38.27270 | 33.913649 | 34.267045 | 35.817188 | 23.610637 | 22.969966 | 25.986653 | 48.5563635 | 23.195177 | 22.215933 | 33.278805 | 18.002051 | 14.353948 | 31.3256657 | 24.111832 | 28.666011 | 29.710263 | 18.6135702 | 23.132610 | 26.521079 | 45.363588 | 26.955717 | 43.354512 | 20.161401 | 22.476658 | 31.193250 | 23.027400 | 38.037741 | 27.815644 | 45.592436 | 22.073426 | 37.898006 | 32.700857 | 39.832292 | 26.8060561 | 28.9167737 | 39.915443 | 23.428559 | 36.353780 | 15.461055 | 38.435935 | 48.855685 | 46.057228 | 17.800291 | 20.8505327 | 15.159255 | 28.958966 | 25.203108 | 40.557086 |
| 54101 | 33.770814 | 34.090333 | 33.540644 | 44.025405 | 40.854099 | 24.568614 | 31.779504 | 29.514531 | 36.402720 | 37.899293 | 26.375835 | 33.209850 | 40.237997 | 38.099255 | 32.76911 | 22.131815 | 51.05887 | 25.476388 | 45.393802 | 39.539911 | 33.081543 | 16.829506 | 41.027462 | 19.8379100 | 33.577746 | 17.685161 | 21.396948 | 25.772744 | 29.627978 | 31.5191401 | 30.580104 | 17.655170 | 46.999877 | 26.5758965 | 31.875630 | 49.038368 | 42.769402 | 41.181874 | 34.585360 | 33.941490 | 30.172258 | 19.690183 | 28.139803 | 37.055030 | 31.810591 | 28.415432 | 41.505807 | 27.371593 | 26.922429 | 35.823254 | 36.0881356 | 35.0047762 | 35.887610 | 45.488419 | 29.676923 | 37.875406 | 31.581952 | 52.687512 | 21.701629 | 36.528032 | 19.8403568 | 48.260370 | 25.372707 | 47.443340 | 44.002631 |
| 85618 | 36.061727 | 27.676237 | 31.195657 | 24.332605 | 28.352364 | 38.503873 | 19.872311 | 21.343509 | 31.559982 | 40.027884 | 25.807477 | 22.746400 | 14.698586 | 24.854947 | 14.98460 | 35.006934 | 24.70967 | 23.884146 | 31.684729 | 24.926380 | 11.973430 | 2.068401 | 11.812103 | 30.7935929 | 35.825243 | 22.775371 | 23.454836 | 21.615716 | 14.811780 | 22.2673939 | 31.641542 | 15.864095 | 37.592050 | 29.0015616 | 16.365250 | 42.038001 | 25.525986 | 24.741956 | 26.670705 | 21.537049 | 21.397254 | 32.963593 | 33.702665 | 16.213324 | 16.195878 | 27.087312 | 34.651573 | 26.126539 | 45.563171 | 14.126478 | 22.2366028 | 14.4624443 | 19.514891 | 17.623257 | 26.516492 | 41.137280 | 34.786498 | 33.930359 | 25.687837 | 29.870669 | 27.2258515 | 31.628722 | 42.506715 | 15.472844 | 35.545782 |
| 33173 | 31.126622 | 19.616204 | 34.688170 | 26.527190 | 27.891422 | 41.473161 | 27.722095 | 25.943846 | 34.547618 | 28.307348 | 35.392046 | 39.498920 | 29.692981 | 26.459443 | 36.92779 | 46.626104 | 23.07250 | 27.537701 | 30.283957 | 34.816559 | 32.006688 | 52.001921 | 33.223782 | 1.9846044 | 29.535444 | 25.899946 | 35.886439 | 41.926717 | 37.905568 | 24.1065724 | 34.446405 | 27.229739 | 36.703014 | 39.5359317 | 21.753091 | 27.852553 | 38.379684 | 35.207833 | 42.767741 | 41.686778 | 23.044410 | 30.183460 | 42.618087 | 41.913054 | 27.888046 | 52.290459 | 34.034189 | 28.881319 | 16.208786 | 23.378649 | 27.0537412 | 23.0082748 | 29.606907 | 34.043258 | 29.348968 | 20.614866 | 25.925474 | 26.620456 | 22.451732 | 15.335640 | 27.2145505 | 48.160789 | 30.781650 | 50.628285 | 45.787392 |
| 59215 | 22.824996 | 42.543223 | 27.545631 | 26.281044 | 20.846050 | 35.132785 | 53.297877 | 43.762080 | 34.609926 | 29.956836 | 34.929661 | 36.677238 | 40.089116 | 28.831391 | 15.14678 | 39.189505 | 40.44505 | 29.856172 | 35.271484 | 40.182896 | 33.040056 | 39.192817 | 30.062662 | 46.2635819 | 29.088658 | 29.710335 | 29.272315 | 34.846506 | 28.009120 | 34.8549760 | 44.335384 | 33.601842 | 32.733984 | 24.0604388 | 36.445898 | 32.595209 | 31.511402 | 46.165797 | 39.368053 | 24.381505 | 25.049221 | 32.669432 | 43.678829 | 33.558392 | 35.804398 | 30.492338 | 42.177343 | 26.489787 | 24.725654 | 31.687821 | 26.3790472 | 30.5471991 | 42.131012 | 33.492754 | 49.741680 | 28.478769 | 35.700800 | 33.530302 | 37.052151 | 29.611346 | 31.5339434 | 30.994626 | 38.576793 | 39.053018 | 41.452612 |
| 28496 | 30.204258 | 56.605468 | 25.599988 | 19.691754 | 42.932526 | 37.691922 | 33.044094 | 25.198165 | 18.035495 | 14.878815 | 8.703976 | 33.269270 | 23.672683 | 27.762634 | 18.47379 | 23.438365 | 29.91788 | 34.398695 | 15.041743 | 20.830047 | 24.171291 | 23.621602 | 13.870413 | 26.1818055 | 33.016699 | 42.820883 | 35.403615 | 25.718632 | 53.681841 | 19.4687755 | 55.890548 | 45.942877 | 38.025393 | 19.8901865 | 33.670527 | 25.180697 | 12.744841 | 43.598684 | 19.379842 | 23.483419 | 35.674613 | 3.316395 | 37.842391 | 2.457180 | 34.854339 | 30.773971 | 30.339393 | 46.169259 | 31.603363 | 22.789604 | 35.8152828 | 26.6693285 | 43.212342 | 35.074060 | 50.266637 | 39.728170 | 31.749413 | 27.083363 | 16.314930 | 41.440837 | 26.8190204 | 44.998244 | 33.297604 | 27.688404 | 20.160990 |
| 33288 | 20.223098 | 22.716221 | 24.956871 | 31.322855 | 34.500356 | 13.725039 | 39.150728 | 31.745986 | 37.235712 | 35.028595 | 27.809468 | 23.745179 | 34.109043 | 28.112123 | 27.29142 | 17.573043 | 34.31145 | 43.970620 | 45.657427 | 28.069675 | 22.310916 | 31.757648 | 23.773412 | 16.5363599 | 15.985654 | 6.010470 | 29.958666 | 32.297270 | 17.221228 | 33.3440533 | 41.259143 | 29.306548 | 19.501314 | 16.4486864 | 27.190492 | 39.480288 | 33.885248 | 29.995012 | 35.793030 | 30.743426 | 11.417464 | 38.600466 | 17.543416 | 17.653700 | 18.387486 | 27.794496 | 8.925558 | 17.026376 | 47.812152 | 33.777227 | 40.1253790 | 26.2341452 | 36.153925 | 27.884939 | 28.868785 | 37.943193 | 21.082428 | 22.211636 | 31.540125 | 36.666186 | 11.5580355 | 27.937558 | 16.257177 | 20.646005 | 24.886637 |
| 49623 | 26.589572 | 22.542071 | 10.319292 | 35.504159 | 27.921481 | 37.768423 | 30.501854 | 24.394517 | 31.527839 | 28.387110 | 47.974765 | 19.539337 | 29.542088 | 27.234473 | 22.64745 | 31.095497 | 35.91305 | 25.910894 | 30.341043 | 29.557403 | 19.698291 | 36.695469 | 34.887704 | 38.7142556 | 15.734355 | 26.390224 | 44.422571 | 23.253367 | 37.680391 | 27.1584060 | 34.906272 | 43.111391 | 20.845354 | 26.0202226 | 29.854361 | 27.295215 | 24.161478 | 17.347550 | 46.297813 | 33.615577 | 30.434303 | 19.418398 | 31.470915 | 13.478888 | 35.124627 | 37.075747 | 37.269330 | 27.738088 | 28.308050 | 29.512448 | 27.5472116 | 32.4667013 | 22.501432 | 8.060217 | 4.232259 | 23.539094 | 44.214018 | 38.155370 | 28.674381 | 21.491243 | 27.7094672 | 19.795237 | 46.776081 | 26.115167 | 39.616211 |
| 67597 | 28.141824 | 36.893361 | 29.940224 | 35.290158 | 17.414178 | 28.127695 | 21.652325 | 38.235188 | 28.364653 | 37.939408 | 40.802686 | 21.703534 | 52.208259 | 42.257311 | 42.18286 | 43.759887 | 18.64511 | 31.324278 | 28.682853 | 31.218197 | 31.742092 | 43.419443 | 12.502492 | 30.6457184 | 21.718758 | 41.245075 | 25.864152 | 35.164629 | 39.945099 | 36.6431182 | 22.826348 | 26.663429 | 45.555353 | 35.8279808 | 26.095919 | 41.429283 | 25.588757 | 25.072049 | 55.364097 | 28.893083 | 28.578334 | 32.624978 | 36.600955 | 22.325685 | 22.224317 | 24.433561 | 37.744271 | 21.754368 | 25.492985 | 30.704047 | 40.5110570 | 28.1251045 | 34.550641 | 22.486447 | 35.028323 | 30.567743 | 46.006143 | 40.954746 | 30.273342 | 23.373250 | 21.0963554 | 30.004739 | 43.294176 | 40.814228 | 26.177319 |
| 65991 | 28.476339 | 45.956845 | 32.526772 | 28.308021 | 32.076229 | 37.899217 | 30.474094 | 26.019833 | 28.978097 | 23.884000 | 32.203653 | 19.177422 | 12.835539 | 18.453469 | 17.41423 | 33.021718 | 25.22421 | 16.239207 | 14.595220 | 31.361676 | 39.066624 | 23.288495 | 28.135406 | 27.5679591 | 24.520542 | 36.845444 | 27.707368 | 25.544880 | 34.543350 | 39.7478800 | 30.106336 | 36.946378 | 33.117658 | 46.7382370 | 36.708135 | 35.765194 | 21.992037 | 22.276251 | 27.994989 | 33.868809 | 13.055217 | 19.473042 | 15.188610 | 30.805045 | 38.190332 | 31.362238 | 29.261549 | 23.094172 | 37.895446 | 37.346427 | 44.9280012 | 24.5416790 | 26.507427 | 31.494115 | 26.552305 | 26.164604 | 45.383990 | 28.096525 | 31.566041 | 29.606225 | 14.2270083 | 34.075770 | 37.873919 | 33.061849 | 15.637106 |
| 61280 | 37.783611 | 26.356707 | 4.248645 | 53.322087 | 17.871460 | 45.919527 | 25.827623 | 31.044253 | 18.430684 | 34.241516 | 42.315932 | 29.104951 | 41.510773 | 18.725002 | 31.91541 | 36.562535 | 23.21922 | 31.741670 | 43.615573 | 44.250017 | 18.330720 | 17.759399 | 15.381482 | 29.6840869 | 29.705941 | 21.013172 | 27.466286 | 31.775451 | 26.606908 | 46.7860607 | 29.298456 | 41.039208 | 31.837409 | 33.3833774 | 34.575254 | 47.431128 | 38.069297 | 18.537739 | 35.644594 | 31.921630 | 34.844262 | 16.927513 | 38.715845 | 5.789916 | 32.458750 | 52.499861 | 37.698196 | 29.500268 | 9.955727 | 37.140237 | 33.1742798 | 37.5962107 | 16.964311 | 22.176183 | 15.366436 | 29.938869 | 24.700028 | 36.534119 | 33.030388 | 40.229978 | 36.8165762 | 32.708120 | 39.882153 | 51.672799 | 32.634025 |
| 89232 | 20.515673 | 24.724753 | 43.899193 | 6.511169 | 38.260631 | 35.488364 | 57.851611 | 29.299408 | 35.164579 | 26.820930 | 16.034935 | 21.887387 | 24.789715 | 27.545610 | 29.43119 | 19.953064 | 33.02645 | 17.941543 | 27.827171 | 29.600433 | 34.266245 | 31.406508 | 37.271937 | 47.7592028 | 30.915871 | 22.081367 | 48.879343 | 47.517824 | 28.142050 | 27.3185178 | 44.065444 | 40.621833 | 23.727733 | 24.9648628 | 29.750059 | 20.296444 | 17.499555 | 33.755486 | 26.250554 | 41.116068 | 27.684064 | 51.978764 | 9.322969 | 33.763154 | 26.648165 | 27.323656 | 22.097819 | 30.889448 | 31.291928 | 39.953648 | 14.3441012 | 15.7494452 | 40.991286 | 22.924754 | 30.332418 | 36.507279 | 20.716866 | 17.257967 | 28.363551 | 25.470134 | 13.6312066 | 29.559193 | 35.413618 | 28.959026 | 19.084877 |
| 32087 | 32.456344 | 17.235022 | 32.378148 | 23.910842 | 28.667906 | 31.806513 | 27.973239 | 28.216726 | 37.464868 | 24.392164 | 34.943940 | 41.057417 | 26.376435 | 11.473437 | 18.32747 | 30.418954 | 24.61578 | 16.986324 | 27.797562 | 42.070131 | 20.182085 | 28.265269 | 14.981365 | 36.6834118 | 21.560567 | 26.433053 | 34.672909 | 14.834894 | 37.659953 | 19.7990985 | 27.401943 | 31.155452 | 24.699444 | 23.6628527 | 23.491622 | 22.391737 | 18.410441 | 19.992020 | 43.186764 | 34.451973 | 31.572985 | 19.333232 | 36.437967 | 29.529954 | 25.781334 | 25.166477 | 38.722629 | 44.744030 | 19.161287 | 16.453331 | 28.9780072 | 5.8388031 | 28.128764 | 33.330552 | 18.333810 | 33.626657 | 48.313479 | 54.949681 | 13.373179 | 20.353026 | 28.4753748 | 13.439421 | 39.513064 | 33.904663 | 29.763522 |
| 66156 | 46.452758 | 32.732033 | 37.925436 | 13.601971 | 30.669593 | 36.144306 | 29.832966 | 17.403991 | 33.204015 | 29.311993 | 54.479614 | 29.646112 | 18.826810 | 35.763907 | 28.14200 | 51.536309 | 30.63634 | 38.329879 | 4.438589 | 38.721230 | 23.034722 | 35.355829 | 42.579737 | 25.6801172 | 31.877187 | 28.836394 | 20.887432 | 34.952113 | 33.491214 | 17.0593346 | 26.882725 | 36.361876 | 42.947877 | 40.3401030 | 26.991166 | 41.026010 | 31.610395 | 32.701393 | 25.690686 | 34.944935 | 33.746329 | 38.736203 | 38.963646 | 19.851857 | 43.123389 | 36.566867 | 27.641107 | 44.085455 | 42.690100 | 28.275603 | 39.6544794 | 31.6381631 | 31.292070 | 43.086568 | 54.500920 | 35.996304 | 32.860734 | 44.714904 | 21.164387 | 39.329282 | 30.4495948 | 44.259903 | 43.363394 | 47.442793 | 25.834616 |
| 67423 | 22.230704 | 40.137383 | 33.160265 | 44.192327 | 33.764879 | 28.845029 | 50.710162 | 25.084046 | 37.620830 | 29.936171 | 22.073453 | 22.882102 | 21.911298 | 40.609281 | 37.98951 | 24.138436 | 34.55584 | 38.308486 | 31.196941 | 24.135913 | 40.771231 | 24.355214 | 36.391852 | 34.5326203 | 25.948848 | 13.101655 | 23.252786 | 23.181624 | 27.457970 | 23.1556044 | 43.518249 | 19.803638 | 39.146426 | 39.4955058 | 36.276902 | 36.083799 | 33.025334 | 44.304544 | 28.953138 | 42.213683 | 34.322594 | 23.006886 | 24.253168 | 40.004510 | 5.924159 | 47.953182 | 28.482026 | 14.454646 | 37.678134 | 33.716990 | 22.8851248 | 29.5115802 | 39.929882 | 31.356152 | 43.148333 | 47.531794 | 33.226310 | 17.890683 | 34.812549 | 35.831989 | 23.5032588 | 42.586323 | 27.268183 | 19.448485 | 21.969114 |
| 67610 | 30.579837 | 29.860040 | 21.236133 | 23.484950 | 17.266934 | 27.035934 | 48.955481 | 18.601422 | 35.067172 | 22.126918 | 26.177435 | 30.093311 | 20.714002 | 31.472078 | 38.03501 | 23.096523 | 39.39205 | 30.413716 | 33.361321 | 23.262376 | 32.273161 | 24.966293 | 24.031111 | 31.7674259 | 33.263169 | 23.417594 | 22.857799 | 24.334422 | 28.406246 | 22.1819255 | 33.261305 | 26.871724 | 24.397276 | 30.9652563 | 46.145479 | 26.836817 | 28.088190 | 44.154338 | 16.013957 | 31.297074 | 30.312319 | 36.240713 | 28.997658 | 23.352141 | 27.197676 | 19.622507 | 37.799785 | 18.740506 | 37.269979 | 27.568416 | 39.8108830 | 25.1768532 | 19.426533 | 38.527377 | 41.067047 | 26.212967 | 39.502911 | 25.694206 | 25.792532 | 52.081551 | 24.9588279 | 29.183347 | 26.231233 | 29.415228 | 28.064955 |
| 80088 | 27.455591 | 21.870991 | 34.484222 | 31.738140 | 36.755410 | 24.439496 | 38.387638 | 36.834548 | 40.899861 | 28.674549 | 36.193696 | 20.964361 | 42.957183 | 38.377732 | 27.77160 | 35.125497 | 36.52388 | 37.110137 | 26.986318 | 34.245651 | 31.759065 | 35.096164 | 46.735741 | 33.9361013 | 30.478428 | 19.970458 | 26.479522 | 49.472397 | 32.943977 | 28.2263067 | 33.589909 | 27.679812 | 25.614431 | 23.8807650 | 57.955307 | 11.015253 | 30.586508 | 23.134242 | 17.959247 | 33.999088 | 29.748187 | 39.457409 | 25.998137 | 31.063017 | 33.727731 | 24.301186 | 26.167019 | 26.053687 | 31.988601 | 34.493982 | 35.2985056 | 21.5988077 | 44.644942 | 27.757730 | 33.520419 | 32.234486 | 41.516421 | 29.627024 | 41.063062 | 26.213858 | 28.5338950 | 30.784688 | 11.470607 | 30.158626 | 42.619166 |
| 82376 | 24.051793 | 37.559489 | 32.100879 | 28.764282 | 43.553879 | 29.475306 | 19.556565 | 22.010733 | 19.771232 | 24.276725 | 21.015979 | 31.774064 | 37.985719 | 26.278946 | 24.78890 | 24.821569 | 35.90297 | 19.552366 | 16.532769 | 12.694366 | 25.269653 | 33.263221 | 17.234199 | 36.3806328 | 46.051057 | 37.023288 | 24.404649 | 17.231203 | 14.470106 | 23.8809914 | 40.959350 | 30.237824 | 31.138002 | 28.1952717 | 35.520880 | 31.901746 | 27.445755 | 42.253944 | 40.491378 | 25.781060 | 34.050312 | 11.740331 | 33.788916 | 27.938149 | 24.735071 | 20.057650 | 20.825599 | 33.661554 | 34.904717 | 28.266429 | 41.5504890 | 25.5054038 | 27.620294 | 36.779492 | 47.690796 | 30.732048 | 23.350686 | 24.185502 | 31.930695 | 34.981545 | 44.3506403 | 26.527536 | 27.988446 | 22.261560 | 26.830396 |
| 40366 | 31.773141 | 23.358843 | 38.815424 | 29.206966 | 34.592395 | 40.476184 | 19.576024 | 21.201220 | 29.261463 | 24.023733 | 32.727668 | 32.668389 | 31.747131 | 29.809888 | 29.25515 | 30.904348 | 44.98721 | 29.372689 | 37.420289 | 42.415571 | 35.574688 | 35.105781 | 35.527177 | 43.9809864 | 32.311779 | 32.391452 | 34.312018 | 36.231027 | 18.701952 | 25.2326866 | 37.479797 | 33.723096 | 48.902102 | 38.7696884 | 25.044944 | 30.241537 | 31.800433 | 29.839417 | 39.364939 | 38.204081 | 24.943120 | 33.440495 | 38.687497 | 25.105241 | 22.293181 | 27.087098 | 32.033612 | 27.659464 | 37.245563 | 17.666017 | 46.1753650 | 39.8454788 | 16.214807 | 36.549515 | 42.506030 | 42.682518 | 44.582252 | 56.843418 | 22.274762 | 39.923173 | 18.9635781 | 34.924761 | 45.648814 | 44.500272 | 19.841853 |
| 82543 | 34.863468 | 39.333072 | 23.954338 | 14.913661 | 39.655485 | 42.028655 | 41.472391 | 28.125813 | 47.070399 | 27.639170 | 30.529610 | 24.158275 | 36.370337 | 33.395566 | 31.10484 | 45.325818 | 25.18105 | 39.865647 | 31.345924 | 31.970418 | 17.109686 | 44.466049 | 39.847562 | 37.7067464 | 37.777456 | 16.577108 | 24.881084 | 28.114810 | 29.233011 | 17.9982418 | 31.695636 | 32.476641 | 28.345753 | 23.8450575 | 31.742233 | 34.032322 | 24.091110 | 50.320906 | 33.487590 | 27.998720 | 15.879847 | 43.238243 | 56.607195 | 35.121739 | 23.809353 | 30.320636 | 29.788954 | 30.583475 | 38.204942 | 17.428600 | 38.6973417 | 16.8564999 | 24.211737 | 29.842722 | 34.956532 | 31.266987 | 40.991929 | 38.689421 | 5.681889 | 49.170992 | 25.0553847 | 27.725962 | 37.406632 | 30.440544 | 21.221921 |
| 65621 | 37.729258 | 23.389000 | 28.936317 | 34.810448 | 44.397354 | 23.288170 | 24.160156 | 37.136754 | 29.200080 | 26.205886 | 48.654241 | 30.075809 | 40.876135 | 39.004953 | 31.61883 | 24.327012 | 34.65109 | 38.704966 | 26.882465 | 25.846242 | 30.137877 | 9.847791 | 32.641224 | 24.1499328 | 31.614647 | 22.187493 | 36.882744 | 39.352231 | 16.852047 | 29.3700224 | 32.578229 | 11.344965 | 32.453704 | 28.6437666 | 32.061526 | 44.931488 | 31.146443 | 39.049583 | 17.791090 | 20.731528 | 35.082420 | 24.647996 | 31.473775 | 30.588305 | 21.654456 | 31.377094 | 37.570701 | 22.174369 | 49.298583 | 41.802158 | 38.0431412 | 44.0712025 | 27.679911 | 52.035282 | 29.064620 | 48.153288 | 30.238922 | 33.472780 | 22.848701 | 43.601485 | 39.5641094 | 33.920210 | 12.497092 | 16.484262 | 36.818317 |
| 74273 | 28.289810 | 33.797460 | 26.940969 | 36.949404 | 25.678321 | 28.875113 | 14.951376 | 30.020416 | 25.362534 | 30.492674 | 22.834713 | 12.711211 | 28.218745 | 29.370046 | 30.47144 | 26.843410 | 21.95688 | 31.251403 | 32.959521 | 19.951130 | 17.870348 | 37.545932 | 43.076429 | 34.2343541 | 30.265304 | 26.376506 | 39.267700 | 30.697458 | 19.647339 | 22.3561633 | 24.022230 | 26.568069 | 27.934401 | 14.4051043 | 29.636509 | 27.865697 | 28.863034 | 30.830228 | 30.617296 | 21.282106 | 23.974280 | 32.640838 | 31.106086 | 41.364706 | 25.357953 | 21.955728 | 30.813589 | 27.478661 | 31.337203 | 32.414419 | 21.3800008 | 25.7773464 | 25.446181 | 36.622767 | 21.077852 | 32.739194 | 39.329647 | 15.987173 | 26.286769 | 29.879658 | 29.2711115 | 28.761054 | 30.129570 | 22.654712 | 23.830844 |
| 74964 | 31.426953 | 21.121839 | 22.788261 | 43.616202 | 34.410021 | 33.043397 | 16.091602 | 46.478282 | 22.703531 | 64.211894 | 38.752277 | 25.478150 | 37.728504 | 18.514646 | 26.02207 | 39.746133 | 21.38252 | 52.194283 | 54.414264 | 28.130006 | 33.340042 | 29.098624 | 23.670634 | 18.4056440 | 14.534439 | 14.816415 | 24.020566 | 34.946548 | 45.978237 | 52.9645210 | 7.498271 | 28.752010 | 28.421111 | 29.2214282 | 34.553647 | 35.098711 | 43.995032 | 28.070393 | 31.623873 | 18.679434 | 48.079830 | 33.271519 | 30.565277 | 32.306379 | 14.412573 | 33.175714 | 27.967459 | 35.764320 | 21.011698 | 49.353693 | 25.0162159 | 32.9703660 | 15.062334 | 29.097836 | 45.018400 | 45.798867 | 26.878044 | 24.383638 | 53.857579 | 26.416880 | 38.2671974 | 44.061646 | 36.965552 | 40.473530 | 36.741940 |
| 78117 | 37.059206 | 16.938009 | 29.067661 | 39.484764 | 20.047391 | 32.227505 | 40.783448 | 34.392869 | 36.367919 | 30.085753 | 34.684814 | 26.405813 | 32.013253 | 27.302223 | 33.97277 | 38.343902 | 30.85742 | 44.406147 | 23.140190 | 23.116048 | 34.847397 | 30.801247 | 39.048778 | 27.2234931 | 34.928416 | 29.947328 | 26.716688 | 22.446109 | 22.511472 | 27.5377405 | 40.527762 | 38.076820 | 41.773025 | 39.0697252 | 40.979666 | 34.781350 | 33.913987 | 23.907904 | 44.666833 | 29.928083 | 22.137037 | 28.076220 | 46.037212 | 23.611098 | 18.446463 | 40.281056 | 28.357520 | 22.069837 | 32.439730 | 40.865600 | 20.1878897 | 29.5611716 | 19.382578 | 28.498412 | 17.585141 | 36.407753 | 38.617597 | 26.584335 | 47.281272 | 9.822214 | 18.8588856 | 33.773597 | 38.222133 | 39.593010 | 31.663146 |
| 55187 | 26.976510 | 15.313752 | 10.229018 | 39.274322 | 30.438895 | 44.865144 | 31.212583 | 40.253072 | 24.028005 | 43.808502 | 47.706980 | 19.107535 | 42.240739 | -2.022534 | 46.39542 | 35.444974 | 19.85022 | 37.288160 | 39.833310 | 36.049478 | 30.529963 | 37.099289 | 35.335234 | 15.2133774 | 25.719795 | 40.899197 | 24.189297 | 44.409443 | 43.016480 | 15.2530517 | 30.864204 | 34.622451 | 30.119600 | 37.6275214 | 12.579097 | 32.019924 | 39.981802 | 26.586554 | 40.626780 | 19.640159 | 12.836968 | 22.280318 | 40.337359 | 15.791771 | 43.105703 | 33.467789 | 18.507882 | 40.827355 | 30.951772 | 32.233685 | 22.2824568 | 43.4786574 | 34.113542 | 28.550853 | 23.111092 | 26.080747 | 38.833533 | 26.414053 | 30.663243 | 18.788384 | 10.8657566 | 40.171025 | 41.106431 | 35.111715 | 50.817886 |
| 53463 | 40.157826 | 40.597000 | 25.482967 | 36.726319 | 42.497485 | 22.433555 | 31.360664 | 27.345088 | 28.456448 | 16.553506 | 27.542258 | 33.301311 | 18.234562 | 23.365629 | 26.69755 | 22.907874 | 35.62081 | 17.627568 | 23.557458 | 21.691340 | 36.451806 | 42.976627 | 34.351411 | 36.4220520 | 37.325492 | 42.512392 | 43.772195 | 34.687603 | 44.594904 | 25.5104720 | 41.431226 | 39.125282 | 26.493149 | 37.5106371 | 42.628840 | 38.246091 | 27.731242 | 44.244793 | 29.601617 | 44.216405 | 26.709192 | 38.126581 | 29.375288 | 25.261909 | 31.552609 | 45.796025 | 41.370352 | 31.615271 | 34.488885 | 31.524862 | 45.1022280 | 12.5429937 | 33.156820 | 51.430551 | 26.671086 | 26.108048 | 33.852486 | 38.451940 | 20.416589 | 36.718216 | 26.6383669 | 28.476352 | 31.184716 | 35.419578 | 5.346876 |
| 38409 | 44.382295 | 30.775569 | 34.885273 | 29.300884 | 30.007666 | 33.250024 | 31.370286 | 32.430734 | 38.802300 | 21.220211 | 31.596908 | 30.179286 | 30.764025 | 49.809604 | 18.49711 | 42.831231 | 35.62164 | 28.862823 | 29.674184 | 31.679057 | 49.280881 | 34.657057 | 24.287172 | 36.7330465 | 33.097529 | 32.942602 | 36.405683 | 28.223764 | 34.694463 | 41.9151216 | 41.883707 | 52.319555 | 24.583550 | 37.3968382 | 38.072617 | 31.030010 | 27.999621 | 37.985038 | 37.238210 | 27.441556 | 26.501710 | 36.196931 | 30.217365 | 34.493447 | 31.387171 | 37.197101 | 22.137343 | 32.634628 | 26.529946 | 29.080983 | 45.1696905 | 30.2463251 | 32.096728 | 45.821272 | 43.810464 | 36.345250 | 25.475695 | 21.503229 | 34.604571 | 27.910554 | 30.9585496 | 32.161714 | 37.660161 | 29.851742 | 24.726349 |
| 37040 | 16.897983 | 32.797046 | 19.311377 | 20.447021 | 41.783192 | 25.933896 | 34.343294 | 41.703542 | 23.884913 | 20.856252 | 25.766433 | 17.372917 | 15.615150 | 26.935013 | 25.81640 | 25.331216 | 45.04846 | 40.296379 | 23.009826 | 26.728696 | 38.508044 | 29.314090 | 36.644314 | 47.7918869 | 37.925568 | 26.334001 | 37.799670 | 11.964815 | 42.666109 | 25.2184344 | 52.598937 | 33.859616 | 27.041044 | 29.8346469 | 42.346615 | 41.938724 | 20.131763 | 22.918550 | 25.445327 | 30.001986 | 24.512197 | 33.423884 | 23.256390 | 25.807480 | 33.212837 | 21.719591 | 7.362949 | 38.317133 | 37.403305 | 42.419762 | 26.8867093 | 21.7080391 | 22.470592 | 39.101399 | 33.333421 | 39.792067 | 28.081647 | 15.895234 | 28.566038 | 36.176368 | 21.1423712 | 21.540080 | 26.839014 | 30.491408 | 12.065682 |
If you’ve had a little poke around, you’ve probably noticed that this dataset is not an example of meticulous organisation. The names are all over the place and there doesn’t seem to be any system. The dataset actually contains (1) the ID variable and (2) various subscales of 5 major psychology scales:
Cognitive Assessment Scale (CAS)
Kindness Evaluation and Empathetic Performance (KEEP)
State-Trait Anxiety Inventory (STAI)
Statistics Anxiety Rating Scale (STARS)
Yale Open Upregulation Encoding (YOURE)
Luckily, whoever organised this dataset had a shred of decency left and named each subscale so it begins with the abbreviation of its main scale. So the subscales related to the Cognitive Assessment Scale will begin with “cas”, Statistics Anxiety Rating Scale will being with “stars”, and so on.
Task 8
Run correlation tests between the subscales of the Kindness Evaluation and Empathetic Performance and the Yale Open Upregulation Encoding.
- Select the correct columns from
scales_tibthat contain information about the relevant subscales. Save the new version of the dataset into an object calledscales_yk_tib. - Run correlation tests between all the subscales in the object
scales_yk_tib. You can use any method here, butcorrelation::correlationwill probably be easier to read. - Save the correlation table in to an object called
scales_cor - Find out a pair of variables that have the highest correlation.
Your first step in completing this task should be to select the relevant columns. This can be done manually, just like we did in Task 2:
gensex_test <- readr::read_csv("data/gensex_messy.csv")The code above just re-reads the data and changes the name because we have previously over-written it. This way we can make changes again and test out some new code:
gensex_1 <- gensex_test |>
dplyr::select(gender_comfortable, gender_masc,
gender_fem, gender_stability)This way only 4 variables remain in the dataset. This is all nice and well if we only have 4 variables. But the more variables we need to select, the more tedious the task becomes. If the variables in the dataset are not organised nicely, we can easily miss variables if we do things manually. 1
Lucky for us, we have these three champion functions to help us:
dplyr::contains()dplyr::starts_with()dplyr::ends_with()
When we use dplyr::filter(), we can specify conditions based on which we keep or remove rows. Similarly, we can use the functions above to specify conditions based on which we keep or remove columns with dplyr::select(). We could, for example, only keep columns that contain a certain phrase in the column name, or whose name starts or ends with a specific word/string of letters.
Let’s say that we only want to keep columns relevant to gender variables as before. We could run:
gensex_test |>
dplyr::select(starts_with("gender_"))The dataset also has different measures of gender, which tend to end with the string “_gender”. If we wanted to pick these variables, we could run:
gensex_test |>
dplyr::select(ends_with("_gender"))Finally, if we want any variable that has “gender” in the name we can run:
gensex_test |>
dplyr::select(contains("gender"))contains is the least selective of these variables. Try running the examples above in your notebook to see the difference.
We can also combine conditions. Say that we want to keep variables that start with the word “gender” or “romantic.” We would run:
gensex_test |>
dplyr::select(starts_with("gender_"), starts_with("romantic"))You now possess the knowledge necessary for completing the ChallengR task without losing your mind.
If you’re finding the output difficult to navigate, you can run the following code in your notebook. It will sort the output by size of the correlation coefficient. If you completed the task correctly, the highest correlation will be the very last row and will spell out an important message for you.
scales_cor |>
dplyr::arrange(r)The passcode is the name of the two variables as you see them written out in the output, separated by this symbol: |
Remove any spaces. Once you have the passcode, you can submit it in the Week 6 ChallengR quiz on Canvas. Good luck, and well done again!
Footnotes
Never do by hand what can be done by code! It’s much more fun to spend hours trying to figure out how to write the code, inevitably taking longer that you would have had you completed the task manually.↩︎
